
| Investigación Básica | https://doi.org/10.21041/ra.v13i2.671 |
Nuevo modelo para el diseño completo de zapatas aisladas rectangulares tomando en cuenta que la superficie de contacto funciona parcialmente en compresión
New model for complete design of rectangular isolated footings taking into account that the contact surface works partially in compression
Um novo modelo para o dimensionamento completo de fundações isoladas retangulares levando em consideração que a superfície de contato funciona parcialmente em compressão
A. Luévanos
Rojas1
1 Instituto de Investigaciones Multidisciplinarias, Universidad Autónoma de Coahuila, Torreón, Coahuila, México.
*Contact Author: arnulfol_2007@hotmail.com
Recepción:
21
de
febrero
de
2023.
Aceptación:
20
de
abril
de
2023.
Publicación: 01 de mayo de 2023.
| Citar como:Luévanos Rojas, A. (2023),“Nuevo modelo para el diseño completo de zapatas aisladas rectangulares tomando en cuenta que la superficie de contacto funciona parcialmente en compresión”, Revista ALCONPAT, 13(2), pp. 192 –219, DOI: https://doi.org/10.21041/ra.v13i2.671 |
Resumen
Este documento muestra un nuevo modelo para diseño completo de zapatas aisladas rectangulares bajo flexión uniaxial y biaxial, tomando en cuenta que el área de la zapata en contacto con el suelo funciona parcialmente a compresión. La metodología se presenta por integración para obtener momentos, cortantes por flexión y penetración. Los ejemplos numéricos se presentan para el diseño de zapatas aisladas rectangulares bajo flexión uniaxial y biaxial, y se comparan con el modelo actual (área total funciona en compresión) en términos de volúmenes de concreto y acero. El modelo actual muestra mayores volúmenes de concreto y acero. Por lo tanto, el nuevo modelo es el más adecuado, ya que presenta mejor control de calidad en los recursos utilizados.
Palabras clave:
zapatas aisladas rectangulares,
nuevo modelo para diseño completo,
momentos,
cortante por flexión,
cortante por penetración.
1. IntroducciÓn
El diseño de zapatas poco profundas apoyadas en el suelo depende de las cargas y los momentos proporcionados por las columnas.
La Figura 1 muestra la distribución de la presión del suelo debajo de la zapata rígida que depende del tipo de suelo, y la posición de la fuerza resultante aplicada en el centro de gravedad de la base. La Figura 1(a) presenta una base que descansa sobre suelo arenoso. La Figura 1(b) muestra una base que descansa sobre suelo arcilloso. La Figura 1(c) presenta la distribución uniforme de la presión del suelo utilizada en el diseño de actual.
La capacidad de carga ha sido investigada para las zapatas poco profundas sometidas a la flexión biaxial, que toma en cuenta una distribución lineal de la presión del suelo y esta área de contacto funciona parcialmente en compresión (Irles-Más and Irles-Más, 1992; Özmen, 2011; Rodriguez-Gutierrez and Aristizabal-Ochoa, 2013a, b; Lee et al., 2015; Kaur and Kumar, 2016; Bezmalinovic Colleoni, 2016; Dagdeviren, 2016; Aydogdu, 2016; Girgin, 2017; Turedi et al., 2019; Al-Gahtani and Adekunle, 2019; Galvis and Smith-Pardo, 2020; Rawat et al., 2020; Lezgy-Nazargah et al., 2022; Gör, 2022).
| Fuente: Elaboración propia | ||||
![]() |
||||
| Figura 1. Distribución de la presión debajo de la zapata | ||||
Los modelos matemáticos para el diseño de cimentaciones: para las zapatas aisladas se han desarrollado para formas cuadradas, circulares y rectangulares (Algin, 2000, 2007; Luévanos-Rojas, 2012a, b, 2013, 2014a, 2015a; Luévanos-Rojas et al., 2013, 2014b, 2016b, et al., 2017; Filho et al., 2017; López-Chavarría et al., 2017a, c, 2019; Khajehzadeh et al., 2014); Para zapatas combinadas rectangulares, trapezoidales, de esquina, en forma de T y correa (Jahanandish et al., 2012; Luévanos-Rojas, 2014c, 2015b, c, d, 2016ª, b, et al., 2018a, b, 2020; López-Chavarría et al., 2017b; Velázquez-Santillán et al., 2019; Aguilera-Mancilla et al., 2019; Yáñez-Palafox et al., 2019). Estos trabajos toman en cuenta el área total de contacto que trabaja bajo compresión.
Los modelos más cercanos a este documento son: Soto-García et al. (2022) propusieron un modelo matemático para obtener el área mínima para zapatas aisladas circulares tomando en cuenta que el área de la zapata en contacto con el suelo trabaja parcialmente a compresión, este modelo presenta un caso porque el análisis se desarrolla para el momento resultante. Vela-Moreno et al. (2022) desarrollaron un modelo matemático para encontrar la superficie mínima para zapatas aisladas rectangulares tomando en cuenta que el área de la zapata en contacto con el suelo trabaja parcialmente a compresión, este modelo muestra cinco casos para flexión biaxial, dos para flexión uniaxial (la carga está en el eje X) y otros dos para flexión uniaxial (la carga está en el eje Y). Kim-Sánchez et al. (2022) presentaron un modelo matemático para obtener el espesor y las áreas de acero transversal y longitudinal para zapatas aisladas circulares tomando en cuenta que el área de la zapata en contacto con el suelo trabaja parcialmente a compresión.
Esta investigación presenta un nuevo modelo analítico para obtener un diseño completo (espesores y áreas de acero transversal y longitudinal) para zapatas aisladas rectangulares, tomando en cuenta que el área de la zapata en contacto con el suelo trabaja parcialmente a compresión, este modelo se basa en el área de contacto con el suelo (lados de la zapata) del modelo propuesto por Vela-Moreno et al. (2022). La formulación del nuevo modelo se desarrolla por integración para encontrar los momentos, los cortantes por flexión y los cortantes por penetración bajo los criterios del código (ACI 318S-19). Otros autores presentan las ecuaciones para encontrar el diseño completo de una zapata aislada rectangular, pero consideran la superficie total trabajando a compresión. Los ejemplos numéricos se muestran para encontrar el diseño completo de zapatas aisladas rectangulares bajo carga axial y momentos en una y dos direcciones, y se comparan los resultados con los de otros autores para observar las diferencias. Las áreas de contacto con el suelo presentadas en este documento se basan en el trabajo propuesto por Vela-Moreno et al. (2022). Este modelo tendrá su impacto en la industria de la construcción con menores costos (materiales y mano de obra).
2. Formulacion del nuevo modelo
Una zapata aislada rectangular rígida se deforma en forma plana, es decir, la distribución de la presión del suelo debajo de la zapata se considera lineal.
La ecuación general para cualquier zapata sujeta a flexión biaxial bajo una carga axial factorizada y dos momentos ortogonales factorizados es:

donde: σ u es la presión factorizada que genera el suelo debido a la carga axial factorizada y los momentos factorizados que se aplican en la zapata, P u es la carga axial factorizada, M ux es el momento factorizado en el eje X, M uy es el momento factorizado en el eje Y, h x y h y son los lados de la zapata, x e y son las coordenadas donde se ubica la presión generada por el suelo.
La ecuación de flexión biaxial se puede aplicar cuando la fuerza resultante P u está ubicada dentro del núcleo central (área trabajando completamente en compresión), y cuando la fuerza resultante P u está fuera del núcleo central (área trabajando parcialmente en compresión) no es válida.
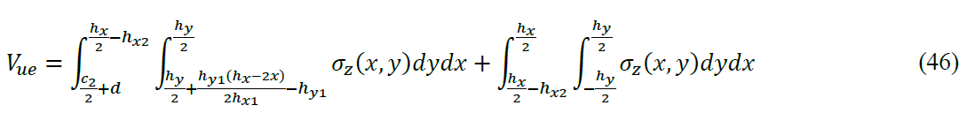
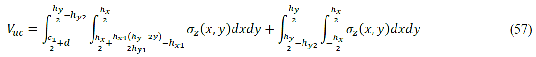
Cuando la fuerza resultante P u está fuera del núcleo central, las ecuaciones generales de la presión del suelo bajo la zapata sujeta a flexión uniaxial y biaxial son:
Flexión uniaxial (P u se ubica sobre el eje Y):

Flexión uniaxial (P u se ubica sobre el eje X):

