
| Pesquisa Básica | https://doi.org/10.21041/ra.v13i2.671 |
Um novo modelo para o dimensionamento completo de fundações isoladas retangulares levando em consideração que a superfície de contato funciona parcialmente em compressão
New model for complete design of rectangular isolated footings taking into account that the contact surface works partially in compression Nuevo modelo para el diseño completo de zapatas aisladas rectangulares tomando en cuenta que la superficie de contacto funciona parcialmente en compresión
A. Luévanos
Rojas1
1 Instituto de Investigaciones Multidisciplinarias, Universidad Autónoma de Coahuila, Torreón, Coahuila, México.
*Contact Author: arnulfol_2007@hotmail.com
Recepção:
21
de
fevereiro
de
2023.
Aceitação:
20
de
abril
de
2023.
Publicação: 01 de maio de 2023.
| Citar como:LuévanosRojas, A. (2023),“Um novo modelo para o dimensionamento completo de fundações isoladas retangulares levando em consideração que a superfície de contato funciona parcialmente em compressão”, Revista ALCONPAT, 13 (2), pp. 192 –219, DOI: https://doi.org/10.21041/ra.v13i2.671 |
Resumo
Este artigo mostra um novo modelo para o dimensionamento completo de fundações isoladas retangulares sob flexão uniaxial e biaxial, levando em consideração que a área da sapata em contato com o solo funciona parcialmente à compressão. A metodologia é apresentada por integração para obter momentos, cisalhamento por flexão e punção. Exemplos numéricos são apresentados para o projeto de fundações isoladas retangulares sob flexão uniaxial e biaxial e são comparados ao modelo atual (a área total funciona em compressão) em termos de volumes de concreto e aço. O modelo atual mostra maiores volumes de concreto e aço. Portanto, o novo modelo é o mais apropriado, pois apresenta melhor controle de qualidade nos recursos utilizados.
Palavras chave:
fundações isoladas retangulares,
novo modelo para dimensionamento completo,
momentos,
cisalhamento de flexão,
punção.
1. IntroduÇÃo
O dimensionamento de sapatas rasas apoiadas no solo depende das cargas e momentos fornecidos pelos pilares.
A Figura 1 mostra a distribuição da pressão do solo sob a sapata rígida que depende do tipo de solo e a posição da força resultante aplicada no centro de gravidade da fundação. A Figura 1(a) apresenta uma base apoiada em solo arenoso. A Figura 1(b) mostra uma fundação apoiada em solo argiloso. A Figura 1(c) apresenta a distribuição uniforme da pressão do solo usada no projeto atual.
A capacidade portante foi investigada para sapatas rasas submetidas à flexão biaxial, que leva em consideração uma distribuição linear de pressão do solo e essa área de contato funciona parcialmente em compressão (Irles-Más e Irles-Más , 1992 ; Ozmen , 2011 ; Rodriguez- Gutierrez e Aristizabal -Ochoa, 2013a, b; Lee e outros, 2015; Kaur e Kumar, 2016; bezmalinovic Coleoni , 2016; Dagdeviren , 2016; Aydogdu , 2016; Girgin , 2017; Turedi et al., 2019; Al- Gahtani e Adekunle , 2019; Galvis e Smith-Pardo, 2020; Rawat et al ., 2020; Lezgy-Nazargah et al ., 2022; Gor , 2022 ).
| Fonte: Elaboração própria | ||||
![]() |
||||
| Figura 1. Distribuição de pressão sob a sapata | ||||
Modelos matemáticos para o dimensionamento de fundações: para sapatas isoladas foram desenvolvidos para formas quadradas, circulares e retangulares (Algin , 2000, 2007; Luévanos -Rojas, 2012a, b, 2013, 2014a, 2015a; Luévanos -Rojas et al., 2013 , 2014b, 2016b, e outros, 2017; Filho et al., 2017; López-Chavarría et al., 2017a, c, 2019; khajehzadeh et al . , 2014); Para sapatas combinadas retangulares, trapezoidais, de canto, em forma de T e em tiras (Jahanandish et al., 2012; Luévanos -Rojas, 2014c, 2015b, c, d, 2016a, b, et al. , 2018a, b, 2020; López -Chavarría et al., 2017b; Velázquez-Santillán et al., 2019; Aguilera-Mancilla et al., 2019; Yáñez-Palafox e outros, 2019). Esses trabalhos levam em consideração a área total de contato que trabalha sob compressão.
Os modelos mais próximos deste artigo são: Soto-García et al. (2022) propuseram um modelo matemático para obter a área mínima para sapatas circulares isoladas, levando em consideração que a área da sapata em contato com o solo funciona parcialmente em compressão; este modelo apresenta um caso porque a análise é desenvolvida para o momento resultante. Vela-Moreno et al. (2022) desenvolveu um modelo matemático para encontrar a superfície mínima para sapatas retangulares isoladas, levando em consideração que a área da sapata em contato com o solo funciona parcialmente em compressão. Este modelo mostra cinco casos para flexão biaxial, dois para flexão uniaxial flexão (a carga está no eixo X) e outros dois para flexão uniaxial (a carga está no eixo Y). Kim-Sanchez et al. (2022) apresentou um modelo matemático para obtenção da espessura e das áreas de aço transversais e longitudinais para sapatas circulares isoladas, levando em consideração que a área da sapata em contato com o solo funciona parcialmente em compressão.
Esta pesquisa apresenta um novo modelo analítico para obter um dimensionamento completo (espessuras e áreas de aço transversal e longitudinal) para sapatas retangulares isoladas, levando em consideração que a área da sapata em contato com o solo funciona parcialmente sob compressão, este modelo baseia- se na área de contato com o solo (laterais da sapata) do modelo proposto por Vela-Moreno et al. (2022). A formulação do novo modelo é desenvolvida por integração para encontrar os momentos, os cisalhamentos de flexão e punção sob os critérios do código (ACI 318S-19). Outros autores apresentam as equações para encontrar o dimensionamento completo de uma sapata retangular isolada, mas consideram a área total trabalhando sob compressão. Exemplos numéricos são mostrados para encontrar o dimensionamento completo de sapatas retangulares isoladas sob carga axial e momentos em uma e duas direções, e os resultados são comparados com os de outros autores para observar as diferenças. As áreas de contato com o solo apresentadas neste documento são baseadas no trabalho proposto por Vela-Moreno et al. (2022). Este modelo terá seu impacto na construção civil com menores custos (materiais e mão de obra).
2. FormulaÇÃo do novo modelo
Uma sapata isolada retangular rígida deforma-se de forma plana, ou seja, a distribuição da pressão do solo sob a sapata é considerada linear.
A equação geral para qualquer sapata sujeita a flexão biaxial sob uma carga axial fatorada e dois momentos ortogonais fatorados é:

onde: σ u é a pressão fatorada gerada pelo solo devido à carga axial fatorada e aos momentos fatorados aplicados na sapata, P u é a carga axial fatorada, M ux é o momento fatorado no eixo X, M uy é o momento fatorado no eixo Y, h x e h y são os lados da sapata, x e y são as coordenadas onde está localizada a pressão gerada pelo solo.
A equação de flexão biaxial pode ser aplicada quando a força resultante P u está localizada dentro do núcleo central (área trabalhando totalmente em compressão), e quando a força resultante P u está fora do núcleo central (área trabalhando parcialmente em compressão) não é válida.
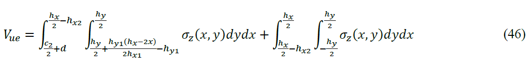
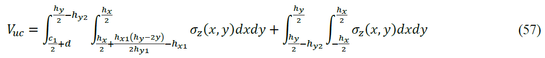
Quando a força resultante P u está fora do núcleo central, as equações gerais para a pressão do solo sob a sapata submetida à flexão uniaxial e biaxial são:
Flexão uniaxial (P u está localizado no eixo Y):

Flexão uniaxial (P u está localizado no eixo X):

Flexão biaxial:

