
| Investigación Básica | https://doi.org/10.21041/ra.v11i3.548 |
Comportamiento teórico-experimental de fibras de acero como reemplazo parcial del refuerzo a cortante en vigas de concreto reforzado
Theoretical-experimental behavior of steel fibers as a partial replacement for shear reinforcement in reinforced concrete beams
Comportamento teórico-experimental de fibras de aço em substituição parcial à armadura de cisalhamento em vigas de concreto armado
C. A.
Juárez-Alvarado1
,
J. M.
Mendoza-Rangel1
*
, B. T. Terán-Torres1
, P. L. Valdez-Tamez1
, G. Castruita-Velázquez1
1 Universidad Autónoma de Nuevo León, Facultad de Ingeniería Civil, Av. Universidad S/N, Cd. Universitaria, San Nicolás de los Garza, Nuevo León, México.
*Contact author: jose.mendozarn@uanl.edu.mx
Recepción: 16 de julio de 2021.
Aceptación: 13 de agosto de 2021.
Publicación: 01 de septiembre de 2021.
| Citar como: Juárez-Alvarado, C. A., Mendoza-Rangel, J. M., Terán-Torres, B. T., Valdez-Tamez, P. L., Castruita-Velázquez, G. (2021), "Comportamiento teórico-experimental de fibras de acero como reemplazo parcial del refuerzo a cortante en vigas de concreto reforzado", Revista ALCONPAT, 11 (3), pp. 31 – 49, DOI: https://doi.org/10.21041/ra.v11i3.548 |
Resumen
Se propone sustituir parcialmente estribos por fibras de acero para mejorar la resistencia a cortante de vigas. Las variables estudiadas fueron: la relación agua/cemento (a/c) = 0.55 y 0.35, y el volumen de fibra (Vf) = 0, 0.3, 0.5, 0.7% y 0, 0.2, 0.4, 0.6% respectivamente, y la separación de estribos. Los resultados mostraron que la resistencia a cortante con estribos y fibras, fue mayor que la resistencia de las vigas reforzadas con solo estribos. La comparativa entre los datos experimentales y modelos analíticos de predicción de resistencia, mostró que se predice adecuadamente el efecto de la relación (a/c), el Vf, y la aportación del acero longitudinal y transversal. Además, los modelos estudiados predijeron mayormente valores conservadores para la resistencia ultima experimental a cortante.
Palabras clave: concreto fibroreforzado, vigas, esfuerzo a cortante, modelo analítico, estribos, fibras de acero.
Abstract
It is proposed to partially replace the stirrups with steel fibers and thus improve the shear strength of concrete beams. The variables studied were: water/cement ratios (w/c) = 0.55 and 0.35, and fiber volume (Vf) = 0, 0.3, 0.5, 0.7% and 0, 0.2, 0.4, 0.6% respectively, along with the separation of the stirrups. The results showed that the shear strength of the reinforced fiber and stirrups was greater than the strength of the beams reinforced only with stirrups. Experimental data and the strength prediction models comparison showed that the analytical models adequately predict the effect of the w/c ratio, the Vf, and the contribution of longitudinal and transverse steel. Also, the studied models predicted mainly conservative values with respect to the ultimate shear strength.
Keywords:
Fiber-reinforced concrete,
beams,
shear strength,
analytical model,
stirrups,
steel fibers.
Resumo
Propõe-se a substituição parcial dos estribos por fibras de aço para melhorar a resistência ao cisalhamento das vigas. Como variáveis: relação (a/c) = 0,55 e 0,35 com (Vf) = 0, 0,3, 0,5, 0,7% e 0, 0,2, 0,4, 0,6% respectivamente e espaçamento de estribo. Os resultados mostraram que a resistência ao cisalhamento com reforço de estribos e fibras foi maior que a das vigas controle com estribos separados (d/2). A comparação entre os dados experimentais e os modelos de predição de resistência mostrou que o efeito da relação (a/c), (Vf), a contribuição do aço longitudinal e a presença de estribos está adequadamente previsto. Os modelos estudados previram, na maioria dos casos, valores conservadores para a resistência última ao cisalhamento experimental.