Flexión biaxial:

donde: σ umax es la presión máxima factorizada generada por el suelo debido a la carga axial factorizada y los momentos factorizados que se aplican en la zapata.
Las secciones críticas para los momentos se ubican en los ejes a-a y b-b, para las secciones críticas para los cortantes por flexión se ubican en los ejes c-c y e-e, y la sección crítica para el cortante por penetración o punzonamiento se presenta en el perímetro formado por los puntos 5, 6, 7 y 8 (ACI 318S-19).
2.1. Zapata aislada rectangular sometida a flexión uniaxial
La Figura 2 muestra los cuatro casos posibles para obtener el área mínima de una zapata aislada rectangular sometida a flexión uniaxial. Dos casos cuando P se ubica en el eje Y: 1) cuando P se ubica dentro del núcleo central; 2) cuando P se encuentra fuera del núcleo central. Dos casos cuando P se ubica en el eje X: 1) cuando P se ubica dentro del núcleo central; 2) cuando P se encuentra fuera del núcleo central.
| Fuente: Elaboración propia a partir de Vela-Moreno et al. (2022) | ||||
![]() |
||||
| Figura 2. Cuatro casos posibles de area mínima para flexión uniaxial | ||||
La Figura 3 muestra las secciones críticas para momentos y cortantes de flexión de cuatro casos posibles: Caso I-Y cuando P se ubica en el eje Y, y dentro del núcleo central. Caso II-Y cuando P se ubica en el eje Y, y fuera del núcleo central: Caso II-YA cuando el eje neutro se ubica h y /2 - h y1 ≥ c 1 /2 (momento) y h y /2 - h y1 ≥ c 1 /2 + d (cortante por flexión); Caso II-YB cuando el eje neutro se localiza h y /2 - h y1 ≤ c 1 /2 (momento) y h y /2 - h y1 ≤ c 1 /2 + d (cortante por flexión). Caso I-X cuando P se localiza en el eje X, y dentro del núcleo central. Caso II-X cuando P se ubica en el eje X, y fuera del núcleo central; Caso II-XA cuando el eje neutro está localizado h x /2 - h x1 ≥ c 2 /2 (momento) y h x /2 - h x1 ≥ c 2 /2 + d (cortante por flexión); Caso II-XB cuando el eje neutro está localizado h x /2 - h x1 ≤ c 2 /2 (momento) y h x /2 - h x1 ≤ c 2 /2 + d (cortante por flexión).
2.1.1. Cortantes por flexión y momentos
Las ecuaciones generales en los ejes “c” y “e” para los cortantes por flexión factorizados “Vuc” y “Vue”, y en los ejes “a” y “b” para los momentos factorizados “Mua” y “Mub” son:
Caso I-Y




donde: d es la peralte efectivo de la zapata, c 1 y c 2 son los lados de la columna.
Nota: la ecuación (1) se sustituye en las ecuaciones (5) a (8) y Muy = 0, y se desarrollan las integrales para obtener las ecuaciones finales.
| Fuente: Elaboración propia | ||||
![]() |
||||
| Figura 3. Momentos y cortantes por flexión para flexión uniaxial | ||||
Caso II-YA
Para h y /2 - h y1 ≥ c 1 /2 + d (cortante por flexión) y h y /2 - h y1 ≥ c 1 /2 (momento) son:




Caso II-YB
Para h y /2 - h y1 ≤ c 1 /2 + d (cortante por flexión) y h y /2 - h y1 ≤ c 1 /2 (momento) son:




Nota: la ecuación (2) se sustituye en las ecuaciones (9) a (16) y se desarrollan las integrales para obtener las ecuaciones finales.
Caso I-X
Las ecuaciones generales en los ejes “c” y “e” para los cortantes por flexión factorizados “Vuc” y “Vue”, y en los ejes “a” y “b” para los momentos factorizados “Mua” y “Mub” son las ecuaciones (5) a (8). Pero en estas ecuaciones se sustituye Mux = 0 y se desarrollan las integrales para obtener las ecuaciones finales.
Caso II-XA
Para h x /2 - h x1 ≥ c 2 /2 + d (cortante por flexión) y h x /2 - h x1 ≥ c 2 /2 (momento) son:




Caso II-XB
Para h x /2 - h x1 ≤ c 2 /2 + d (cortante por flexión) y h x /2 - h x1 ≤ c 2 /2 (momento) son:




Nota: la ecuación (3) se sustituye en las ecuaciones (17) a (24) y se desarrollan las integrales para obtener las ecuaciones finales.
2.1.2. Cortantes por penetración o punzonamiento
La Figura 4 muestra las secciones críticas para cortantes por punzonamiento de cuatro casos posibles: Caso I-Y cuando P se ubica en el eje Y, y dentro del núcleo central. Caso II-Y cuando P se ubica en el eje Y, y fuera del núcleo central: Caso II-YA cuando el eje neutro se ubica hy/2 - hy1 ≥ c1/2 + d/2; Caso II-YB cuando el eje neutro se localiza hy/2 - hy1 ≤ c1/2 + d/2. Caso I-X cuando P se localiza en el eje X, y dentro del núcleo central. Caso II-X cuando P se localiza en el eje X, y fuera del núcleo central: Caso II-XA cuando el eje neutro se localiza hx/2 - hx1 ≥ c2/2 + d/2; Caso II-XB cuando el eje neutro se localiza hx/2 - hx1 ≤ c2/2 + d/2.
La ecuación general para el cortante por punzonamiento factorizado “Vup” es:
Caso I-Y

Nota: la ecuación (1) se sustituye en la ecuación (25) y Muy = 0, y se desarrolla la integral para obtener la ecuación final.
Caso II-YA
Para h y /2 - h y1 ≥ c 1 /2 + d/2 es:

Caso II-YB
Para h y /2 - h y1 ≤ c 1 /2 + d/2 es:

donde: − c 1 /2 − d/2 ≤ y s ≤ c 1 /2 + d/2
Nota: la ecuación (2) se sustituye en la ecuación (27) y se desarrolla la integral para obtener la ecuación final.
Caso I-X
La ecuación (1) se sustituye en la ecuación (25) y Mux = 0 y se desarrolla la integral para obtener la ecuación final.
Caso II-XA
Para h x /2 - h x1 ≥ c 2 /2 + d/2 es la ecuación (26).
Caso II-XB
Para h x /2 - h x1 ≤ c 2 /2 + d/2 es:

donde: − c 2 /2 − d/2 ≤ x s ≤ c 2 /2 + d/2.
Nota: la ecuación (3) se sustituye en la ecuación (28) y se desarrolla la integral para obtener la ecuación final.
| Fuente: Elaboración propia | ||||
![]() |
||||
| Figura 4. Cortantes por punzonamiento para flexión uniaxial | ||||
2.2. Zapata aislada rectangular sometida a flexión biaxial
La Figura 5 muestra los cinco casos posibles para obtener el área mínima de una zapata aislada rectangular sometida a flexión biaxial.
Para el caso I, se considera que la superficie total de la zapata trabaja a compresión. La presión generada por el suelo sobre la zapata se obtiene mediante la ecuación (1) (flexión biaxial).
Para los casos II, III, IV y V, se consideran que la superficie total de la zapata trabaja parcialmente a compresión, es decir, parte de la superficie tiene presión cero. La presión generada por el suelo sobre la zapata se obtiene mediante la ecuación (4).
| Fuente: Elaboración propia a partir de Vela-Moreno et al. (2022) | ||||
![]() |
||||
| Figura 5. Cinco casos posibles de area mínima para flexión biaxial | ||||
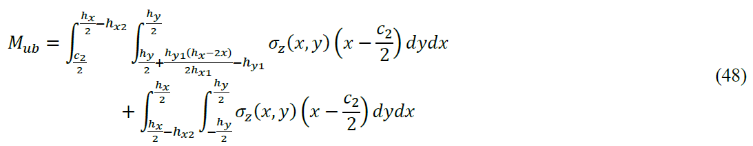
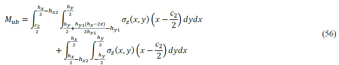
2.2.1. Cortantes por flexión y momentos
La Figura 6 muestra las secciones críticas para momentos y cortantes por flexión para todos los casos posibles.
Las ecuaciones generales en los ejes “c” y “e” para los cortantes por flexión factorizados “Vuc” y “Vue”, en los ejes “a” y “b” para los momentos factorizados “Mua” y “Mub” son:
| Fuente: Elaboración propia | ||||
![]() |
||||
| Figura 6. Momentos y cortantes por flexión para flexión biaxial | ||||
Caso I
Cuando P se ubica dentro del núcleo central.
La ecuación (1) se sustituye en las ecuaciones (5) a (8) y se desarrollan las integrales para obtener las ecuaciones finales.
Caso II
Cuando P se ubica fuera del núcleo central.