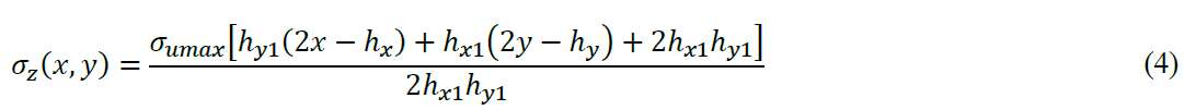
onde: σ umax é a pressão fatorada máxima gerada pelo solo devido à carga axial fatorada e aos momentos fatorados aplicados na sapata.
As seções críticas para os momentos estão localizadas nos eixos a-a e b-b , para as seções críticas para a flexão estão localizadas nos eixos c-c e e-e , e a seção crítica para a punção ocorre no perímetro formado pelos pontos 5, 6, 7 e 8 (ACI 318S-19).
2.1. Sapata retangular isolada submetida à flexão uniaxial
A Figura 2 mostra os quatro casos possíveis para se obter a área mínima de uma sapata retangular isolada submetida à flexão uniaxial. Dois casos quando P está localizado no eixo Y: 1) quando P está localizado dentro do núcleo central; 2) quando P está fora do núcleo central. Dois casos quando P está localizado no eixo X: 1) quando P está localizado dentro do núcleo central; 2) quando P está fora do núcleo central.
| Fonte: Elaboração própria baseada em Vela-Moreno et al. (2022) | ||||
![]() |
||||
| Figura 2. Quatro possíveis casos de área mínima para flexão uniaxial | ||||
A Figura 3 mostra as seções críticas para momentos fletores e cortantes por flexão para quatro casos possíveis: Caso I-Y quando P está localizado no eixo Y, e dentro do núcleo central. Caso II-Y quando P está localizado no eixo Y, e fora do núcleo central: Caso II-YA quando o eixo neutro está localizado h y /2 - h y1 ≥ c 1 /2 (momento) e h y /2 - h y1 ≥ c 1 /2 + d (cortante por flexão); Caso II-YB quando a linha neutra está localizada h y /2 - h y1 ≤ c 1 /2 (momento) e h y /2 - h y1 ≤ c 1 /2 + d (cortante por flexão). Caso I-X quando P está localizado no eixo X e dentro do núcleo central. Caso II-X quando P está localizado no eixo X e fora do núcleo central; Caso II-XA quando a linha neutra está localizada h x /2 - h x1 ≥ c 2 /2 (momento) e h x /2 - h x1 ≥ c 2 /2 + d (cortante por flexão); Caso II-XB quando a linha neutra está localizada h x /2 - h x1 ≤ c 2 /2 (momento) e h x /2 - h x1 ≤ c 2 /2 + d (cortante por flexão).
2.1.1. Cortantes e momentos por flexão
As equações gerais nos eixos “c” e “e” para os momentos de flexão fatorados “Vuc” e “Vue”, e nos eixos “a” e “b” para os momentos fatorados “Mua” e “Mub” são:
Caso I-Y




onde: d é a profundidade efetiva da sapata, c 1 e c 2 são os lados do pilar.
Nota: A Equação (1) é substituída nas Equações (5) a (8) e Muy = 0, e as integrais são desenvolvidas para obter as equações finais.
| Fonte: Elaboração própria | ||||
![]() |
||||
| Figura 3. Momentos fletores e cortantes para flexão uniaxial | ||||
Caso II-YA
Para h y /2 - h y1 ≥ c 1 /2 + d (cortante por flexão) e h y /2 - h y1 ≥ c 1 /2 (momento) são:




Caso II-YB
Para h y /2 - h y1 ≤ c 1 /2 + d (cortante por flexão) e h y /2 - h y1 ≤ c 1 /2 (momento) são:




Nota: a equação (2) é substituída nas equações (9) a (16) e as integrais são desenvolvidas para obter as equações finais.
Caso I-X
As equações gerais nos eixos “c” e “e” para as cortantes por flexão fatorados “Vuc” e “Vue”, e nos eixos “a” e “b” para os momentos fatorados “Mua” e “Mub” são as equações (5) a (8). Mas nessas equações Mux = 0 é substituído e as integrais são desenvolvidas para obter as equações finais.
Caso II-XA
Para h x /2 - h x1 ≥ c 2 /2 + d (cortante por flexão) e h x /2 - h x1 ≥ c 2 /2 (momento) são:




Caso II-XB
Para h x /2 - h x1 ≤ c 2 /2 + d (cortante por flexão) e h x /2 - h x1 ≤ c 2 /2 (momento) são:




Nota: a equação (3) é substituída nas equações (17) a (24) e as integrais são desenvolvidas para obter as equações finais.
2.1.2. Cortante por punção
A Figura 4 mostra as seções críticas de punção para quatro casos possíveis: Caso I-Y quando P está localizado no eixo Y, e dentro do núcleo central. Caso II-Y quando P está localizado no eixo Y, e fora do núcleo central: Caso II-YA quando o eixo neutro está localizado hy/2 - hy1 ≥ c1/2 + d/2; Caso II-YB quando a linha neutra está localizada hy/2 - hy1 ≤ c1/2 + d/2. Caso I-X quando P está localizado no eixo X e dentro do núcleo central. Caso II-X quando P está localizado no eixo X, e fora do núcleo central: Caso II-XA quando o eixo neutro está localizado hx/2 - hx1 ≥ c2/2 + d/2; Caso II-XB quando a linha neutra está localizada hx/2 - hx1 ≤ c2/2 + d/2.
A equação geral para cortante por punção fatorada “Vup” é:
Caso I-Y

Nota: A Equação (1) é substituída na Equação (25) e Muy = 0, e a integral é desenvolvida para obter a equação final.
Caso II-YA
Para h y /2 - h y1 ≥ c 1 /2 + d/2 é:

Caso II-YB
Para h y /2 - h y1 ≤ c 1 /2 + d/2 é:

onde: − c 1 /2 − d/2 ≤ y s ≤ c 1 /2 + d/2
Nota: a equação (2) é substituída na equação (27) e a integral é desenvolvida para obter a equação final.
Caso I-X
A equação (1) é substituída na equação (25) e Mux = 0 e a integral é desenvolvida para obter a equação final.
Caso II-XA
Para h x /2 - h x1 ≥ c 2 /2 + d/2 é a equação (26).
Caso II-XB
Para h x /2 - h x1 ≤ c 2 /2 + d/2 é:

onde: − c 2 /2 − d/2 ≤ x s ≤ c 2 /2 + d/2.
Observação: a equação (3) é substituída na equação (28) e a integral é desenvolvida para obter a equação final.
| Fonte: Elaboração própria | ||||
![]() |
||||
| Figura 4. Cortante de puncionamento para flexão uniaxial | ||||
2.2. Sapata isolada retangular submetida a flexão biaxial
A Figura 5 mostra os cinco casos possíveis para obtenção da área mínima de uma sapata retangular isolada submetida à flexão biaxial.
Para o caso I, considera-se que a superfície total da sapata trabalha sob compressão. A pressão gerada pelo solo na sapata é obtida pela equação (1) (flexão biaxial).
Para os casos II, III, IV e V, considera-se que a superfície total da sapata trabalha parcialmente sob compressão, ou seja, parte da superfície tem pressão nula. A pressão gerada pelo solo na sapata é obtida pela equação (4).
| Fonte: Elaboração própria baseada em Vela-Moreno et al. (2022) | ||||
![]() |
||||
| Figura 5. Cinco possíveis casos de área mínima para flexão biaxial | ||||
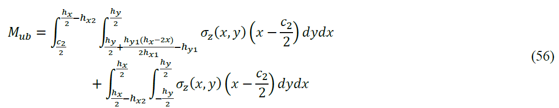
2.2.1. Cortantes por flexão e momentos
A Figura 6 mostra as seções críticas para momentos fletores e cortantes por flexão para todos os casos possíveis.
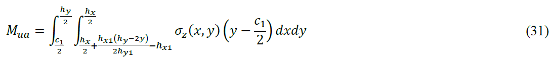
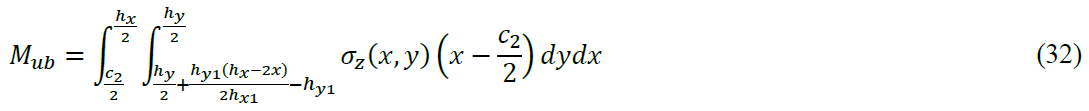
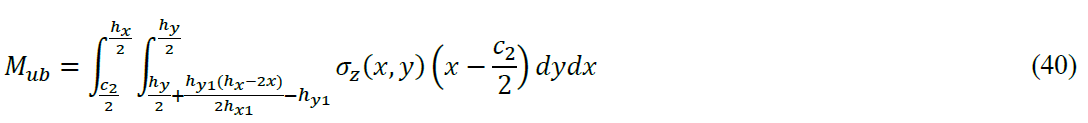
As equações gerais nos eixos “c” e “e” para os esforços de flexão fatorados “Vuc” e “Vue”, nos eixos “a” e “b” para os momentos fatorados “Mua” e “Mub" são:
| Fonte: Elaboração própria | ||||
![]() |
||||
| Figura 6. Momentos fletores e cortantes para flexão biaxial | ||||
Caso I
Quando P está localizado dentro do núcleo central.
A equação (1) é substituída nas equações (5) a (8) e as integrais são desenvolvidas para obter as equações finais.
Caso II
Quando P está localizado fora do núcleo central.