Palavras-chave:
concreto reforçado com fibras,
vigas,
tensão de cisalhamento,
modelo analítico,
estribos,
fibras de aço.
1. IntroducciÓn
En la mayoría de las estructuras de concreto reforzado, se suelen utilizar varillas corrugadas rectas que se proponen en las zonas sujetas a tensión de los elementos estructurales para resistir esfuerzos normales producto de la fuerza cortante y el momento flexionarte (V, M). Sin embargo, cuando las fuerzas exceden a los esfuerzos permisibles, aparecen grietas de tensión diagonal con una orientación inclinada por el efecto del cortante. Si el concreto no es capaz de resistir dichas acciones se propone un refuerzo transversal para reducir el agrietamiento por efecto de la fuerza cortante (Khuntia et al, 2001).
Las fallas presentadas en los elementos estructurales son de gran interés por el peligro que representan a los usuarios finales, y una de las fallas de mayor cuidado es la ocasionada por el cortante por tensión diagonal, ya que se presenta de una forma frágil, es decir, no existe advertencia previa del colapso. Estas fallas pueden ser provocadas por acontecimientos externos a la estructura tales como sismos e impacto por sobre cargas accidentales.
Para contrarrestar este tipo de falla, las estructuras son reforzadas con varillas transversales (estribos) que, dependiendo de las cargas a las que será sometida la estructura, puede aglomerarse en una zona, impidiendo el paso libre del concreto entre el acero, provocando segregación y debilidad en esa zona de la estructura. Una alternativa para solucionar este problema es el uso de fibras de acero que proporcionan una resistencia superior a la flexión, resistencia al impacto, resistencia al agrietamiento y baja permeabilidad (Shin et al, 1994). El uso de las fibras de acero proviene de la idea básica de fortalecer la matriz de concreto ante estos esfuerzos de tensión. La distribución de las fibras en conjunto con el concreto conduce a un mejor comportamiento, debido a que se reduce la naturaleza frágil del elemento. Como consecuencia del uso de la fibra de acero, se propicia que el compuesto presente mayor tenacidad, ya que estas pueden absorber energía antes de llegar al colapso o falla del elemento. La adición de fibras de acero en el concreto ayuda a convertir su característica frágil en una dúctil. Esto se debe a que las fibras quedan uniformemente distribuidas y orientadas de manera aleatoria en todas direcciones en la masa del concreto (Ashour et al, 1992).
En general, los elementos de concreto reforzado son diseñados para resistir cargas externas que les producen esfuerzos y deformaciones de diferentes tipos, estos diseños están usualmente basados en los reglamentos de construcción y en la literatura técnica que presenta procedimientos bien definidos de dimensionamiento y reforzamiento para los elementos estructurales. La experiencia ha demostrado que estos procedimientos han sido adecuados para la mayoría de las estructuras. Sin embargo, cuando el refuerzo del concreto es diferente a la varilla de acero convencional, estos procedimientos y teorías deben considerar la aportación de este reforzamiento adicional. La mayoría de la literatura técnica presenta de manera escasa procedimientos de diseño para estructuras de concreto que son reforzadas con fibras de acero, en contraste, existe suficiente investigación que permite suponer que las fibras de acero aportan ductilidad e incrementan la resistencia mecánica a tensión del concreto (Juárez, et al., 2007). Entonces, considerando la principal aportación que tienen las fibras de acero, resulta conveniente orientar los estudios hacia el comportamiento bajo esfuerzo cortante en vigas de concreto fibroreforzado; este esfuerzo también es conocido como un esfuerzo de tensión diagonal en la zona de los apoyos. (Park, et al., 1990).