Caso III
Cuando P se ubica fuera del núcleo central de dos casos posibles: Caso IIIA cuando el eje neutro se ubica h y /2 - h y2 ≤ c 1 /2 (momento) y h y /2 - h y2 ≤ c 1 /2 + d (cortante por flexión); Caso IIIB cuando el eje neutro se localiza h y /2 - h y2 ≥ c 1 /2 (momento) y h y /2 - h y2 ≥ c 1 /2 + d (cortante por flexión).
Caso IIIA




Caso IIIB




donde: h y2 = h y1 (h x1 - h x )/h x1 .
Caso IV
Cuando P se ubica fuera del núcleo central de dos casos posibles: Caso IVA cuando el eje neutro se ubica h x /2 - h x2 ≤ c 2 /2 (momento) y h x /2 - h x2 ≤ c 2 /2 + d (cortante por flexión); Caso IVB cuando el eje neutro está localizado h x /2 - h x2 ≥ c 2 /2 (momento) y h x /2 - h x2 ≥ c 2 /2 + d (cortante por flexión).
Caso IVA




Caso IVB




donde: h x2 = h x1 (h y1 - h y )/h y1 .
Caso V
Cuando P se ubica fuera del núcleo central de cuatro casos posibles: Caso VA cuando el eje neutro se ubica h y /2 - h y2 ≤ c 1 /2 + d y h x /2 - h x2 ≤ c 2 /2 + d (cortante por flexión), y h y /2 - h y2 ≤ c 1 /2 y h x /2 - h x2 ≤ c 2 /2 (momento); Caso VB cuando el eje neutro está localizado h y /2 - h y2 ≤ c 1 /2 + d y h x /2 - h x2 ≥ c 2 /2 + d (cortante por flexión), y h y /2 - h y2 ≤ c 1 /2 y h x /2 - h x2 ≥ c 2 /2 (momento); Caso VC cuando el eje neutro está localizado h y /2 - h y2 ≥ c 1 /2 + d y h x /2 - h x2 ≤ c 2 /2 + d (cortante por flexión), y h y /2 - h y2 ≥ c 1 /2 y h x /2 - h x2 ≤ c 2 /2 (momento); Caso VD cuando el eje neutro está localizado h y /2 - h y2 ≥ c 1 /2 + d y h x /2 - h x2 ≥ c 2 /2 + d (cortante por flexión) y h y /2 - h y2 ≥ c 1 /2 y h x /2 - h x2 ≥ c 2 /2 (momento).
Caso VA




Caso VB




Caso VC




Caso VD




Nota: la ecuación (4) se sustituye en las ecuaciones (29) a (64) y se desarrollan las integrales para obtener las ecuaciones finales.
2.2.2. Cortantes por penetración o punzonamiento
La Figura 7 muestra las secciones críticas por punzonamiento de seis posibles casos (Perímetro crítico formado por los puntos 5, 6, 7 y 8).
Para el caso I se considera que la superficie total de la zapata trabaja a compresión. La presión generada por el suelo sobre la zapata se obtiene mediante la ecuación (1) (flexión biaxial).
Para los casos II, III, IV, V y VI se consideran que la superficie total de la zapata trabaja parcialmente a compresión, es decir, parte de la superficie tiene presión cero. La presión generada por el suelo sobre la zapata se obtiene mediante la ecuación (4).
| Fuente: Elaboración propia | ||||
![]() |
||||
| Figura 7. Cortantes por punzonamiento para flexión biaxial | ||||
La ecuación general para el cortante por punzonamiento factorizado “Vup” es:
Caso I
La ecuación (1) se sustituye en la ecuación (25) y se desarrolla la integral para obtener la ecuación final.
Caso II
El eje neutro no alcanza el perímetro de la sección crítica, por lo tanto, es la ecuación (26).
Caso III

donde: y p = h y /2 - h y1 (c 2 + d - h x )/2h x1 - h y1 (Si el eje neutro cruza el perímetro crítico por el lado formado por los puntos 5 y 8) y y p = - c 1 /2 - d/2 (Si el eje neutro cruza el perímetro crítico por el lado formado por los puntos 7 y 8).
Caso IV

donde: y p1 = h y /2 + h y1 (c 2 + d + h x )/2h x1 - h y1 .
Caso V

donde: x p1 = h x /2 - h x1 (c 1 + d - h y )/2h y1 - h x1 y y p1 = h y /2 + h y1 (c 2 + d + h x )/2h x1 - h y1 .
Caso VI