Caso III
Quando P está localizado fora do núcleo central de dois casos possíveis: Caso IIIA quando a linha neutra está localizada h y /2 - h y2 ≤ c 1 /2 (momento) e h y /2 - h y2 ≤ c 1 /2 + d (cortante por flexão); Caso IIIB quando a linha neutra está localizada h y /2 - h y2 ≥ c 1 /2 (momento) e h y /2 - h y2 ≥ c 1 /2 + d (cortante por flexão).
Caso IIIA




Caso IIIB




donde: h y2 = h y1 (h x1 - h x )/h x1 .
onde: h y2 = h y1 (h x1 - h x )/h x1 .
Caso IV
Quando P está localizado fora do núcleo central de dois casos possíveis: Caso IVA quando a linha neutra está localizada h x /2 - h x2 ≤ c 2 /2 (momento) e h x /2 - h x2 ≤ c 2 /2 + d (cortante por flexão); Caso IVB quando a linha neutra está localizada h x /2 - h x2 ≥ c 2 /2 (momento) e h x /2 - h x2 ≥ c 2 /2 + d (cortante por flexão).
Caso IVA




Caso IVB




onde: h x2 = h x1 (h y1 - h y )/h y1 .
Caso V
Quando P está localizado fora do núcleo central de quatro casos possíveis: Caso VA quando a linha neutra está localizada h y /2 - h y2 ≤ c 1 /2 + d e h x /2 - h x2 ≤ c 2 /2 + d (cortante por flexão), e h y /2 - h y2 ≤ c 1 /2 e h x /2 - h x2 ≤ c 2 /2 (momento); Caso VB quando a linha neutra está localizada h y /2 - h y2 ≤ c 1 /2 + d e h x /2 - h x2 ≥ c 2 /2 + d (cortante por flexão) e h y /2 - h y2 ≤ c 1 /2 e h x /2 - h x2 ≥ c 2 /2 (momento); Caso VC quando a linha neutra está localizada h y /2 - h y2 ≥ c 1 /2 + d e h x /2 - h x2 ≤ c 2 /2 + d (cortante por flexão) e h y /2 - h y2 ≥ c 1 /2 e h x /2 - h x2 ≤ c 2 /2 (momento); Caso VD quando a linha neutra está localizada h y /2 - h y2 ≥ c 1 /2 + d e h x /2 - h x2 ≥ c 2 /2 + d (cortante por flexão) e h y /2 - h y2 ≥ c 1 /2 e h x /2 - h x2 ≥ c 2 /2 (momento).
Caso VA




Caso VB




Caso VC




Caso VD




Nota: a equação (4) é substituída nas equações (29) a (64) e as integrais são desenvolvidas para obter as equações finais.
2.2.2. Cortante por puncionamento
Figura 7 mostra as seções críticas para puncionamento de seis casos possíveis (Perímetro crítico formado pelos pontos 5, 6, 7 e 8).
Para o caso I considera-se que a superfície total da sapata trabalha sob compressão. A pressão gerada pelo solo na sapata é obtida pela equação (1) (flexão biaxial).
Para os casos II, III, IV, V e VI, considera-se que a superfície total da sapata trabalha parcialmente sob compressão, ou seja, parte da superfície tem pressão nula. A pressão gerada pelo solo na sapata é obtida pela equação (4).
| Fonte: Elaboração própria | ||||
![]() |
||||
| Figura 7. Cortantes por puncionamento para flexão biaxial | ||||
A equação geral para cortante por puncionamento fatorada “Vup” é:
Caso I
A equação (1) é substituída na equação (25) e a integral é desenvolvida para obter a equação final.
Caso II
A linha neutra não atinge o perímetro da seção crítica, portanto, é a equação (26).
Caso III

onde: y p = h y /2 - h y1 (c 2 + d - h x )/2h x1 - h y1 (Se a linha neutra cruzar o perímetro crítico no lado formado pelos pontos 5 e 8) e y p = - c 1 /2 - d/2 (Se a linha neutra cruzar o perímetro crítico no lado formado pelos pontos 7 e 8).
Caso IV

onde: y p1 = h y /2 + h y1 (c 2 + d + h x )/2h x1 - h y1 .
Caso V

onde: x p1 = h x /2 - h x1 (c 1 + d - h y )/2h y1 - h x1 e y p1 = h y /2 + h y1 (c 2 + d + h x )/2h x1 - h y1 .
Caso VI