El esfuerzo cortante tiene una falla súbita si el refuerzo transversal en el concreto (estribos) no es el suficiente, y se presenta usualmente con una carga inferior a la carga de falla por flexión. Por lo tanto, en el caso de utilizar fibras de acero como refuerzo alternativo a cortante que evite la falla frágil e incremente su resistencia última, resultará pertinente presentar procedimientos teóricos para predecir esta resistencia y al hacer una comparativa con datos experimentales permitirá conocer la aportación de las fibras y contar con una posible ayuda confiable de diseño. Existen diversos estudios que toman en cuenta dicha aportación de las fibras de acero, Jun et al. (2018) encontró que la fibra y el estribo incrementan la rigidez, al reducir la deflexión ante carga última, sin embargo, el efecto de la fibra decrece con el incremento en la cuantía del estribo. Además, se encontró que la fibra reduce la deformación en el estribo y el agrietamiento diagonal, debido al puenteo de la grieta. Por otra parte, uno de los más recientes estudios que modelan el cortante fue realizado por (Mari Bernat et. al. 2020) el cual propone un modelo de multi acción que se basa en establecer ecuaciones de equilibrio que incorporan los mecanismos de resistencia a cortante que aportan las fibras en vigas de concreto sin estribos.
Tomando en cuenta lo anterior, en esta investigación se plantea dar solución viable y practica a este problema, con un refuerzo desde la matriz, con la adición de fibra de acero en la masa de concreto, y así poder aumentar la separación de estribos y conseguir un mejor acomodo del concreto. En este trabajo de investigación se propone sustituir parcialmente los estribos por fibras de acero y con ello mejorar o mantener la resistencia mecánica a cortante por tensión diagonal de las estructuras de concreto.
Los resultados obtenidos de forma experimental mostraron que la resistencia a cortante diagonal de las vigas fibroreforzadas, con estribos, es considerablemente mayor que la fuerza teórica estimada por el código del ACI-318. Adicionalmente, se evaluaron procedimientos teóricos de predicción de resistencia a cortante en vigas de concreto fibroreforzado, mediante la comparación de dos modelos matemáticos obtenidos de la literatura (Swamy, et al., 1993 y Narayanan, et al., 1987) y los datos experimentales de las 20 vigas ensayadas a cortante por tensión diagonal. Se encontró que los dos modelos predicen adecuadamente el efecto de la relación a/c, el volumen de fibra (Vf), la aportación del acero longitudinal y la presencia de estribos en la resistencia ultima a cortante. Los modelos de Swamy y Narayanan predijeron valores conservadores con respecto a la resistencia ultima a cortante, acercándose al valor alcanzado por la resistencia a cortante experimental.
2. MetodologÍa experimental
2.1 Materiales
Se utilizó cemento Portland Tipo CPC 30R que cumple con la norma NMX-C-414-ONNCCE-2017, agregado grueso con tamaño máximo 12.7 mm y 4.75 mm para el agregado fino, que cumple con la especificación ASTM C33-18, los agregados son calizos típicos de la región de Monterrey con una densidad relativa de 2.59 y 2.71 y un porcentaje de absorción de 0.72 y 1.82 para agregados grueso y finos respectivamente. El aditivo utilizado fue reductor de agua hiperfluidicante base policarboxilato, con un contenido de líquido de 56%, masa de 44% y densidad de 1.11 g/cm3. El acero de refuerzo longitudinal fueron cuatro varillas No. 5 (16 mm) fy = 420 MPa y para los estribos se usó alambrón No. 2 (6.4 mm), fy = 280 MPa (ASTM A615-20). Se utilizaron fibras de acero de 50 mm de longitud y 1 mm de espesor en promedio, relación de aspecto de 50, fy = 1,152 MPa, del tipo “Deformed Slit Sheet” según el ASTM A820-16.