donde: x p1 = h x /2 - h x1 (c 1 + d - h y )/2h y1 - h x1 y y p1 = h y /2 + h y1 (c 2 + d + h x )/2h x1 - h y1 .
Nota: La ecuación (4) se sustituye en las ecuaciones (65) a (68) y se desarrolla la integral para obtener las ecuaciones finales.
3. Resultados
En este apartado se describe la aplicación del nuevo modelo presentado en este documento, utilizando los mismos ejemplos para obtener el área mínima y los lados de una zapata aislada rectangular propuesta por Vela-Moreno et al., (2022).
En las Tablas 1 y 2 se presentan los cuatro casos para obtener el diseño completo de las zapatas aisladas rectangulares sometidas a flexión uniaxial. Dos casos cuando la carga axial se encuentra sobre el eje Y: Caso I-Y, cuando toda el área de contacto trabaja a compresión; Caso II-Y, cuando el área de contacto trabaja parcialmente en compresión. Dos casos cuando la carga axial se encuentra sobre el eje X: Caso I-X, cuando toda el área de contacto trabaja a compresión; Caso II-X, cuando el área de contacto trabaja parcialmente en compresión.
La Tabla 1 muestra los resultados para c1 y c2 = 0.40 m, Pu = 720 kN, Mux = 360, 720, 1440, 2160 kN-m, Muy = 0 kN-m y σumax = 250 kN/m2.
El procedimiento utilizado es el siguiente:
Para el caso I-Y: Sustituyendo Pu, Mux, Muy = 0, hx, hy en la ecuación (1), y posteriormente se sustituye la ecuación (1), hx, hy, c1, c2 y d en las ecuaciones (5) a (8) y (25).
Para el caso II-Y: Sustituyendo σumax, hy, hy1 en la ecuación (2), y posteriormente se sustituye la ecuación (2), hx, hy, hy1, c1, c2 y d en las ecuaciones (9) a (12) o (13) a (16), y (26) o (27) según sea el caso.
El valor de d se fija por las ecuaciones propuestas por (ACI 318S-19).
| Tabla 1. Diseño completo de la zapata cuando la carga axial se encuentra en el eje Y. | |||||||||||||||||||
| Caso | Mux kN-m | hx m | hy m | d cm | Mua kN-m | Mub kN-m | Vuc kN | Vue kN | Vup kN | Asmy cm2 | Asminy cm2 | Aspy cm2 | Asmx cm2 | Asminx cm2 | Aspx cm2 | ||||
|---|---|---|---|---|---|---|---|---|---|---|---|---|---|---|---|---|---|---|---|
| I-Y | 360 | 1.00 | 3.65 | 52.00 | 410.97 | 32.40 | 342.89 | * | 553.04 | 22.00 | 17.32 | 22.8 | 1.65 | 63.20 | 65.55 | ||||
| (8Ø3/4”) | (23Ø3/4”) | ||||||||||||||||||
| II-Y | 1.33 | 3.00 | 32.00 | 240.38 | 40.54 | 272.63 | 54.38 | 655.20 | 21.10 | 14.17 | 22.8 | 3.37 | 31.97 | 34.2 | |||||
| (8Ø3/4”) | (12Ø3/4”) | ||||||||||||||||||
| I-Y | 720 | 1.00 | 6.00 | 67.00 | 794.45 | 32.40 | 420.46 | * | 582.61 | 33.32 | 22.31 | 34.2 | 1.28 | 133.87 | 136.89 | ||||
| (12Ø3/4”) | (27Ø1”) | ||||||||||||||||||
| II-Y | 1.00 | 4.67 | 52.00 | 468.41 | 22.50 | 322.24 | * | 631.92 | 25.28 | 17.32 | 25.65 | 1.15 | 80.87 | 81.12 | |||||
| (9Ø3/4”) | (16Ø1”) | ||||||||||||||||||
| I-Y | 1440 | 2.00 | 12.00 | 42.00 | 1693.21 | 115.20 | 500.88 | 136.80 | 699.83 | 130.51 | 27.97 | 131.82 | 7.27 | 167.83 | 172.38 | ||||
| (26Ø1”) | (34Ø1”) | ||||||||||||||||||
| II-Y | 2.00 | 5.33 | 42.00 | 894.98 | 80.00 | 499.75 | 95.00 | 720.00 | 61.71 | 27.97 | 65.91 | 5.05 | 74.55 | 76.95 | |||||
| (13Ø1”) | (27Ø3/4”) | ||||||||||||||||||
| I-Y | 2160 | 2.00 | 18.00 | 52.00 | 2592.81 | 115.20 | 510.05 | 100.80 | 703.07 | 161.36 | 34.63 | 162.24 | 5.87 | 311.69 | 314.34 | ||||
| (32Ø1”) | (62Ø1”) | ||||||||||||||||||
| II-Y | 2.00 | 7.33 | 37.00 | 1268.16 | 80.00 | 350.12 | 107.50 | 720.00 | 109.86 | 24.64 | 111.54 | 5.73 | 90.31 | 91.2 | |||||
| (22Ø1”) | (32Ø3/4”) | ||||||||||||||||||
| donde: Asmy y Asmx son las áreas de acero generadas por los momentos en los ejes a (dirección Y) y b (dirección X), Asminy y Asminx son las áreas de acero mínimas en ambas direcciones, Aspy y Aspx son las áreas de acero propuestas en las direcciones Y y X (ACI 318S-19). * El eje se ubica fuera del área de la zapata. |
|||||||||||||||||||
La Tabla 2 muestra los resultados para c1 y c2 = 0.40 m, Pu = 720 kN, Mux = 0 kN-m, Muy = 360, 720, 1440, 2160 kN-m y σumax = 250 kN/m2 (mismo procedimiento utilizado en la Tabla 1, pero con las ecuaciones correspondientes).
| Tabla 2. Diseño completo de la zapata cuando la carga axial se encuentra en el eje X. | |||||||||||||||||||
| Caso | Mux kN-m | hx m | hy m | d cm | Mua kN-m | Mub kN-m | Vuc kN | Vue kN | Vup kN | Asmy cm2 | Asminy cm2 | Aspy cm2 | Asmx cm2 | Asminx cm2 | Aspx cm2 | ||||
|---|---|---|---|---|---|---|---|---|---|---|---|---|---|---|---|---|---|---|---|
| I-X | 360 | 3.65 | 1.00 | 52.00 | 32.40 | 410.97 | * | 342.89 | 553.04 | 1.65 | 63.20 | 65.55 | 22.00 | 17.32 | 22.8 | ||||
| (23Ø3/4”) | (8Ø3/4”) | ||||||||||||||||||
| II-X | 3.00 | 1.33 | 32.00 | 40.54 | 240.38 | 54.38 | 272.63 | 655.20 | 3.37 | 31.97 | 34.2 | 21.10 | 14.17 | 22.8 | |||||
| (12Ø3/4”) | (8Ø3/4”) | ||||||||||||||||||
| I-X | 720 | 6.00 | 1.00 | 67.00 | 32.40 | 794.45 | * | 420.46 | 582.61 | 1.28 | 133.87 | 136.89 | 33.32 | 22.31 | 34.2 | ||||
| (27Ø1”) | (12Ø3/4”) | ||||||||||||||||||
| II-X | 4.67 | 1.00 | 52.00 | 22.50 | 468.41 | * | 322.24 | 631.92 | 1.15 | 80.87 | 81.12 | 25.28 | 17.32 | 25.65 | |||||
| (16Ø1”) | (9Ø3/4”) | ||||||||||||||||||
| I-X | 1440 | 12.00 | 2.00 | 42.00 | 115.20 | 1693.21 | 136.80 | 500.88 | 699.83 | 7.27 | 167.83 | 172.38 | 130.51 | 27.97 | 131.82 | ||||
| (34Ø1”) | (26Ø1”) | ||||||||||||||||||
| II-X | 5.33 | 2.00 | 42.00 | 80.00 | 894.98 | 95.00 | 499.75 | 720.00 | 5.05 | 74.55 | 76.95 | 61.71 | 27.97 | 65.91 | |||||
| (27Ø3/4”) | (13Ø1”) | ||||||||||||||||||
| I-X | 2160 | 18.00 | 2.00 | 52.00 | 115.20 | 2592.81 | 100.80 | 510.05 | 703.07 | 5.87 | 311.69 | 314.34 | 161.36 | 34.63 | 162.24 | ||||
| (62Ø1”) | (32Ø1”) | ||||||||||||||||||
| II-X | 7.33 | 2.00 | 37.00 | 80.00 | 1268.16 | 107.50 | 350.12 | 720.00 | 5.73 | 90.31 | 91.2 | 109.86 | 24.64 | 111.54 | |||||
| (32Ø3/4”) | (22Ø1”) | ||||||||||||||||||
| (Fuente: Elaboración propia) | |||||||||||||||||||
Las Tablas 1 y 2 presentan el diseño completo de las zapatas aisladas rectangulares sometidas a flexión uniaxial.
La Tabla 1 muestra lo siguiente: El peralte efectivo se rige por el cortante por flexión en el eje c para los dos casos (Mux = 360, 720, 1440 kN-m), y por el momento en el eje a para los dos casos (Mux = 2160 kN-m). El peralte efectivo menor se presenta en el caso II-Y para Mux = 360, 720, 2160 kN-m, y para Mux = 1440 kN-m el peralte efectivo es el mismo en el caso I-Y y II-Y. El área de acero propuesta más pequeña aparece en el caso II-Y para los dos casos en ambas direcciones excepto en Mux = 360 kN-m que son iguales en el caso I-Y y II-Y en la dirección Y.
En la Tabla 2 se presenta lo siguiente: El peralte efectivo se rige por el cortante por flexión en el eje e para los dos casos (Muy = 360, 720, 1440 kN-m), y por el momento en el eje b para los dos casos (Muy = 2160 kN-m). El peralte efectivo menor se presenta en el caso II-X para Muy = 360, 720, 2160 kN-m, y para Muy = 1440 kN-m el peralte efectivo es el mismo en el caso I-X y II-X. El área de acero propuesta más pequeña aparece en el caso II-X para los dos casos en ambas direcciones excepto en Muy = 360 kN-m que son iguales en el caso I-X y II-X en la dirección X.