onde: x p1 = h x /2 - h x1 (c 1 + d - h y )/2h y1 - h x1 y y p1 = h y /2 + h y1 (c 2 + d + h x )/2h x1 - h y1 .
Nota: A equação (4) é substituída nas equações (65) a (68) e a integral é desenvolvida para obter as equações finais.
3. Resultados
Esta seção descreve a aplicação do novo modelo apresentado neste artigo, usando os mesmos exemplos para obter a área mínima e os lados de uma sapata retangular isolada proposta por Vela-Moreno et al., (2022).
As Tabelas 1 e 2 apresentam os quatro casos para obtenção do dimensionamento completo das sapatas isoladas retangulares submetidas à flexão uniaxial. Dois casos em que a carga axial está no eixo Y: Caso I-Y, quando toda a área de contato trabalha sob compressão; Caso II-Y, quando a área de contato trabalha parcialmente em compressão. Dois casos em que a carga axial está no eixo X: Caso IX, quando toda a área de contato trabalha sob compressão; Caso II-X, quando a área de contato trabalha parcialmente em compressão.
A Tabela 1 mostra os resultados para c1 e c2 = 0.40 m, Pu = 720 kN, Mux = 360, 720, 1440, 2160 kN-m, Muy = 0 kN-m e σumax = 250 kN/m2.
O procedimento utilizado é o seguinte:
Para o caso I-Y: Substituindo Pu, Mux, Muy = 0, hx, hy na equação (1), e subsequentemente substituindo a equação (1), hx, hy, c1, c2 e d em equações (5) a (8) e (25).
Para o caso II-Y: Substituindo σumax, hy, hy1 na equação (2) e subsequentemente substituindo a equação (2), hx, hy, hy1, c1, c2 e d nas equações (9) a (12) ou (13) a (16) e (26) ou (27) conforme o caso.
O valor de d é fixado pelas equações propostas por (ACI 318S-19).
| Tabela 1. Dimensionamento completo da sapata quando a carga axial está no eixo Y. | |||||||||||||||
| Caso | Mux kN-m | hx m | hy m | d cm | Mua kN-m | Mub kN-m | Vuc kN | Vue kN | Vup kN | Asmy cm2 | Asminy cm2 | Aspy cm2 | Asmx cm2 | Asminx cm2 | Aspx cm2 |
|---|---|---|---|---|---|---|---|---|---|---|---|---|---|---|---|
| I-Y | 360 | 1.00 | 3.65 | 52.00 | 410.97 | 32.40 | 342.89 | * | 553.04 | 22.00 | 17.32 | 22.8 | 1.65 | 63.20 | 65.55 |
| (8Ø3/4”) | (23Ø3/4”) | ||||||||||||||
| II-Y | 1.33 | 3.00 | 32.00 | 240.38 | 40.54 | 272.63 | 54.38 | 655.20 | 21.10 | 14.17 | 22.8 | 3.37 | 31.97 | 34.2 | |
| (8Ø3/4”) | (12Ø3/4”) | ||||||||||||||
| I-Y | 720 | 1.00 | 6.00 | 67.00 | 794.45 | 32.40 | 420.46 | * | 582.61 | 33.32 | 22.31 | 34.2 | 1.28 | 133.87 | 136.89 |
| (12Ø3/4”) | (27Ø1”) | ||||||||||||||
| II-Y | 1.00 | 4.67 | 52.00 | 468.41 | 22.50 | 322.24 | * | 631.92 | 25.28 | 17.32 | 25.65 | 1.15 | 80.87 | 81.12 | |
| (9Ø3/4”) | (16Ø1”) | ||||||||||||||
| I-Y | 1440 | 2.00 | 12.00 | 42.00 | 1693.21 | 115.20 | 500.88 | 136.80 | 699.83 | 130.51 | 27.97 | 131.82 | 7.27 | 167.83 | 172.38 |
| (26Ø1”) | (34Ø1”) | ||||||||||||||
| II-Y | 2.00 | 5.33 | 42.00 | 894.98 | 80.00 | 499.75 | 95.00 | 720.00 | 61.71 | 27.97 | 65.91 | 5.05 | 74.55 | 76.95 | |
| (13Ø1”) | (27Ø3/4”) | ||||||||||||||
| I-Y | 2160 | 2.00 | 18.00 | 52.00 | 2592.81 | 115.20 | 510.05 | 100.80 | 703.07 | 161.36 | 34.63 | 162.24 | 5.87 | 311.69 | 314.34 |
| (32Ø1”) | (62Ø1”) | ||||||||||||||
| II-Y | 2.00 | 7.33 | 37.00 | 1268.16 | 80.00 | 350.12 | 107.50 | 720.00 | 109.86 | 24.64 | 111.54 | 5.73 | 90.31 | 91.2 | |
| (22Ø1”) | (32Ø3/4”) | ||||||||||||||
onde: Asmy e Asmx são as áreas de aço geradas pelos momentos nos eixos a (direção Y) e b (direção X), Asminy e Asminx são as áreas mínimas de aço em ambas as direções, Aspy e Aspx são as propostas áreas de aço nas direções Y e X (ACI 318S-19). * O eixo está localizado fora da área da sapata.
(Fonte: Elaboração própria)
A Tabela 2 mostra os resultados para c1 e c2 = 0,40 m, Pu = 720 kN, Mux = 0 kN-m, Muy = 360, 720, 1440, 2160 kN-m e σumax = 250 kN/m 2 (mesmo procedimento usado no Tabela 1, mas com as equações correspondentes).
| Tabela 2. Projeto completo da sapata quando a carga axial está no eixo X. | |||||||||||||||||||
| Caso | Mux kN-m | hx m | hy m | d cm | Mua kN-m | Mub kN-m | Vuc kN | Vue kN | Vup kN | Asmy cm2 | Asminy cm2 | Aspy cm2 | Asmx cm2 | Asminx cm2 | Aspx cm2 | ||||
|---|---|---|---|---|---|---|---|---|---|---|---|---|---|---|---|---|---|---|---|
| I-X | 360 | 3.65 | 1.00 | 52.00 | 32.40 | 410.97 | * | 342.89 | 553.04 | 1.65 | 63.20 | 65.55 | 22.00 | 17.32 | 22.8 | ||||
| (23Ø3/4”) | (8Ø3/4”) | ||||||||||||||||||
| II-X | 3.00 | 1.33 | 32.00 | 40.54 | 240.38 | 54.38 | 272.63 | 655.20 | 3.37 | 31.97 | 34.2 | 21.10 | 14.17 | 22.8 | |||||
| (12Ø3/4”) | (8Ø3/4”) | ||||||||||||||||||
| I-X | 720 | 6.00 | 1.00 | 67.00 | 32.40 | 794.45 | * | 420.46 | 582.61 | 1.28 | 133.87 | 136.89 | 33.32 | 22.31 | 34.2 | ||||
| (27Ø1”) | (12Ø3/4”) | ||||||||||||||||||
| II-X | 4.67 | 1.00 | 52.00 | 22.50 | 468.41 | * | 322.24 | 631.92 | 1.15 | 80.87 | 81.12 | 25.28 | 17.32 | 25.65 | |||||
| (16Ø1”) | (9Ø3/4”) | ||||||||||||||||||
| I-X | 1440 | 12.00 | 2.00 | 42.00 | 115.20 | 1693.21 | 136.80 | 500.88 | 699.83 | 7.27 | 167.83 | 172.38 | 130.51 | 27.97 | 131.82 | ||||
| (34Ø1”) | (26Ø1”) | ||||||||||||||||||
| II-X | 5.33 | 2.00 | 42.00 | 80.00 | 894.98 | 95.00 | 499.75 | 720.00 | 5.05 | 74.55 | 76.95 | 61.71 | 27.97 | 65.91 | |||||
| (27Ø3/4”) | (13Ø1”) | ||||||||||||||||||
| I-X | 2160 | 18.00 | 2.00 | 52.00 | 115.20 | 2592.81 | 100.80 | 510.05 | 703.07 | 5.87 | 311.69 | 314.34 | 161.36 | 34.63 | 162.24 | ||||
| (62Ø1”) | (32Ø1”) | ||||||||||||||||||
| II-X | 7.33 | 2.00 | 37.00 | 80.00 | 1268.16 | 107.50 | 350.12 | 720.00 | 5.73 | 90.31 | 91.2 | 109.86 | 24.64 | 111.54 | |||||
| (32Ø3/4”) | (22Ø1”) | ||||||||||||||||||
| (Fonte: Elaboração própria) | |||||||||||||||||||
As Tabelas 1 e 2 apresentam o dimensionamento completo das sapatas retangulares isoladas submetidas à flexão uniaxial.
A Tabela 1 mostra o seguinte: A superelevação efetiva é governada pela cortante por flexão no eixo c para ambos os casos (Mux = 360, 720, 1440 kN-m) e pelo momento no eixo a para ambos os casos (Mux = 2160 kN-m). A menor escala efetiva ocorre no caso II-Y para Mux = 360, 720, 2160 kN-m, e para Mux = 1440 kN-m a escala efetiva é a mesma nos casos I-Y e II-Y. A menor área de aço proposta aparece no caso II-Y para ambos os casos em ambas as direções exceto para Mux = 360 kN-m que são os mesmos no caso I-Y e II-Y na direção Y.
A Tabela 2 mostra o seguinte: A superelevação efetiva é governada pela cortante por flexão no eixo e para ambos os casos (Muy = 360, 720, 1440 kN-m), e pelo momento no eixo b para ambos os casos (Muy = 2160 kN-m). A menor escala efetiva é apresentada no caso II-X para Muy = 360, 720, 2160 kN-m, e para Muy = 1440 kN-m a escala efetiva é a mesma no caso I-X e II-X. A menor área de aço proposta aparece no caso II-X para ambos os casos em ambas as direções exceto para Muy = 360 kN-m que são iguais no caso I-X e II-X na direção X.
As Tabelas 3, 4, 5 6 apresentam o dimensionamento completo das sapatas isoladas submetidas à flexão biaxial.