2.2 Proporcionamiento de las mezclas
En las tablas 1 y 2 se muestran las diferentes mezclas de concreto estudiadas. Se realizaron un total de ocho mezclas, cuatro para la relación a/c = 0.55 y otras cuatro para la relación a/c = 0.35. En ambos casos, las variables fueron: el porcentaje de fibras en volumen por metro cúbico de concreto y el refuerzo transversal a cortante utilizando estribos cerrados. Las vigas fueron fabricadas por duplicado para cada mezcla y cada variable.
| Tabla 1. Proporcionamiento para la resistencia de f´c = 25 MPa, en kg/m3. | ||||||||||||||
| Materiales | % de fibra de acero | |||||||||||||
|---|---|---|---|---|---|---|---|---|---|---|---|---|---|---|
| 0.0 | 0.3 | 0.5 | 0.7 | |||||||||||
| a/c = 0.55 | ||||||||||||||
| Agua total | 157 | 157 | 157 | 157 | ||||||||||
| Cemento | 280 | 280 | 280 | 280 | ||||||||||
| A. Grueso | 792 | 782.6 | 766.9 | 770.1 | ||||||||||
| A. Fino | 1139 | 1124.8 | 1115.5 | 1106.1 | ||||||||||
| Fibra | 0 | 23.5 | 39.2 | 54.8 | ||||||||||
| Aditivo | 1.1 | 1.4 | 1.6 | 2.2 | ||||||||||
| Aire % | 2.5 | 2.5 | 2.5 | 2.5 | ||||||||||
| Tabla 2. Proporcionamiento para la resistencia de f´c = 35 MPa, en kg/m3. | ||||||||||||||
| Materiales | % de fibra de acero | |||||||||||||
|---|---|---|---|---|---|---|---|---|---|---|---|---|---|---|
| 0.0 | 0.2 | 0.4 | 0.6 | |||||||||||
| a/c = 0.35 | ||||||||||||||
| Agua total | 136 | 136 | 136 | 136 | ||||||||||
| Cemento | 380 | 380 | 380 | 380 | ||||||||||
| A. Grueso | 761 | 753.9 | 748.5 | 742.2 | ||||||||||
| A. Fino | 1139 | 1128.4 | 1120.2 | 1110.8 | ||||||||||
| Fibra | 0 | 17.7 | 31.3 | 47 | ||||||||||
| Aditivo | 1.9 | 2.3 | 2.7 | 3.4 | ||||||||||
| Aire % | 2.5 | 2.5 | 2.5 | 2.5 | ||||||||||
| Agua total = Agua de reacción + agua de absorción + agua del aditivo | ||||||||||||||
2.3 Mezclado, colado y curado
Las mezclas fueron realizadas en una revolvedora de mezclado inverso con capacidad de 90 L. Se homogenizaron durante un minuto los agregados finos y gruesos con un tercio del agua de reacción + absorción, después se agregó el cemento, el aditivo y el resto del agua de reacción mezclando durante tres minutos, se dejó reposar tres minutos y posteriormente se mezcló adicionalmente durante dos minutos. Cuando se requirieron las fibras, éstas fueron adicionadas aleatoriamente durante el segundo periodo de mezclado. Después de realizado el mezclado, se midió la consistencia a través de la prueba de revenimiento y el contenido de aire de acuerdo a las normas ASTM C143-20 y ASTM C231-17a respectivamente, sólo para las mezclas sin fibra. La resistencia a la compresión fue realizada mediante ensaye a seis cilindros de concreto fibroreforzado de 100 mm de diámetro por 200 mm de alto fabricados por cada porcentaje de fibra, curados de forma estándar según la norma ASTM C192-19 y ensayados a 28 días de acuerdo al método de ensaye ASTM C39-21. Adicionalmente, se obtuvo la resistencia a la tensión por compresión diametral, utilizando seis cilindros de concreto fibroreforzado de 150 mm de diámetro por 300 mm de alto, curados a 28 días de edad y ensayados de acuerdo con el método de prueba ASTM C496-17. Por otra parte, el concreto de las vigas se vació en cimbras metálicas compactándose con vibrador eléctrico interno que permitió homogenizar las fibras dentro de la mezcla de concreto, sin observarse aglomeración de las mismas. Todas las vigas fueron curadas con lámina de agua en sus cimbras hasta cumplir siete días de edad, posteriormente se curaron con membrana base agua, formulado a base de resinas acrílicas espreable hasta el momento de su ensaye.