Las Tablas 3, 4, 5, 6 presentan el diseño completo de las zapatas aisladas rectangulares sometidas a flexión biaxial.
Las Tablas 3, 4, 5, 6 presentan los dos casos para obtener el diseño completo de las zapatas aisladas rectangulares sometidas a flexión biaxial, un caso cuando toda el área de contacto trabaja a compresión (Caso I), y otro caso cuando el área de contacto trabaja parcialmente a compresión (la menor área de los casos II, III, IV y V).
El procedimiento utilizado para las Tablas 3, 4, 5, 6 es el siguiente:
Para el caso I: Sustituyendo Pu, Mux, Muy, hx, hy en la ecuación (1), y posteriormente se sustituye la ecuación (1), hx, hy, c1, c2 y d en las ecuaciones (5) a (8) y (25).
Para los casos II, III, IV y V: Sustituyendo σumax, hx, hx1, hy, hy1 en la ecuación (4), y posteriormente se sustituye la ecuación (4), hx, hx1, hy, hy1, c1, c2 y d en las ecuaciones (29) a (32) (caso II), en las ecuaciones (33) a (36) (caso IIIA), en las ecuaciones (37) a (40) (caso IIIB), en las ecuaciones (41) a (44) (caso IVA), en las ecuaciones (45) a (48) (caso IVB), en las ecuaciones (49) a (52) (caso VA), en las ecuaciones (53) a (56) (caso VB), en las ecuaciones (57) a (60) (caso VC), en las ecuaciones (61) a (64) (caso VD), y (26), (65) a (68) según sea el caso.
La Tabla 3 muestra los resultados para c1 y c2 = 0.40 m, Pu = 720 kN, Mux = 360, 720, 1440, 2160 kN-m, Muy = 360 kN-m y σumax = 250 kN/m2. El área más pequeña aparece en el caso V para Mux = 360 y 720 kN-m, y en el caso II para Mux = 1440 y 2160 kN-m.
| Tabla 3. Diseño completo de la zapata para Muy = 360 kN-m. | |||||||||||||||||||
| Caso | Mux kN-m | hx m | hy m | d cm | Mua kN-m | Mub kN-m | Vuc kN | Vue kN | Vup kN | Asmy cm2 | Asminy cm2 | Aspy cm2 | Asmx cm2 | Asminx cm2 | Aspx cm2 | ||||
|---|---|---|---|---|---|---|---|---|---|---|---|---|---|---|---|---|---|---|---|
| I | 360 | 6.00 | 6.00 | 27.00 | 632.43 | 632.43 | 391.39 | 391.39 | 711.02 | 65.04 | 53.95 | 65.55 | 65.04 | 53.95 | 65.55 | ||||
| (23Ø3/4”) | (23Ø3/4”) | ||||||||||||||||||
| V | 2.72 | 2.72 | 22.00 | 229.25 | 229.25 | 305.04 | 305.04 | 698.58 | 29.25 | 19.93 | 31.35 | 29.25 | 19.93 | 31.35 | |||||
| (11Ø3/4”) | (11Ø3/4”) | ||||||||||||||||||
| I | 720 | 6.00 | 12.00 | 27.00 | 1351.21 | 632.43 | 421.25 | 391.39 | 715.51 | 148.38 | 53.95 | 152.1 | 63.43 | 107.89 | 111.54 | ||||
| (30Ø1”) | (22Ø1”) | ||||||||||||||||||
| V | 2.22 | 4.45 | 27.00 | 472.00 | 196.31 | 367.54 | 298.13 | 709.58 | 51.44 | 19.93 | 55.77 | 19.61 | 40.01 | 42.75 | |||||
| (11Ø1”) | (15Ø3/4”) | ||||||||||||||||||
| I | 1440 | 6.00 | 24.00 | 32.00 | 2790.60 | 632.43 | 434.23 | 384.90 | 717.41 | 278.09 | 63.94 | 278.85 | 52.71 | 255.74 | 258.57 | ||||
| (55Ø1”) | (51Ø1”) | ||||||||||||||||||
| II | 1.87 | 7.46 | 37.00 | 948.06 | 174.75 | 419.11 | 254.16 | 720.00 | 78.18 | 23.04 | 79.8 | 12.56 | 91.91 | 94.05 | |||||
| (16Ø1”) | (33Ø3/4”) | ||||||||||||||||||
| I | 2160 | 6.00 | 36.00 | 42.00 | 4230.40 | 632.43 | 437.49 | 371.76 | 717.76 | 311.87 | 83.92 | 314.34 | 39.96 | 503.50 | 507 | ||||
| (62Ø1”) | (100Ø1”) | ||||||||||||||||||
| II | 1.71 | 10.24 | 42.00 | 1428.46 | 165.34 | 447.01 | 210.14 | 720.00 | 109.68 | 23.02 | 111.54 | 10.44 | 143.22 | 145.35 | |||||
| (22Ø1”) | (51Ø3/4”) | ||||||||||||||||||
| (Fuente: Elaboración propia) | |||||||||||||||||||
La Tabla 3 muestra lo siguiente: El peralte efectivo se rige por el cortante por punzonamiento para los dos casos (Mux = 360, 720 kN-m), y por el momento en el eje a para los dos casos (Mux = 1440, 2160 kN-m). El peralte efectivo más pequeño ocurre en el caso V para Mux = 360 kN-m, el peralte efectivo más pequeño ocurre en el caso I para Mux = 1440 kN-m, y para Mux = 720, 2160 kN-m el peralte efectivo es el mismo en ambos casos. El área de acero propuesta más grande aparece en el caso I para los dos casos en ambas direcciones.
La Tabla 4 muestra los resultados para c1 y c2 = 0.40 m, Pu = 720 kN, Mux = 360, 720, 1440, 2160 kN-m, Muy = 720 kN-m y σumax = 250 kN/m2. El área más pequeña aparece en el caso V para Mux = 360 kN-m, y en el caso II para Mux = 720, 1440 y 2160 kN-m.
| Tabla 4. Diseño completo de la zapata para Muy = 720 kN-m. | |||||||||||||||||||
| Caso | Mux kN-m | hx m | hy m | d cm | Mua kN-m | Mub kN-m | Vuc kN | Vue kN | Vup kN | Asmy cm2 | Asminy cm2 | Aspy cm2 | Asmx cm2 | Asminx cm2 | Aspx cm2 | ||||
|---|---|---|---|---|---|---|---|---|---|---|---|---|---|---|---|---|---|---|---|
| I | 360 | 12.00 | 6.00 | 27.00 | 632.43 | 1351.21 | 391.39 | 421.25 | 715.51 | 63.43 | 107.89 | 111.54 | 148.38 | 53.95 | 152.10 | ||||
| (22Ø1”) | (30Ø1”) | ||||||||||||||||||
| V | 4.45 | 2.22 | 27.00 | 196.31 | 472.00 | 298.13 | 367.54 | 709.58 | 19.61 | 40.10 | 42.75 | 51.44 | 19.96 | 54.15 | |||||
| (15Ø3/4”) | (19Ø3/4”) | ||||||||||||||||||
| I | 720 | 12.00 | 12.00 | 27.00 | 1351.21 | 1351.21 | 421.25 | 421.25 | 717.76 | 139.46 | 107.89 | 141.96 | 139.46 | 107.89 | 141.96 | ||||
| (28Ø1”) | (28Ø1”) | ||||||||||||||||||
| II | 3.73 | 3.73 | 27.00 | 430.31 | 430.31 | 392.78 | 392.78 | 720.00 | 44.47 | 33.54 | 45.63 | 44.47 | 33.54 | 45.63 | |||||
| (9Ø1”) | (9Ø1”) | ||||||||||||||||||
| I | 1440 | 12.00 | 24.00 | 27.00 | 2790.60 | 1351.21 | 435.76 | 421.25 | 718.88 | 307.84 | 107.89 | 309.27 | 135.74 | 215.78 | 218.01 | ||||
| (61Ø1”) | (51Ø1”) | ||||||||||||||||||
| II | 3.22 | 6.45 | 27.00 | 913.51 | 408.86 | 458.25 | 423.74 | 720.00 | 104.20 | 28.95 | 106.47 | 41.21 | 57.99 | 59.85 | |||||
| (21Ø1”) | (21Ø3/4”) | ||||||||||||||||||
| I | 2160 | 12.00 | 36.00 | 27.00 | 4230.40 | 1351.21 | 440.54 | 421.25 | 719.25 | 508.33 | 107.89 | 512.07 | 134.59 | 323.68 | 324.48 | ||||
| (101Ø1”) | (64Ø1”) | ||||||||||||||||||
| II | 3.00 | 9.00 | 32.00 | 1404.83 | 403.75 | 480.92 | 433.67 | 720.00 | 140.24 | 31.97 | 141.96 | 33.85 | 95.90 | 96.90 | |||||
| (28Ø1”) | (34Ø3/4”) | ||||||||||||||||||
| (Fuente: Elaboración propia) | |||||||||||||||||||
La Tabla 5 muestra los resultados para c1 y c2 = 0.40 m, Pu = 720 kN, Mux = 360, 720, 1440, 2160 kN-m, Muy = 1440 kN-m y σumax = 250 kN/m2. El área más pequeña aparece en el caso II para Mux = 360, 720, 1440 y 2160 kN-m.
| Tabla 5. Diseño completo de la zapata para Muy = 1440 kN-m. | |||||||||||||||||||
| Caso | Mux kN-m | hx m | hy m | d cm | Mua kN-m | Mub kN-m | Vuc kN | Vue kN | Vup kN | Asmy cm2 | Asminy cm2 | Aspy cm2 | Asmx cm2 | Asminx cm2 | Aspx cm2 | ||||
|---|---|---|---|---|---|---|---|---|---|---|---|---|---|---|---|---|---|---|---|
| I | 360 | 24.00 | 6.00 | 32.00 | 632.43 | 2790.60 | 384.90 | 434.23 | 717.41 | 52.71 | 255.74 | 258.57 | 278.09 | 63.94 | 278.85 | ||||
| (51Ø1”) | (55Ø1”) | ||||||||||||||||||
| II | 7.46 | 1.87 | 37.00 | 174.75 | 948.06 | 254.16 | 419.11 | 720.00 | 12.56 | 91.91 | 94.05 | 78.18 | 23.04 | 79.80 | |||||
| (33Ø3/4”) | (16Ø1”) | ||||||||||||||||||
| I | 720 | 24.00 | 12.00 | 27.00 | 1351.21 | 2790.60 | 421.25 | 435.76 | 718.88 | 135.74 | 215.78 | 218.01 | 307.84 | 107.89 | 309.27 | ||||
| (51Ø1”) | (61Ø1”) | ||||||||||||||||||