As Tabelas 3, 4, 5 6 apresentam os dois casos para obtenção do dimensionamento completo de sapatas isoladas retangulares submetidas à flexão biaxial, um caso em que toda a área de contato trabalha em compressão (Caso I), e outro caso em que a área de contato trabalha parcialmente. menor área dos casos II, III, IV e V).
O procedimento utilizado para as Tabelas 3, 4, 5 6 é o seguinte:
Para o caso I: Substituindo Pu, Mux, Muy, hx, hy na equação (1) e subsequentemente substituindo a equação (1), hx, hy, c1, c2 e d nas equações (5) a (8) e (25).
Para os casos II, III, IV e V: Substituindo σumax, hx, hx1, hy, hy1 na equação (4) e subsequentemente substituindo a equação (4), hx, hx1, hy, hy1, c1, c2 e d nas equações (29) a (32) (caso II), nas equações (33) a (36) (caso IIIA), nas equações (37) a (40 ) (caso IIIB), em equações (41) a (44) (caso IVA), nas equações (45) a (48) (caso IVB), nas equações (49) a (52) (caso VA), nas equações (53) a (56) (caso VB), nas equações (57) a (60) (caso VC), nas equações (61) a (64) (caso VD) e (26), (65) a (68) conforme o caso .
A Tabela 3 mostra os resultados para c1 e c2 = 0,40 m, Pu = 720 kN, Mux = 360, 720, 1440, 2160 kN-m, Muy = 360 kN-m e σumax = 250 kN/m2. A menor área aparece no caso V para Mux = 360 e 720 kN-m, e no caso II para Mux = 1440 e 2160 kN-m.
| Tabela 3. Dimensionamento completo da sapata para M uy = 360 kN-m. | |||||||||||||||||||
| Caso | Mux kN-m | hx m | hy m | d cm | Mua kN-m | Mub kN-m | Vuc kN | Vue kN | Vup kN | Asmy cm2 | Asminy cm2 | Aspy cm2 | Asmx cm2 | Asminx cm2 | Aspx cm2 | ||||
|---|---|---|---|---|---|---|---|---|---|---|---|---|---|---|---|---|---|---|---|
| I | 360 | 6.00 | 6.00 | 27.00 | 632.43 | 632.43 | 391.39 | 391.39 | 711.02 | 65.04 | 53.95 | 65.55 | 65.04 | 53.95 | 65.55 | ||||
| (23Ø3/4”) | (23Ø3/4”) | ||||||||||||||||||
| V | 2.72 | 2.72 | 22.00 | 229.25 | 229.25 | 305.04 | 305.04 | 698.58 | 29.25 | 19.93 | 31.35 | 29.25 | 19.93 | 31.35 | |||||
| (11Ø3/4”) | (11Ø3/4”) | ||||||||||||||||||
| I | 720 | 6.00 | 12.00 | 27.00 | 1351.21 | 632.43 | 421.25 | 391.39 | 715.51 | 148.38 | 53.95 | 152.1 | 63.43 | 107.89 | 111.54 | ||||
| (30Ø1”) | (22Ø1”) | ||||||||||||||||||
| V | 2.22 | 4.45 | 27.00 | 472.00 | 196.31 | 367.54 | 298.13 | 709.58 | 51.44 | 19.93 | 55.77 | 19.61 | 40.01 | 42.75 | |||||
| (11Ø1”) | (15Ø3/4”) | ||||||||||||||||||
| I | 1440 | 6.00 | 24.00 | 32.00 | 2790.60 | 632.43 | 434.23 | 384.90 | 717.41 | 278.09 | 63.94 | 278.85 | 52.71 | 255.74 | 258.57 | ||||
| (55Ø1”) | (51Ø1”) | ||||||||||||||||||
| II | 1.87 | 7.46 | 37.00 | 948.06 | 174.75 | 419.11 | 254.16 | 720.00 | 78.18 | 23.04 | 79.8 | 12.56 | 91.91 | 94.05 | |||||
| (16Ø1”) | (33Ø3/4”) | ||||||||||||||||||
| I | 2160 | 6.00 | 36.00 | 42.00 | 4230.40 | 632.43 | 437.49 | 371.76 | 717.76 | 311.87 | 83.92 | 314.34 | 39.96 | 503.50 | 507 | ||||
| (62Ø1”) | (100Ø1”) | ||||||||||||||||||
| II | 1.71 | 10.24 | 42.00 | 1428.46 | 165.34 | 447.01 | 210.14 | 720.00 | 109.68 | 23.02 | 111.54 | 10.44 | 143.22 | 145.35 | |||||
| (22Ø1”) | (51Ø3/4”) | ||||||||||||||||||
| (Fonte: Elaboração própria) | |||||||||||||||||||
A Tabela 3 mostra o seguinte: A superelevação efetiva é governada pela cortante por puncionamento para os dois casos (Mux = 360, 720 kN-m), e pelo momento no eixo a para os dois casos (Mux = 1440, 2160 kN-m). A menor escala efetiva ocorre no caso V para Mux = 360 kN-m, a menor escala efetiva ocorre no caso I para Mux = 1440 kN-m, e para Mux = 720, 2160 kN-m a escala efetiva é a mesmo em ambos os casos. A maior área de aço proposta aparece no caso I para os dois casos em ambas as direções.
A Tabela 4 mostra os resultados para c1 e c2 = 0,40 m, Pu = 720 kN, Mux = 360, 720, 1440, 2160 kN-m, Muy = 720 kN-m e σumax = 250 kN/m2. A menor área aparece no caso V para Mux = 360 kN-m, e no caso II para Mux = 720, 1440 e 2160 kN-m.
| Tabela 4. Dimensionamento completo da sapata para Muy = 720 kN-m. | |||||||||||||||||||
| Caso | Mux kN-m | hx m | hy m | d cm | Mua kN-m | Mub kN-m | Vuc kN | Vue kN | Vup kN | Asmy cm2 | Asminy cm2 | Aspy cm2 | Asmx cm2 | Asminx cm2 | Aspx cm2 | ||||
|---|---|---|---|---|---|---|---|---|---|---|---|---|---|---|---|---|---|---|---|
| I | 360 | 12.00 | 6.00 | 27.00 | 632.43 | 1351.21 | 391.39 | 421.25 | 715.51 | 63.43 | 107.89 | 111.54 | 148.38 | 53.95 | 152.10 | ||||
| (22Ø1”) | (30Ø1”) | ||||||||||||||||||
| V | 4.45 | 2.22 | 27.00 | 196.31 | 472.00 | 298.13 | 367.54 | 709.58 | 19.61 | 40.10 | 42.75 | 51.44 | 19.96 | 54.15 | |||||
| (15Ø3/4”) | (19Ø3/4”) | ||||||||||||||||||
| I | 720 | 12.00 | 12.00 | 27.00 | 1351.21 | 1351.21 | 421.25 | 421.25 | 717.76 | 139.46 | 107.89 | 141.96 | 139.46 | 107.89 | 141.96 | ||||
| (28Ø1”) | (28Ø1”) | ||||||||||||||||||
| II | 3.73 | 3.73 | 27.00 | 430.31 | 430.31 | 392.78 | 392.78 | 720.00 | 44.47 | 33.54 | 45.63 | 44.47 | 33.54 | 45.63 | |||||
| (9Ø1”) | (9Ø1”) | ||||||||||||||||||
| I | 1440 | 12.00 | 24.00 | 27.00 | 2790.60 | 1351.21 | 435.76 | 421.25 | 718.88 | 307.84 | 107.89 | 309.27 | 135.74 | 215.78 | 218.01 | ||||
| (61Ø1”) | (51Ø1”) | ||||||||||||||||||
| II | 3.22 | 6.45 | 27.00 | 913.51 | 408.86 | 458.25 | 423.74 | 720.00 | 104.20 | 28.95 | 106.47 | 41.21 | 57.99 | 59.85 | |||||
| (21Ø1”) | (21Ø3/4”) | ||||||||||||||||||
| I | 2160 | 12.00 | 36.00 | 27.00 | 4230.40 | 1351.21 | 440.54 | 421.25 | 719.25 | 508.33 | 107.89 | 512.07 | 134.59 | 323.68 | 324.48 | ||||
| (101Ø1”) | (64Ø1”) | ||||||||||||||||||
| II | 3.00 | 9.00 | 32.00 | 1404.83 | 403.75 | 480.92 | 433.67 | 720.00 | 140.24 | 31.97 | 141.96 | 33.85 | 95.90 | 96.90 | |||||
| (28Ø1”) | (34Ø3/4”) | ||||||||||||||||||
| (Fonte: Elaboração própria) | |||||||||||||||||||
A Tabela 5 mostra os resultados para c1 e c2 = 0,40 m, Pu = 720 kN, Mux = 360, 720, 1440, 2160 kN-m, Muy = 1440 kN-m e σumax = 250 kN/m2. A menor área aparece no caso II para Mux = 360, 720, 1440 e 2160 kN-m.
| Tabela 5. Dimensionamento completo da sapata para Muy = 1440 kN-m . | |||||||||||||||||||
| Caso | Mux kN-m | hx m | hy m | d cm | Mua kN-m | Mub kN-m | Vuc kN | Vue kN | Vup kN | Asmy cm2 | Asminy cm2 | Aspy cm2 | Asmx cm2 | Asminx cm2 | Aspx cm2 | ||||
|---|---|---|---|---|---|---|---|---|---|---|---|---|---|---|---|---|---|---|---|
| I | 360 | 24.00 | 6.00 | 32.00 | 632.43 | 2790.60 | 384.90 | 434.23 | 717.41 | 52.71 | 255.74 | 258.57 | 278.09 | 63.94 | 278.85 | ||||
| (51Ø1”) | (55Ø1”) | ||||||||||||||||||
| II | 7.46 | 1.87 | 37.00 | 174.75 | 948.06 | 254.16 | 419.11 | 720.00 | 12.56 | 91.91 | 94.05 | 78.18 | 23.04 | 79.80 | |||||
| (33Ø3/4”) | (16Ø1”) | ||||||||||||||||||
| I | 720 | 24.00 | 12.00 | 27.00 | 1351.21 | 2790.60 | 421.25 | 435.76 | 718.88 | 135.74 | 215.78 | 218.01 | 307.84 | 107.89 | 309.27 | ||||
| (51Ø1”) | (61Ø1”) | ||||||||||||||||||
| II | 6.45 | 3.22 | 27.00 | 408.86 | 913.51 | 423.74 | 458.25 | 720.00 | 41.21 | 57.99 | 59.85 | 104.20 | 28.95 | 106.47 | |||||