2.4 Fabricación y ensaye de las vigas de concreto fibroreforzado
Se fabricaron 20 vigas de concreto reforzado de 2000x150x250 mm, de las cuales, 10 vigas se colaron con mezclas de concreto con una relación agua/cemento (a/c) = 0.55, para obtener una resistencia a la compresión especificada de f´c=25 MPa y las 10 vigas restantes fueron coladas con mezclas de concreto con una relación a/c=0.35 para una resistencia a la compresión especificada de f´c=35 MPa. Las vigas fueron fabricadas por duplicado, por cada relación a/c, ocho pares de vigas tienen estribos y dos pares de vigas no tienen estribos (véase tabla 3). Para evaluar el efecto de las fibras como refuerzo a cortante en la matriz de concreto, se agregaron fibras de acero de 50 mm de longitud y 1 mm de espesor en promedio. Se fabricaron vigas por duplicado, reforzadas con estribos cerrados y con los siguientes porcentajes de fibra con respecto al volumen total de la mezcla: 0% (control), 0.3%, 0.5%, 0.7% para la relación a/c = 0.55. De igual manera, 0% (control), 0.2%, 0.4%, 0.6% para la relación a/c = 0.35. Para tener una separación de estribos igual en ambas relaciones a/c como se puede observar en la tabla 3, los porcentajes de fibra tienen que ser diferentes, siendo menores para el concreto de mayor resistencia a la compresión. Adicionalmente, fueron fabricadas 2 pares de vigas sin estribos con los mayores porcentajes de fibras de 0.7% y 0.6% para las relaciones a/c = 0.55 y 0.35 respectivamente. El arreglo del acero de refuerzo transversal de la viga y los puntos de aplicación de las cargas durante el ensaye se pueden observar en la figura 1. La ubicación de las cargas para los ensayes se determinó siguiendo el criterio utilizado por Park, et al., 1990 para definir el claro de cortante, lo que permitió producir altas fuerzas cortantes por tensión diagonal en los extremos de las vigas. Todas las vigas fueron ensayadas al cumplir 28 días de edad.
| Tabla 3. Detalle del reforzamiento de estribos y fibras de las vigas. | ||||||||||||||
| a/c = 0.55 | Separación de estribos, mm | 150 | 250 | 300 | 350 | S/E | ||||||||
| Porcentaje de fibra, % | 0.0 | 0.3 | 0.5 | 0.7 | 0.7 | |||||||||
| No. de especímenes | 2 | 2 | 2 | 2 | 2 | |||||||||
| a/c= 0.35 | Separación de estribos, mm | 150 | 250 | 300 | 350 | S/E | ||||||||
| Porcentaje de fibra, % | 0.0 | 0.2 | 0.4 | 0.6 | 0.6 | |||||||||
| No. de especímenes | 2 | 2 | 2 | 2 | 2 | |||||||||
| * Nomenclatura: S/E = Sin estribos | ||||||||||||||
![]() |
||||
| Figura 1. Arreglo general del ensayo de las vigas | ||||
En la tabla 4 se establece la designación utilizada para las 20 vigas fabricadas, así como la cantidad y distribución del refuerzo longitudinal y transversal para cortante (estribos) y el porcentaje de fibras usado.