| II | 6.45 | 3.22 | 27.00 | 408.86 | 913.51 | 423.74 | 458.25 | 720.00 | 41.21 | 57.99 | 59.85 | 104.20 | 28.95 | 106.47 | |||||
| (21Ø3/4”) | (21Ø1”) | ||||||||||||||||||
| I | 1440 | 24.00 | 24.00 | 27.00 | 2790.60 | 2790.60 | 435.76 | 435.76 | 719.44 | 288.54 | 215.78 | 288.99 | 288.54 | 215.78 | 288.99 | ||||
| (57Ø1”) | (57Ø1”) | ||||||||||||||||||
| II | 5.73 | 5.73 | 27.00 | 899.07 | 899.07 | 484.27 | 484.27 | 720.00 | 94.95 | 51.52 | 96.33 | 94.95 | 51.52 | 96.33 | |||||
| (19Ø1”) | (19Ø1”) | ||||||||||||||||||
| I | 2160 | 24.00 | 36.00 | 27.00 | 4230.40 | 2790.60 | 440.54 | 435.76 | 719.63 | 451.51 | 215.78 | 456.30 | 283.13 | 323.68 | 324.48 | ||||
| (90Ø1”) | (64Ø1”) | ||||||||||||||||||
| II | 5.41 | 8.12 | 32.00 | 1399.94 | 898.75 | 498.17 | 495.32 | 720.00 | 157.03 | 48.64 | 157.17 | 92.67 | 73.01 | 94.05 | |||||
| (31Ø1”) | (33Ø3/4”) | ||||||||||||||||||
| (Fuente: Elaboración propia) | |||||||||||||||||||
La Tabla 4 muestra lo siguiente: El peralte efectivo se rige por el cortante por punzonamiento para los dos casos (Mux = 360, 720, 1440 kN-m), y por el momento en el eje a para los dos casos (Mux = 2160 kN-m). El peralte efectivo menor ocurre en el caso I para Mux = 2160 kN-m, y para Mux = 360, 720, 1440 kN-m el peralte efectivo es el mismo en ambos casos. El área de acero propuesta más grande aparece en el caso I para los dos casos en ambas direcciones.
La Tabla 5 muestra lo siguiente: El peralte efectivo se rige por el cortante por punzonamiento para los dos casos (Mux = 720, 1440, 2160 kN-m), y por el momento en el eje a para los dos casos (Mux = 360 kN-m). El peralte efectivo menor ocurre en el caso I para Mux = 360 kN-m, y para Mux = 720, 1440, 2160 kN-m el peralte efectivo es el mismo en ambos casos. El área de acero propuesta más grande aparece en el caso I para los dos casos en ambas direcciones.
La Tabla 6 muestra los resultados para c1 y c2 = 0.40 m, Pu = 720 kN, Mux = 360, 720, 1440, 2160 kN-m, Muy = 2160 kN-m y σumax = 250 kN/m2. El área más pequeña aparece en el caso II para Mux = 360, 720, 1440 y 2160 kN-m.
| Tabla 6. Diseño completo de la zapata para Muy = 2160 kN-m. | |||||||||||||||||||
| Caso | Mux kN-m | hx m | hy m | d cm | Mua kN-m | Mub kN-m | Vuc kN | Vue kN | Vup kN | Asmy cm2 | Asminy cm2 | Aspy cm2 | Asmx cm2 | Asminx cm2 | Aspx cm2 | ||||
|---|---|---|---|---|---|---|---|---|---|---|---|---|---|---|---|---|---|---|---|
| I | 360 | 36.00 | 6.00 | 42.00 | 632.43 | 4230.40 | 371.76 | 437.49 | 717.76 | 39.96 | 503.50 | 507.00 | 311.87 | 83.92 | 314.34 | ||||
| (100Ø1”) | (62Ø1”) | ||||||||||||||||||
| II | 10.24 | 1.71 | 42.00 | 165.34 | 1428.46 | 210.14 | 447.01 | 720.00 | 10.44 | 143.22 | 145.35 | 109.68 | 23.92 | 111.54 | |||||
| (51Ø3/4”) | (22Ø1”) | ||||||||||||||||||
| I | 720 | 36.00 | 12.00 | 27.00 | 1351.21 | 4230.40 | 421.25 | 440.54 | 719.63 | 134.59 | 323.68 | 324.48 | 307.84 | 107.89 | 309.27 | ||||
| (64Ø1”) | (61Ø1”) | ||||||||||||||||||
| II | 9.00 | 3.00 | 32.00 | 403.75 | 1404.83 | 433.67 | 480.92 | 720.00 | 33.85 | 95.90 | 96.90 | 140.24 | 31.97 | 141.96 | |||||
| (34Ø3/4”) | (28Ø1”) | ||||||||||||||||||
| I | 1440 | 36.00 | 24.00 | 27.00 | 2790.60 | 4230.40 | 435.76 | 440.54 | 719.44 | 283.13 | 323.68 | 324.48 | 451.51 | 215.78 | 456.30 | ||||
| (64Ø1”) | (90Ø1”) | ||||||||||||||||||
| II | 8.12 | 5.41 | 27.00 | 898.75 | 1399.94 | 495.32 | 498.17 | 720.00 | 92.67 | 73.01 | 94.05 | 157.03 | 48.64 | 157.17 | |||||
| (33Ø3/4”) | (31Ø1”) | ||||||||||||||||||
| I | 2160 | 36.00 | 36.00 | 27.00 | 4230.40 | 4230.40 | 440.54 | 440.54 | 719.75 | 437.69 | 323.68 | 441.09 | 437.69 | 323.68 | 441.09 | ||||
| (87Ø1”) | (87Ø1”) | ||||||||||||||||||
| II | 7.73 | 7.73 | 32.00 | 1396.69 | 1396.69 | 498.81 | 498.81 | 720.00 | 149.44 | 69.50 | 152.10 | 149.44 | 69.50 | 152.10 | |||||
| (30Ø1”) | (30Ø1”) | ||||||||||||||||||
| (Fuente: Elaboración propia) | |||||||||||||||||||
La Tabla 6 muestra lo siguiente: El peralte efectivo se rige por el cortante por punzonamiento para los dos casos (Mux = 1440, 2160 kN-m), y por el momento en el eje a para los dos casos (Mux = 360, 720 kN-m). El peralte efectivo menor ocurre en el caso I para Mux = 720 kN-m, y para Mux = 360, 1440, 2160 kN-m el peralte efectivo es el mismo en ambos casos. El área de acero propuesta más grande aparece en el caso I para los dos casos en ambas direcciones.
La Figura 8 muestra la comparación para la flexión uniaxial (carga axial sobre el eje Y) del modelo actual (Caso I-Y) y el nuevo modelo (Caso II-Y) en términos de volumen de concreto y acero de los ejemplos considerados.
La Figura 8 muestra lo siguiente: El nuevo modelo presenta menores volúmenes de concreto y acero en todos los casos que el modelo actual. La diferencia más pequeña en los volúmenes de concreto y acero ocurre en Mux = 360 kN-m de 1.37 veces para concreto y 1.31 veces para acero. La mayor diferencia de volúmenes de concreto y acero se da en Mux = 2160 kN-m de 3.27 veces para concreto y 3.55 veces para acero.
La Figura 9 muestra la comparación para la flexión uniaxial (carga axial sobre el eje X) del modelo actual (Caso I-X) y el nuevo modelo (Caso II-X) en términos de volumen de concreto y acero de los ejemplos considerados.
La Figura 9 muestra lo siguiente: El nuevo modelo presenta menores volúmenes de concreto y acero en todos los casos que el modelo actual. La diferencia más pequeña en los volúmenes de concreto y acero ocurre en Muy = 360 kN-m de 1.37 veces para concreto y 1.31 veces para acero. La mayor diferencia de volúmenes de concreto y acero se da en Muy = 2160 kN-m de 3.27 veces para concreto y 3.55 veces para acero.
| Fuente: Elaboración propia | ||||
![]() |
||||
| Figura 8. Comparación para flexión uniaxial (Muy = 0) | ||||
| Fuente: Elaboración propia | ||||
![]() |
||||
| Figura 9. Comparación para flexión uniaxial (Mux = 0) | ||||
La Figura 10 muestra la comparación para la flexión biaxial del modelo actual (Caso I) y el nuevo modelo (Caso II o V) en términos de volumen de concreto y acero de los ejemplos considerados.
La Figura 10 muestra lo siguiente:
El nuevo modelo presenta menores volúmenes de concreto y acero en todos los casos que el modelo actual.
Las diferencias más pequeñas se presentan en Mux = 360 kN-m para todos los casos en los volúmenes de concreto y acero de 5.68 veces para concreto y 4.61 veces para acero (Muy = 360 kN-m), 7.28 veces para concreto y 7.43 veces para acero (Muy = 720 kN-m), 9.17 veces para concreto y 10.69 veces para acero (Muy = 1440 kN-m), 12.33 veces para concreto y 10.32 veces para acero (Muy = 2160 kN-m).
Las diferencias más grandes se presentan en Mux = 2160 kN-m para todos los casos en los volúmenes de concreto y acero de 12.33 veces para concreto y 10.32 veces para acero (Muy = 360 kN-m), 14.00 veces para concreto y 14.24 veces para acero (Muy = 720 kN-m), 19.66 veces para concreto y 13.57 veces para acero (Muy = 1440 kN-m), 21.69 veces para concreto y 13.51 veces para acero (Muy = 2160 kN-m).
| Fuente: Elaboración propia | ||||
![]() |
||||
| Figura 10. Comparación para flexión biaxial | ||||
4. Conclusiones