| (21Ø3/4”) | (21Ø1”) | ||||||||||||||||||
| I | 1440 | 24.00 | 24.00 | 27.00 | 2790.60 | 2790.60 | 435.76 | 435.76 | 719.44 | 288.54 | 215.78 | 288.99 | 288.54 | 215.78 | 288.99 | ||||
| (57Ø1”) | (57Ø1”) | ||||||||||||||||||
| II | 5.73 | 5.73 | 27.00 | 899.07 | 899.07 | 484.27 | 484.27 | 720.00 | 94.95 | 51.52 | 96.33 | 94.95 | 51.52 | 96.33 | |||||
| (19Ø1”) | (19Ø1”) | ||||||||||||||||||
| I | 2160 | 24.00 | 36.00 | 27.00 | 4230.40 | 2790.60 | 440.54 | 435.76 | 719.63 | 451.51 | 215.78 | 456.30 | 283.13 | 323.68 | 324.48 | ||||
| (90Ø1”) | (64Ø1”) | ||||||||||||||||||
| II | 5.41 | 8.12 | 32.00 | 1399.94 | 898.75 | 498.17 | 495.32 | 720.00 | 157.03 | 48.64 | 157.17 | 92.67 | 73.01 | 94.05 | |||||
| (31Ø1”) | (33Ø3/4”) | ||||||||||||||||||
| (Fonte: Elaboração própria) | |||||||||||||||||||
A Tabela 4 mostra o seguinte: A superelevação efetiva é governada pela cortante de puncionamento para os dois casos (Mux = 360, 720, 1440 kN-m) e pelo momento no eixo a para os dois casos (Mux = 2160 kN-m). A menor escala efetiva ocorre no caso I para Mux = 2160 kN-m, e para Mux = 360, 720, 1440 kN-m a escala efetiva é a mesma em ambos os casos. A maior área de aço proposta aparece no caso I para os dois casos em ambas as direções.
A Tabela 5 mostra o seguinte: A superelevação efetiva é governada pela punção para os dois casos (Mux = 720, 1440, 2160 kN-m) e pelo momento no eixo a para os dois casos (Mux = 360 kN -m). A menor escala efetiva ocorre no caso I para Mux = 360 kN-m, e para Mux = 720, 1440, 2160 kN-m a escala efetiva é a mesma em ambos os casos. A maior área de aço proposta aparece no caso I para os dois casos em ambas as direções.
A Tabela 6 mostra os resultados para c1 e c2 = 0,40 m, Pu = 720 kN, Mux = 360, 720, 1440, 2160 kN-m, Muy = 2160 kN-m e σumax = 250 kN/m2. A menor área aparece no caso II para Mux = 360, 720, 1440 e 2160 kN-m.
| Tabela 6. Dimensionamento completo da sapata para Muy = 2160 kN-m. | |||||||||||||||||||
| Caso | Mux kN-m | hx m | hy m | d cm | Mua kN-m | Mub kN-m | Vuc kN | Vue kN | Vup kN | Asmy cm2 | Asminy cm2 | Aspy cm2 | Asmx cm2 | Asminx cm2 | Aspx cm2 | ||||
|---|---|---|---|---|---|---|---|---|---|---|---|---|---|---|---|---|---|---|---|
| I | 360 | 36.00 | 6.00 | 42.00 | 632.43 | 4230.40 | 371.76 | 437.49 | 717.76 | 39.96 | 503.50 | 507.00 | 311.87 | 83.92 | 314.34 | ||||
| (100Ø1”) | (62Ø1”) | ||||||||||||||||||
| II | 10.24 | 1.71 | 42.00 | 165.34 | 1428.46 | 210.14 | 447.01 | 720.00 | 10.44 | 143.22 | 145.35 | 109.68 | 23.92 | 111.54 | |||||
| (51Ø3/4”) | (22Ø1”) | ||||||||||||||||||
| I | 720 | 36.00 | 12.00 | 27.00 | 1351.21 | 4230.40 | 421.25 | 440.54 | 719.63 | 134.59 | 323.68 | 324.48 | 307.84 | 107.89 | 309.27 | ||||
| (64Ø1”) | (61Ø1”) | ||||||||||||||||||
| II | 9.00 | 3.00 | 32.00 | 403.75 | 1404.83 | 433.67 | 480.92 | 720.00 | 33.85 | 95.90 | 96.90 | 140.24 | 31.97 | 141.96 | |||||
| (34Ø3/4”) | (28Ø1”) | ||||||||||||||||||
| I | 1440 | 36.00 | 24.00 | 27.00 | 2790.60 | 4230.40 | 435.76 | 440.54 | 719.44 | 283.13 | 323.68 | 324.48 | 451.51 | 215.78 | 456.30 | ||||
| (64Ø1”) | (90Ø1”) | ||||||||||||||||||
| II | 8.12 | 5.41 | 27.00 | 898.75 | 1399.94 | 495.32 | 498.17 | 720.00 | 92.67 | 73.01 | 94.05 | 157.03 | 48.64 | 157.17 | |||||
| (33Ø3/4”) | (31Ø1”) | ||||||||||||||||||
| I | 2160 | 36.00 | 36.00 | 27.00 | 4230.40 | 4230.40 | 440.54 | 440.54 | 719.75 | 437.69 | 323.68 | 441.09 | 437.69 | 323.68 | 441.09 | ||||
| (87Ø1”) | (87Ø1”) | ||||||||||||||||||
| II | 7.73 | 7.73 | 32.00 | 1396.69 | 1396.69 | 498.81 | 498.81 | 720.00 | 149.44 | 69.50 | 152.10 | 149.44 | 69.50 | 152.10 | |||||
| (30Ø1”) | (30Ø1”) | ||||||||||||||||||
| (Fonte: Elaboração própria) | |||||||||||||||||||
A Tabela 6 mostra o seguinte: A superelevação efetiva é governada pela punção para os dois casos (Mux= 1440, 2160 kN-m) e pelo momento no eixo a para os dois casos (Mux = 360, 720 kN -m). A menor escala efetiva ocorre no caso I para Mux = 720 kN-m, e para Mux = 360, 1440, 2160 kN-m a escala efetiva é a mesma em ambos os casos. A maior área de aço proposta aparece no caso I para os dois casos em ambas as direções.
A Figura 8 mostra a comparação da flexão uniaxial (carga axial no eixo Y) do modelo atual (Caso I-Y) e do novo modelo (Caso II-Y) em termos de volume de concreto e aço dos exemplos considerados.
A Figura 8 mostra o seguinte: O novo modelo apresenta volumes de concreto e aço menores em todos os casos do que o modelo atual. A menor diferença nos volumes de concreto e aço ocorre em Mux = 360 kN-m de 1,37 vezes para concreto e 1,31 vezes para aço. A maior diferença de volumes de concreto e aço ocorre em Mux = 2160 kN-m de 3,27 vezes para concreto e 3,55 vezes para aço.
A Figura 9 mostra a comparação da flexão uniaxial (carga axial no eixo X) do modelo atual (Caso I-X) e do novo modelo (Caso II-X) em termos de volume de concreto e aço dos exemplos considerados.
A Figura 9 mostra o seguinte: O novo modelo apresenta volumes de concreto e aço menores em todos os casos do que o modelo atual. A menor diferença nos volumes de concreto e aço ocorre em Muy = 360 kN-m de 1,37 vezes para concreto e 1,31 vezes para aço. A maior diferença de volumes de concreto e aço ocorre em Muy = 2160 kN-m de 3,27 vezes para concreto e 3,55 vezes para aço.
| Fonte: Elaboración própria | ||||
![]() |
||||
| Figura 8. Comparação para flexão uniaxial (Muy = 0) | ||||
| Fonte: Elaboración própria | ||||
![]() |
||||
| Figura 9. Comparação para flexão uniaxial (Mux = 0) | ||||
A Figura 10 mostra a comparação da flexão biaxial do modelo atual (Caso I) e do novo modelo (Caso II ou V) em termos de volume de concreto e aço dos exemplos considerados.
A Figura 10 mostra o seguinte:
O novo modelo apresenta volumes menores de concreto e aço em todos os casos do que o modelo atual.
As menores diferenças ocorrem em Mux = 360 kN-m para todos os casos nos volumes de concreto e aço de 5,68 vezes para concreto e 4,61 vezes para aço (Muy = 360 kN-m), 7,28 vezes para concreto e 7,43 vezes para aço (Muy = 720 kN-m), 9,17 vezes para concreto e 10,69 vezes para aço (Muy = 1440 kN-m), 12,33 vezes para concreto e 10,32 vezes para aço (Muy = 2160 kN-m).
As maiores diferenças ocorrem em Mux = 2160 kN-m para todos os casos nos volumes de concreto e aço de 12,33 vezes para concreto e 10,32 vezes para aço (Muy = 360 kN-m), 14,00 vezes para concreto e 14,24 vezes para aço (Muy = 720 kN-m), 19,66 vezes para concreto e 13,57 vezes para aço (Muy = 1440 kN-m), 21,69 vezes para concreto e 13,51 vezes para aço (Muy = 2160 kN-m).
| Fonte: Elaboração própria | ||||
![]() |
||||
| Figura 10. Comparação para flexão biaxial | ||||
4. ConclusÕes
Este trabalho apresenta um novo modelo matemático de dimensionamento completo para obtenção das espessuras e áreas de aço transversal e longitudinal para sapatas retangulares isoladas submetidas à flexão uniaxial e biaxial apoiadas em solos elásticos, que considera a superfície total trabalhando parcialmente em compressão e assume-se que o a distribuição da pressão no solo é linear.