| Tabla 4. Identificación de las vigas de concreto fibroreforzado | ||||||||||||||
| Designación | Resistencia del concreto f´c, MPa | Relación a/c | Refuerzo longitudinal Ф 16 mm | Refuerzo transversal Ф 6.4 mm | Fibra de acero, % | |||||||||
|---|---|---|---|---|---|---|---|---|---|---|---|---|---|---|
| Mva-N-1,0.0 | 25 | 0.55 | 4 Varillas | 12 estribos @ 150 mm | 0.0 | |||||||||
| Mva-N-2,0.0 | ||||||||||||||
| Mva-N-3,0.3 | 8 estribos @ 250 mm | 0.3 | ||||||||||||
| Mva-N-4,0.3 | ||||||||||||||
| Mva-N-5,0.5 | 8 estribos @ 300 mm | 0.5 | ||||||||||||
| Mva-N-6,0.5 | ||||||||||||||
| Mva-N-7,0.7 | 6 estribos @ 350 mm | 0.7 | ||||||||||||
| Mva-N-8,0.7 | ||||||||||||||
| Mvb-N-9,0.0 | 35 | 0.35 | 12 estribos @ 150 mm | 0.0 | ||||||||||
| Mvb-N-10,0.0 | ||||||||||||||
| Mvb-N-11,0.2 | 8 estribos @ 250 mm | 0.2 | ||||||||||||
| Mvb-N-12,0.2 | ||||||||||||||
| Mvb-N-13,0.4 | 8 estribos @ 300 mm | 0.4 | ||||||||||||
| Mvb-N-14,0.4 | ||||||||||||||
| Mvb-N-15,0.6 | 6 estribos @ 350 mm | 0.6 | ||||||||||||
| Mvb-N-16,0.6 | ||||||||||||||
| Mva-N-17,0.7 | 25 | 0.55 | Sin estribos | 0.7 | ||||||||||
| Mva-N-18,0.7 | ||||||||||||||
| Mvb-N-19,0.6 | 35 | 0.35 | Sin estribos | 0.6 | ||||||||||
| Mvb-N-20,0.6 | ||||||||||||||
| Nomenclatura: Mva: Viga con f´c = 25 MPa Mvb: Viga con f´c = 35 MPa N-1, 2...20: Numeración de las vigas 0.0, 0.2, ...0.7: % de fibra con respecto al volumen de concreto | ||||||||||||||
3. MÉtodo analÍtico para concreto sin fibras
3.1 Modelo propuesto por el Comité 318 del Instituto Americano del Concreto (ACI 318-14)
La resistencia nominal a cortante para cualquier sección de una viga de concreto reforzado, se obtiene de acuerdo a la siguiente ecuación:
![]() |
(1) |
Para vigas sujetas únicamente a cortante por tensión diagonal, la resistencia al cortante que proporciona el concreto es la siguiente:
![]() |
(2) |
![]() |
(3) |
![]() |
(4) |
![]() |
(5) |
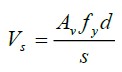
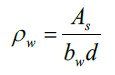
Adicionalmente, la resistencia al cortante que proporcionan los estribos se obtiene de la siguiente manera:
![]() |
(6) |
Nomenclatura:
bw = Ancho del alma (mm).
d = Peralte efectivo de la viga (mm).
f´c = Esfuerzo de diseño a la compresión especificada a los 28 días. (MPa).
fy = Esfuerzo a la fluencia de los estribos (MPa).
s = Separación entre estribos (mm).
As = Área del acero longitudinal (mm2).
Av = Área de los estribos (mm2).
Mu = Momento factorizado (kN-mm).
Vc = Resistencia a cortante proporcionada por el concreto (kN).
Vn = Resistencia nominal a cortante teórica (kN).
Vs = Resistencia a cortante proporcionada por los estribos (kN).
Vu = Fuerza cortante factorizada (kN).
ρw = Relación del refuerzo longitudinal en el alma.
λ = Factor de la densidad del concreto = 1.0 para concreto de peso normal.
4. MÉtodos analÍticos clÁsicos para concreto fibroreforzado
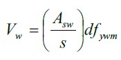
4.1 Modelo de Swamy (Swamy et al., 1974)
Este modelo se caracteriza por ser un método simple y considera que en una viga de concreto fibroreforzado sin estribos la determinación del cortante último teórico se puede realizar de la siguiente manera:
![]() |
(7) |
El planteamiento del modelo de Swamy se diseñó para determinar el esfuerzo último a tensión del concreto fibroreforzado en flexión, con la intención de no tener que hacer tantos ensayes en laboratorio para determinar el resultado, por lo que el modelo propone sea obtenido con la siguiente ecuación:
![]() |
(8) |
![]() |
(9) |
En el caso de la existencia de estribos en la viga, la aportación a la resistencia última a cortante obtenida de la ecuación (13) se calcula con la siguiente ecuación:
![]() |
(10) |
Nomenclatura:
b = Ancho de la viga (mm).
d = Peralte efectivo de la viga (mm).
fcm = Resistencia a compresión del concreto fibroreforzado (MPa).
fywm = Esfuerzo en los estribos (MPa).
s = Separación entre estribos (mm).