Este trabajo presenta un nuevo modelo matemático de diseño completo para obtener los espesores y áreas del acero transversal y longitudinal para zapatas aisladas rectangulares sometidas a flexión uniaxial y biaxial apoyadas sobre suelos elásticos, que considera la superficie total trabajando parcialmente a compresión y se asume que la distribución de la presión sobre el suelo es lineal.
Las principales contribuciones de este trabajo para estos ejemplos son:
1.- Este trabajo muestra una reducción significativa en los volúmenes de concreto y acero respecto al modelo actual, si la superficie de contacto con el suelo trabaja parcialmente a compresión.
2.- Este trabajo muestra una reducción significativa en el volumen de excavación respecto al modelo actual, debido a que el nuevo modelo ocupa menos volumen.
3.- Los espesores para ambos modelos se rigen por momentos y cortantes por flexión para flexión uniaxial, y por momentos y cortante por punzonamiento para flexión biaxial.
4.- El nuevo modelo puede ser utilizado para cualquier reglamento de edificación, simplemente tomando en cuenta los momentos, los cortantes por flexión y los cortantes por punzonamiento que resisten para definir el peralte efectivo, y las ecuaciones para determinar las áreas de acero de refuerzo propuestas por cada reglamento de edificación.
5.- El nuevo modelo se puede usar cuando la carga Pu se ubica fuera del núcleo central (ex/hx+ ey/hy>1/6), y el modelo actual se usa cuando la carga Pu se ubica dentro del núcleo central (ex/hx+ ey/hy≤1/6), donde ex = My/P y ey = Mx/P.
Este trabajo muestra una solución eficaz y robusta aplicada para obtener el diseño completo de zapatas aisladas rectangulares sometidas a flexión uniaxial y biaxial apoyadas sobre suelos elásticos que trabajan parcialmente a compresión, y la variación del diagrama de presión es lineal.
Las sugerencias para la próxima investigación:
1.- Diseño completo para zapatas combinadas (rectangulares, trapezoidales, correas, de esquina y en forma de T) sometidas a flexión uniaxial y biaxial apoyadas sobre suelos elásticos trabajando parcialmente a compresión.
2.- Zapatas apoyadas sobre suelos totalmente cohesivos (suelos arcillosos) y/o suelos totalmente granulares (suelos arenosos), el diagrama de presión es diferente, debido a que el diagrama de presiones no es lineal como se presenta en este trabajo.
Referencias
ACI 318S-19 (2019), “Building Code Requirements for Structural Concrete and Commentary, Committee 318”, New York, USA.
Aguilera-Mancilla, G., Luévanos-Rojas, A., López-Chavarría, S. and Medina-Elizondo, M. (2019), Modeling for the strap combined footings Part I: Optimal dimensioning. Steel and Composite Structures. 30(2):97-108. https://doi.org/10.12989/scs.2019.30.2.097
Al-Gahtani, H.J. and Adekunle, S.K. (2019), A boundary-type approach for the computation of vertical stresses in soil due to arbitrarily shaped foundations. World Journal of Engineering. 16(3): 419-426. https://doi.org/10.1108/WJE-02-2018-0051
Algin, H.M. (2000), Stresses from linearly distributed pressures over rectangular areas. International Journal for Numerical and Analytical Methods in Geomechanics. 24(8):681-692. https://doi.org/10.1002/1096-9853(200007)24:8<681::AID-NAG89>3.0.CO;2-X
Algin, H.M. (2007), Practical formula for dimensioning a rectangular footing. Engineering Structures. 29(6):1128-1134. https://doi.org/10.1016/j.engstruct.2006.08.009
Aydogdu, I. (2016), New Iterative method to Calculate Base Stress of Footings under Biaxial Bending. Journal of Engineering and Applied Sciences. 8(4):40-48. https://doi.org/10.24107/ijeas.281460
Bezmalinovic Colleoni, A.S. (2016), Fórmulas analíticas para la presión de contacto lineal en fundaciones rectangulares altamente excéntricas. IX Chilean Congress on Geotechnical Engineering, Chilean Geotechnical Society, Universidad Austral de Chile.
Dagdeviren, U. (2016), Shear stresses below the rectangular foundations subjected to biaxial bending, Geomechanics Engineering. 10(2):189-205. https://doi.org/10.12989/gae.2016.10.2.189
Filho, W.L., Carvalho, R.CH., Christoforo, A.L. and Lahr, F.A.R. (2017), Dimensioning of Isolated Footing Submitted to the under Biaxial Bending Considering the Low Concrete Consumption. International Journal of Materials Engineering. 7(1):1-11. http://article.sapub.org/10.5923.j.ijme.20170701.01.html
Galvis, F.A. and Smith-Pardo, J.P. (2020), Axial load biaxial moment interaction (PMM) diagrams for shallow foundations: Design aids, experimental verification, and examples. Engineering Structures. 213:110582. https://doi.org/10.1016/j.engstruct.2020.110582
Girgin, K. (2017), Simplified formulations for the determination of rotational spring constants in rigid spread footings resting on tensionless soil. Journal Civil Engineering and Management. 23(4):464-474. https://doi.org/10.3846/13923730.2016.1210218
Gör, M. (2022), Analyzing the bearing capacity of shallow foundations on two-layered soil using two novel cosmology-based optimization techniques. Smart Structures and Systems. 29(3):513-522. https://doi.org/10.12989/sss.2022.29.3.513
Irles-Más, R. and Irles-Más, F. (1992), Alternativa analítica a la determinación de tensiones bajo zapatas rectangulares con flexión biaxial y despegue parcial. Informes de la Construcción. 44(419):77-89. https://dialnet.unirioja.es/servlet/articulo?codigo=2768804
Jahanandish, M., Veiskarami, M. and Ghahramani, A. (2012), Effect of Foundation Size and Roughness on the Bearing Capacity Factor, Nγ, by Stress Level-Based ZEL Method. Arabian Journal for Science and Engineering. 37(7):1817-1831. https://doi.org/10.1007/s13369-012-0293-3
Kaur, A. and Kumar, A. (2016), Behavior of eccentrically inclined loaded footing resting on fiber reinforced soil. Geomechanics Engineering. 10(2):155-174. https://doi.org/10.12989/gae.2016.10.2.155
Khajehzadeh, M., Taha, M.R. and Eslami, M. (2014), Multi-objective Optimization of foundation using global-local gravitational search algorithm. Structural Engineering and Mechanics. 50(3): 257-273. https://doi.org/10.12989/sem.2014.50.3.257
Kim-Sánchez, D.S., Luévanos-Rojas, A., Barquero-Cabrero, J.D., López-Chavarría, S., Medina-Elizondo, M. and Luévanos-Soto, I. (2022). A New Model for the Complete Design of Circular Isolated Footings Considering that the Contact Surface Works Partially under Compression. International Journal of Innovative Computing, Information and Control. 18(6):1769-1784. http://www.ijicic.org/ijicic-180607.pdf
Lee, J., Jeong, S. and Lee, J.K. (2015), 3D analytical method for mat foundations considering coupled soil springs. Geomechanics Engineering. 8(6):845-850. https://doi.org/10.12989/gae.2015.8.6.845
Lezgy-Nazargah, M., Mamazizi, A. and Khosravi, H. (2022), Analysis of shallow footings rested on tensionless foundations using a mixed finite element model. Structural Engineering and Mechanics. 81(3):379-394. https://doi.org/10.12989/sem.2022.81.3.379