As principais contribuições deste trabalho para estes exemplos são:
1.- Este trabalho mostra uma redução significativa nos volumes de concreto e aço em relação ao modelo atual, se a superfície de contato com o solo funcionar parcialmente sob compressão.
2.- Este trabalho mostra uma redução significativa no volume de escavação em relação ao modelo atual, porque o novo modelo ocupa menos volume.
3.- As espessuras para ambos os modelos são regidas por momentos e flexão cortante para flexão uniaxial, e por momentos e punção para flexão biaxial.
4.- O novo modelo pode ser utilizado para qualquer norma construtiva, simplesmente tendo em conta os momentos, os esforços de flexão e puncionamento que resistem para definir a sobre-elevação efetiva, e as equações para determinar as áreas de armadura propostas para cada norma construtiva.
5.- O novo modelo pode ser usado quando a carga Pu estiver localizada fora do núcleo central (ex/hx+ ey/hy>1/6), e o modelo atual é usado quando a carga Pu estiver localizada dentro do núcleo central (ex/hx+ ey/hy ≤1/6), onde ex = My/P e ey = Mx/P.
Este trabalho mostra uma solução eficaz e robusta aplicada para obter o dimensionamento completo de sapatas retangulares isoladas submetidas à flexão uniaxial e biaxial apoiadas em solos elásticos que trabalham parcialmente em compressão, sendo a variação do diagrama de pressão linear.
Sugestões para trabalhos futuros:
1.- Dimensionamento completo para sapatas combinadas (retangular, trapezoidal, cinta, canto e em T) submetidas à flexão uniaxial e biaxial apoiadas em solos elásticos trabalhando parcialmente sob compressão.
2.- Sapatas apoiadas em solos totalmente coesos (argilosos) e/ou totalmente granulares (arenosos), o diagrama de pressões é diferente, pois o diagrama de pressões não é linear como apresentado neste trabalho.
REFERÊNCIAS
ACI 318S-19 (2019), “Building Code Requirements for Structural Concrete and Commentary, Committee 318”, New York, USA.
Aguilera-Mancilla, G., Luévanos-Rojas, A., López-Chavarría, S. and Medina-Elizondo, M. (2019), Modeling for the strap combined footings Part I: Optimal dimensioning. Steel and Composite Structures. 30(2):97-108. https://doi.org/10.12989/scs.2019.30.2.097
Al-Gahtani, H.J. and Adekunle, S.K. (2019), A boundary-type approach for the computation of vertical stresses in soil due to arbitrarily shaped foundations. World Journal of Engineering. 16(3): 419-426. https://doi.org/10.1108/WJE-02-2018-0051
Algin, H.M. (2000), Stresses from linearly distributed pressures over rectangular areas. International Journal for Numerical and Analytical Methods in Geomechanics. 24(8):681-692. https://doi.org/10.1002/1096-9853(200007)24:8<681::AID-NAG89>3.0.CO;2-X
Algin, H.M. (2007), Practical formula for dimensioning a rectangular footing. Engineering Structures. 29(6):1128-1134. https://doi.org/10.1016/j.engstruct.2006.08.009
Aydogdu, I. (2016), New Iterative method to Calculate Base Stress of Footings under Biaxial Bending. Journal of Engineering and Applied Sciences. 8(4):40-48. https://doi.org/10.24107/ijeas.281460
Bezmalinovic Colleoni, A.S. (2016), Fórmulas analíticas para la presión de contacto lineal en fundaciones rectangulares altamente excéntricas. IX Chilean Congress on Geotechnical Engineering, Chilean Geotechnical Society, Universidad Austral de Chile.
Dagdeviren, U. (2016), Shear stresses below the rectangular foundations subjected to biaxial bending, Geomechanics Engineering. 10(2):189-205. https://doi.org/10.12989/gae.2016.10.2.189
Filho, W.L., Carvalho, R.CH., Christoforo, A.L. and Lahr, F.A.R. (2017), Dimensioning of Isolated Footing Submitted to the under Biaxial Bending Considering the Low Concrete Consumption. International Journal of Materials Engineering. 7(1):1-11. http://article.sapub.org/10.5923.j.ijme.20170701.01.html
Galvis, F.A. and Smith-Pardo, J.P. (2020), Axial load biaxial moment interaction (PMM) diagrams for shallow foundations: Design aids, experimental verification, and examples. Engineering Structures. 213:110582. https://doi.org/10.1016/j.engstruct.2020.110582
Girgin, K. (2017), Simplified formulations for the determination of rotational spring constants in rigid spread footings resting on tensionless soil. Journal Civil Engineering and Management. 23(4):464-474. https://doi.org/10.3846/13923730.2016.1210218
Gör, M. (2022), Analyzing the bearing capacity of shallow foundations on two-layered soil using two novel cosmology-based optimization techniques. Smart Structures and Systems. 29(3):513-522. https://doi.org/10.12989/sss.2022.29.3.513
Irles-Más, R. and Irles-Más, F. (1992), Alternativa analítica a la determinación de tensiones bajo zapatas rectangulares con flexión biaxial y despegue parcial. Informes de la Construcción. 44(419):77-89. https://dialnet.unirioja.es/servlet/articulo?codigo=2768804
Jahanandish, M., Veiskarami, M. and Ghahramani, A. (2012), Effect of Foundation Size and Roughness on the Bearing Capacity Factor, Nγ, by Stress Level-Based ZEL Method. Arabian Journal for Science and Engineering. 37(7):1817-1831. https://doi.org/10.1007/s13369-012-0293-3
Kaur, A. and Kumar, A. (2016), Behavior of eccentrically inclined loaded footing resting on fiber reinforced soil. Geomechanics Engineering. 10(2):155-174. https://doi.org/10.12989/gae.2016.10.2.155
Khajehzadeh, M., Taha, M.R. and Eslami, M. (2014), Multi-objective Optimization of foundation using global-local gravitational search algorithm. Structural Engineering and Mechanics. 50(3): 257-273. https://doi.org/10.12989/sem.2014.50.3.257
Kim-Sánchez, D.S., Luévanos-Rojas, A., Barquero-Cabrero, J.D., López-Chavarría, S., Medina-Elizondo, M. and Luévanos-Soto, I. (2022). A New Model for the Complete Design of Circular Isolated Footings Considering that the Contact Surface Works Partially under Compression. International Journal of Innovative Computing, Information and Control. 18(6):1769-1784. http://www.ijicic.org/ijicic-180607.pdf
Lee, J., Jeong, S. and Lee, J.K. (2015), 3D analytical method for mat foundations considering coupled soil springs. Geomechanics Engineering. 8(6):845-850. https://doi.org/10.12989/gae.2015.8.6.845
Lezgy-Nazargah, M., Mamazizi, A. and Khosravi, H. (2022), Analysis of shallow footings rested on tensionless foundations using a mixed finite element model. Structural Engineering and Mechanics. 81(3):379-394. https://doi.org/10.12989/sem.2022.81.3.379
López-Chavarría, S., Luévanos-Rojas, A. and Medina-Elizondo, M. (2017a), A mathematical model for dimensioning of square isolated footings using optimization techniques: general case. International Journal of Innovative Computing, Information and Control. 13(1):67-74. http://www.ijicic.org/ijicic-130105.pdf