Asw = Área de los estribos (mm2).
Df = Diámetro de la fibra (mm).
Lf = Longitud de la fibra (mm).
Vf = Fracción de volumen de fibras.
Vw = Resistencia al cortante proporcionada por los estribos (kN).
Vu = Resistencia última a cortante teórica (kN).
σm = Resistencia a tensión del concreto fibroreforzado (MPa).
σut = Esfuerzo último a tensión del concreto fibroreforzado sujeto a flexión (MPa).
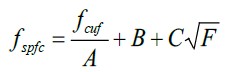
4.2 Modelo de Narayanan (Narayanan et al., 1987)
Este modelo considera tres términos para el cálculo de la resistencia última a cortante teórica, el primer término toma en cuenta la aportación de la fibra reforzando al concreto, el segundo término considerará la acción de “dovela” que proporciona el refuerzo longitudinal y finalmente el último término propone la aportación de la resistencia a la extracción de las fibras en el agrietamiento diagonal. De esta manera, el modelo propuesto es el siguiente:
![]() |
(11) |
![]() |
(12) |
![]() |
(13) |
![]() |
(14) |
![]() |
(15) |
Los factores identificados que influyen en la resistencia del concreto fibroreforzado, son la fracción de volumen de fibra, la relación de aspecto y la interface que existe entre la fibra y la matriz. La siguiente ecuación considera estos tres factores:
![]() |
(16) |
![]() |
(17) |
![]() |
(18) |
Nomenclatura:
a = Claro de cortante (mm).
b = Ancho de la viga (mm).
d = Peralte efectivo de la viga (mm).
df = Factor de adherencia según el tipo de fibra = 0.5 circulares; 0.75 onduladas; 1 endentada.
e = Factor adimensional que toma en cuenta la acción del efecto de arco.
fcuf = Resistencia a compresión del concreto fibroreforzado (MPa).
fspfc = Resistencia a tensión diametral del concreto fibroreforzado (MPa).
A = Constante adimensional.
A´ = Constante adimensional = 0.24
As = Área del refuerzo longitudinal (mm2).
B = Constante = 0.7 MPa
B´ = Constante = 80 MPa
C = Constante = 1 MPa
F = Factor de la fibra.
Vb = Fuerza de extracción de la fibra en el agrietamiento (kN).
Vu = Resistencia última a cortante teórica (kN).
ρf = Fracción de volumen de fibras.
ρ = Relación del refuerzo longitudinal.
τ = Esfuerzo de adherencia última = 4.15 MPa
5. Resultados y discusiÓn
5.1 Predicción de la resistencia última utilizando los modelos analíticos.
En la tabla 5 se presentan los resultados de la resistencia nominal a cortante (Vn) que se obtiene mediante el modelo del ACI 318-14 con las ecuaciones (1), (2) y (6). La resistencia Vn es usada en el diseño a cortante de vigas de concreto reforzado e incluye la resistencia proporcionada por el concreto, por el refuerzo longitudinal y los estribos. Este modelo no considera la aportación de las fibras como refuerzo en el concreto.
| Tabla 5. Resistencia nominal a cortante en vigas de concreto sin fibras con estribos ecuación (1) y sin estribos ecuación (2), para las dos relaciones a/c | ||||||||||||||
| Relación a/c | f´c MPa | Vc (ec. 2) kN | fy MPa | Vs kN | Vn (ec.1) kN | |||||||||
|---|---|---|---|---|---|---|---|---|---|---|---|---|---|---|
| 0.55 | 25 | 39.5 | 280 | 25.8 | 65.3 | |||||||||
| 0.35 | 35 | 44.2 | 280 | 25.8 | 70.0 | |||||||||
Existen estudios previos que proponen modelos analíticos basados en resultados experimentales (Dinh et al., 2010, Aoude et al., 2012), y otros que analizan datos experimentales provenientes de varias fuentes y utilizan un número importante de modelos analíticos para hacer comparaciones, (Haisam, 2011). El fin del presente estudio fue producir una experimentación científica propia que valide los modelos analíticos seleccionados que son considerados como clásicos en la literatura, ya que han sido la base de muchos otros y que el mérito de estos últimos solo radica en una personalización de alguna variable, sin llegar a ser una modificación sustancial al modelo original.