López-Chavarría, S., Luévanos-Rojas, A. and Medina-Elizondo, M. (2017a), A mathematical model for dimensioning of square isolated footings using optimization techniques: general case. International Journal of Innovative Computing, Information and Control. 13(1):67-74. http://www.ijicic.org/ijicic-130105.pdf
López-Chavarría, S., Luévanos-Rojas, A. and Medina-Elizondo, M. (2017b), Optimal dimensioning for the corner combined footings. Advances in Computational Design. 2(2):169-183. https://doi.org/10.12989/acd.2017.2.2.169
López-Chavarría, S., Luévanos-Rojas, A. and Medina-Elizondo, M. (2017c), A new mathematical model for design of square isolated footings for general case. International Journal of Innovative Computing, Information and Control. 13(4):1149-1168. http://www.ijicic.org/ijicic-130406.pdf
López-Chavarría, S., Luévanos-Rojas, A., Medina-Elizondo, M., Sandoval-Rivas, R. and Velázquez-Santillán, F. (2019), Optimal design for the reinforced concrete circular isolated footings. Advances in Computational Design. 4(3):273-294. https://doi.org/10.12989/acd.2019.4.3.273
Luévanos-Rojas, A. (2012a), A Mathematical Model for Dimensioning of Footings Square. International Review of Civil Engineering. 3(4):346-350.
Luévanos-Rojas, A. (2012b), A Mathematical Model for the Dimensioning of Circular Footings. Far East Journal of Mathematical Sciences. 71(2): 357-367.
Luévanos-Rojas, A. (2013), A Mathematical Model for Dimensioning of Footings Rectangular. ICIC Express Letters Part B: Applications. 4(2):269-274.
Luévanos-Rojas, A., Faudoa-Herrera, J.G., Andrade-Vallejo, R.A. and Cano-Alvarez, M.A. (2013), Design of Isolated Footings of Rectangular Form Using a New Model. International Journal of Innovative Computing, Information and Control. 9(10):4001-4022. http://www.ijicic.org/ijicic-12-10031.pdf
Luévanos-Rojas, A. (2014a), A Comparative Study for Dimensioning of Footings with Respect to the Contact Surface on Soil. International Journal of Innovative Computing, Information and Control. 10(4):1313-1326. http://www.ijicic.org/ijicic-13-08003.pdf
Luévanos-Rojas, A. (2014b), Design of isolated footings of circular form using a new model. Structural Engineering and Mechanics. 52(4):767-786. http://dx.doi.org/10.12989/sem.2014.52.4.767
Luévanos-Rojas, A. (2014c), Design of boundary combined footings of rectangular shape using a new model. DYNA Colombia. 81(188):199-208. https://doi.org/10.15446/dyna.v81n188.41800
Luévanos-Rojas, A. (2015a), A New Approach for Dimensioning of Rectangular Footings Using Optimization Techniques. ICIC Express Letters Part B: Applications. 6(11):3141-3146.
Luévanos-Rojas, A. (2015b), A New Mathematical Model for Dimensioning of the Boundary Trapezoidal Combined Footings. International Journal of Innovative Computing, Information and Control. 11(4):1269-1279. http://www.ijicic.org/ijicic-110411.pdf
Luévanos-Rojas, A. (2015c), A new model for the design of rectangular combined boundary footings with two restricted opposite sides. Revista ALCONPAT. 6(2):172-187. http://dx.doi.org/10.21041/ra.v6i2.137
Luévanos-Rojas, A. (2015d), Design of boundary combined footings of trapezoidal form using a new model. Structural Engineering and Mechanics. 56(5):745-765. https://doi.org/10.12989/sem.2015.56.5.745
Luévanos-Rojas, A. (2016a), A Mathematical Model for the Dimensioning of Combined Footings of Rectangular Shape. Revista Técnica de la Facultad de Ingeniería Universidad del Zulia. 39(1):3-9. https://produccioncientificaluz.org/index.php/tecnica/article/view/21090/20946
Luévanos-Rojas, A. (2016b), Un nuevo modelo para diseño de zapatas combinadas rectangulares de lindero con dos lados opuestos restringidos. Revista ACONPAT. 6(2):173-189. http://dx.doi.org/10.21041/ra.v6i2.137
Luévanos-Rojas, A., López-Chavarría, S. and Medina-Elizondo, M. (2017), Optimal design for rectangular isolated footings using the real soil pressure. Ingeniería e Investigación. 37(2):25-33. http://dx.doi.org/10.15446/ing.investig.v37n2.61447
Luévanos-Rojas, A., López-Chavarría, S. and Medina-Elizondo, M. (2018a), A new model for T-shaped combined footings Part I: Optimal dimensioning. Geomechanics Engineering. 14(1):51-60. https://doi.org/10.12989/gae.2018.14.1.051
Luévanos-Rojas, A., López-Chavarría, S. and Medina-Elizondo, M. (2018b), A new model for T-shaped combined footings Part II: Mathematical model for design. Geomechanics Engineering. 14(1):61-69. https://doi.org/10.12989/gae.2018.14.1.061
Luévanos Rojas, A., López Chavarría, S., Medina Elizondo, M., Sandoval Rivas, R., Farías Montemayor, O. M. (2020), Un modelo analítico para el diseño de zapatas combinadas de esquina. Revista ALCONPAT. 10(3):317-335. https://doi.org/10.21041/ra.v10i3.432
Özmen, G. (2011), Determination of Base Stresses in Rectangular Footings under Biaxial Bending. Teknik Dergi Digest. 22(4):1519-1535. http://www.imo.org.tr/resimler/dosya_ekler/7b559795bd3f63b_ek.pdf?dergi=472
Rawat, S., Mittal, R.K. and Muthukumar, G. (2020), Isolated Rectangular Footings under Biaxial Bending: A Critical Appraisal and Simplified Analysis Methodology. Practice Periodical on Structural Design and Construction. 25(3):04020011. https://doi.org/10.1061/(ASCE)SC.1943-5576.0000471
Rodriguez-Gutierrez, J.A. and Aristizabal-Ochoa, J.D. (2013a), Rigid Spread Footings Resting on Soil Subjected to Axial Load and Biaxial Bending. I: Simplified Analytical Method. International Journal of Geomechanics. 13(2):109-119. https://doi.org/10.1061/(ASCE)GM.1943-5622.0000218
Rodriguez-Gutierrez, J.A. and Aristizabal-Ochoa, J.D. (2013b), Rigid Spread Footings Resting on Soil Subjected to Axial Load and Biaxial Bending. II: Design Aids. International Journal of Geomechanics. 13(2):120-131. https://doi.org/10.1061/(ASCE)GM.1943-5622.0000210
Soto-Garcia, S., Luévanos-Rojas, A., Barquero-Cabrero, J.D., López-Chavarría, S., Medina-Elizondo, M., Farias-Montemayor, O.M. and Martinez-Aguilar, C. (2022). A New Model for the Contact Surface With Soil of Circular Isolated Footings Considering that the Contact Surface Works Partially Under Compression. International Journal of Innovative Computing, Information and Control. 18(4):1103-1116. http://www.ijicic.org/ijicic-180406.pdf
Vela-Moreno, V.B., Luévanos-Rojas, A., López-Chavarría, S., Medina-Elizondo, M., Sandoval-Rivas, R. and Martinez-Aguilar, C. (2022), Optimal area for rectangular isolated footings considering that contact surface works partially to compression. Structural Engineering and Mechanics. 84(4):561-573. https://doi.org/10.12989/sem.2022.84.4.561
Velázquez-Santillán, F., Luévanos-Rojas, A., López-Chavarría, S., Medina-Elizondo, M. and Sandoval-Rivas, R. (2018), Numerical experimentation for the optimal design for reinforced concrete rectangular combined footings. Advances in Computational Design. 3(1):49-69. https://doi.org/10.12989/acd.2018.3.1.049
Yáñez-Palafox, J.A., Luévanos-Rojas, A., López-Chavarría, S. and Medina-Elizondo, M. (2019), Modeling for the strap combined footings Part II: Mathematical model for design. Steel and Composite Structures. 30(2):109-121. https://doi.org/10.12989/scs.2019.30.2.109