López-Chavarría, S., Luévanos-Rojas, A. and Medina-Elizondo, M. (2017b), Optimal dimensioning for the corner combined footings. Advances in Computational Design. 2(2):169-183. https://doi.org/10.12989/acd.2017.2.2.169
López-Chavarría, S., Luévanos-Rojas, A. and Medina-Elizondo, M. (2017c), A new mathematical model for design of square isolated footings for general case. International Journal of Innovative Computing, Information and Control. 13(4):1149-1168. http://www.ijicic.org/ijicic-130406.pdf
López-Chavarría, S., Luévanos-Rojas, A., Medina-Elizondo, M., Sandoval-Rivas, R. and Velázquez-Santillán, F. (2019), Optimal design for the reinforced concrete circular isolated footings. Advances in Computational Design. 4(3):273-294. https://doi.org/10.12989/acd.2019.4.3.273
Luévanos-Rojas, A. (2012a), A Mathematical Model for Dimensioning of Footings Square. International Review of Civil Engineering. 3(4):346-350.
Luévanos-Rojas, A. (2012b), A Mathematical Model for the Dimensioning of Circular Footings. Far East Journal of Mathematical Sciences. 71(2): 357-367.
Luévanos-Rojas, A. (2013), A Mathematical Model for Dimensioning of Footings Rectangular. ICIC Express Letters Part B: Applications. 4(2):269-274.
Luévanos-Rojas, A., Faudoa-Herrera, J.G., Andrade-Vallejo, R.A. and Cano-Alvarez, M.A. (2013), Design of Isolated Footings of Rectangular Form Using a New Model. International Journal of Innovative Computing, Information and Control. 9(10):4001-4022. http://www.ijicic.org/ijicic-12-10031.pdf
Luévanos-Rojas, A. (2014a), A Comparative Study for Dimensioning of Footings with Respect to the Contact Surface on Soil. International Journal of Innovative Computing, Information and Control. 10(4):1313-1326. http://www.ijicic.org/ijicic-13-08003.pdf
Luévanos-Rojas, A. (2014b), Design of isolated footings of circular form using a new model. Structural Engineering and Mechanics. 52(4):767-786. http://dx.doi.org/10.12989/sem.2014.52.4.767
Luévanos-Rojas, A. (2014c), Design of boundary combined footings of rectangular shape using a new model. DYNA Colombia. 81(188):199-208. https://doi.org/10.15446/dyna.v81n188.41800
Luévanos-Rojas, A. (2015a), A New Approach for Dimensioning of Rectangular Footings Using Optimization Techniques. ICIC Express Letters Part B: Applications. 6(11):3141-3146.
Luévanos-Rojas, A. (2015b), A New Mathematical Model for Dimensioning of the Boundary Trapezoidal Combined Footings. International Journal of Innovative Computing, Information and Control. 11(4):1269-1279. http://www.ijicic.org/ijicic-110411.pdf
Luévanos-Rojas, A. (2015c), A new model for the design of rectangular combined boundary footings with two restricted opposite sides. Revista ALCONPAT. 6(2):172-187. http://dx.doi.org/10.21041/ra.v6i2.137
Luévanos-Rojas, A. (2015d), Design of boundary combined footings of trapezoidal form using a new model. Structural Engineering and Mechanics. 56(5):745-765. https://doi.org/10.12989/sem.2015.56.5.745
Luévanos-Rojas, A. (2016a), A Mathematical Model for the Dimensioning of Combined Footings of Rectangular Shape. Revista Técnica de la Facultad de Ingeniería Universidad del Zulia. 39(1):3-9. https://produccioncientificaluz.org/index.php/tecnica/article/view/21090/20946
Luévanos-Rojas, A. (2016b), Un nuevo modelo para diseño de zapatas combinadas rectangulares de lindero con dos lados opuestos restringidos. Revista ACONPAT. 6(2):173-189. http://dx.doi.org/10.21041/ra.v6i2.137
Luévanos-Rojas, A., López-Chavarría, S. and Medina-Elizondo, M. (2017), Optimal design for rectangular isolated footings using the real soil pressure. Ingeniería e Investigación. 37(2):25-33. http://dx.doi.org/10.15446/ing.investig.v37n2.61447
Luévanos-Rojas, A., López-Chavarría, S. and Medina-Elizondo, M. (2018a), A new model for T-shaped combined footings Part I: Optimal dimensioning. Geomechanics Engineering. 14(1):51-60. https://doi.org/10.12989/gae.2018.14.1.051
Luévanos-Rojas, A., López-Chavarría, S. and Medina-Elizondo, M. (2018b), A new model for T-shaped combined footings Part II: Mathematical model for design. Geomechanics Engineering. 14(1):61-69. https://doi.org/10.12989/gae.2018.14.1.061
Luévanos Rojas, A., López Chavarría, S., Medina Elizondo, M., Sandoval Rivas, R., Farías Montemayor, O. M. (2020), Un modelo analítico para el diseño de zapatas combinadas de esquina. Revista ALCONPAT. 10(3):317-335. https://doi.org/10.21041/ra.v10i3.432
Özmen, G. (2011), Determination of Base Stresses in Rectangular Footings under Biaxial Bending. Teknik Dergi Digest. 22(4):1519-1535. http://www.imo.org.tr/resimler/dosya_ekler/7b559795bd3f63b_ek.pdf?dergi=472
Rawat, S., Mittal, R.K. and Muthukumar, G. (2020), Isolated Rectangular Footings under Biaxial Bending: A Critical Appraisal and Simplified Analysis Methodology. Practice Periodical on Structural Design and Construction. 25(3):04020011. https://doi.org/10.1061/(ASCE)SC.1943-5576.0000471
Rodriguez-Gutierrez, J.A. and Aristizabal-Ochoa, J.D. (2013a), Rigid Spread Footings Resting on Soil Subjected to Axial Load and Biaxial Bending. I: Simplified Analytical Method. International Journal of Geomechanics. 13(2):109-119. https://doi.org/10.1061/(ASCE)GM.1943-5622.0000218
Rodriguez-Gutierrez, J.A. and Aristizabal-Ochoa, J.D. (2013b), Rigid Spread Footings Resting on Soil Subjected to Axial Load and Biaxial Bending. II: Design Aids. International Journal of Geomechanics. 13(2):120-131. https://doi.org/10.1061/(ASCE)GM.1943-5622.0000210
Soto-Garcia, S., Luévanos-Rojas, A., Barquero-Cabrero, J.D., López-Chavarría, S., Medina-Elizondo, M., Farias-Montemayor, O.M. and Martinez-Aguilar, C. (2022). A New Model for the Contact Surface With Soil of Circular Isolated Footings Considering that the Contact Surface Works Partially Under Compression. International Journal of Innovative Computing, Information and Control. 18(4):1103-1116. http://www.ijicic.org/ijicic-180406.pdf
Vela-Moreno, V.B., Luévanos-Rojas, A., López-Chavarría, S., Medina-Elizondo, M., Sandoval-Rivas, R. and Martinez-Aguilar, C. (2022), Optimal area for rectangular isolated footings considering that contact surface works partially to compression. Structural Engineering and Mechanics. 84(4):561-573. https://doi.org/10.12989/sem.2022.84.4.561
Velázquez-Santillán, F., Luévanos-Rojas, A., López-Chavarría, S., Medina-Elizondo, M. and Sandoval-Rivas, R. (2018), Numerical experimentation for the optimal design for reinforced concrete rectangular combined footings. Advances in Computational Design. 3(1):49-69. https://doi.org/10.12989/acd.2018.3.1.049
Yáñez-Palafox, J.A., Luévanos-Rojas, A., López-Chavarría, S. and Medina-Elizondo, M. (2019), Modeling for the strap combined footings Part II: Mathematical model for design. Steel and Composite Structures. 30(2):109-121. https://doi.org/10.12989/scs.2019.30.2.109