En la tabla 6 se presentan los resultados experimentales de las resistencias a compresión y tensión de especímenes fibroreforzados, que fueron usados por los modelos analíticos para la predicción de la resistencia última a cortante teórica. La resistencia a compresión fue tomada como fcuf para el modelo de Narayanan. De igual manera, la resistencia a tensión fue considerada como fspfc para el modelo de Narayanan. Estos valores fueron obtenidos de manera estandarizada como se indicó anteriormente, por lo que conseguirlos no representa una dificultad significativa para la aplicación de los modelos estudiados.
| Tabla 6. Resistencia a compresión y tensión de especímenes de concreto fibroreforzado de 28 días de edad | ||||||||||||||
| Designación | Resistencia a compresión MPa | Resistencia a tensión MPa | Designación | Resistencia a compresión MPa | Resistencia a tensión MPa | |||||||||
|---|---|---|---|---|---|---|---|---|---|---|---|---|---|---|
| Mva-N-1,0.0 | 28.5 | 2.5 | Mvb-N-9,0.0 | 44.9 | 3.4 | |||||||||
| Mva-N-2,0.0 | 31.2 | 2.7 | Mvb-N-10,0.0 | 46.4 | 3.8 | |||||||||
| Mva-N-3,0.3 | 29.5 | 3.2 | Mvb-N-11,0.2 | 50.1 | 3.8 | |||||||||
| Mva-N-4,0.3 | 29.6 | 2.5 | Mvb-N-12,0.2 | 37.2 | 3.4 | |||||||||
| Mva-N-5,0.5 | 30.2 | 3.2 | Mvb-N-13,0.4 | 45.8 | 3.5 | |||||||||
| Mva-N-6,0.5 | 31.9 | 3.4 | Mvb-N-14,0.4 | 51.7 | 3.7 | |||||||||
| Mva-N-7,0.7 | 31.5 | 3.2 | Mvb-N-15,0.6 | 48.2 | 4.2 | |||||||||
| Mva-N-8,0.7 | 32.7 | 3.6 | Mvb-N-16,0.6 | 46.1 | 3.9 | |||||||||
En la tabla 7 se presentan los resultados obtenidos de los modelos analíticos seleccionados, para determinar la resistencia última a cortante teórica.
| Tabla 7. Resistencia a última a cortante teórica, de vigas fibroreforzadas para ambas relaciones a/c. | ||||||||||||||
| Designación | Modelo de Swamy kN | Modelo de Narayanan kN | Designación | Modelo de Swamy kN | Modelo de Narayanan kN | |||||||||
|---|---|---|---|---|---|---|---|---|---|---|---|---|---|---|
| Mva-N-1,0.0 | - | - | Mvb-N-11,0.2 | 75.0 | 76.5 | |||||||||
| Mva-N-2,0.0 | - | - | Mvb-N-12,0.2 | 75.0 | 76.5 | |||||||||
| Mva-N-3,0.3 | 68.2 | 70.6 | Mvb-N-13,0.4 | 72.9 | 75.5 | |||||||||
| Mva-N-4,0.3 | 68.2 | 70.6 | Mvb-N-14,0.4 | 72.9 | 75.5 | |||||||||
| Mva-N-5,0.5 | 66.1 | 69.9 | Mvb-N-15,0.6 | 71.4 | 76.6 | |||||||||
| Mva-N-6,0.5 | 66.1 | 69.9 | Mvb-N-16,0.6 | 71.4 | 76.6 | |||||||||
| Mva-N-7,0.7 | 64.7 | 69.9 | Mva-N-17,0.7 | 53.6 | 58.9 | |||||||||
| Mva-N-8,0.7 | 64.7 | 69.9 | Mva-N-18,0.7 | 53.6 | 58.9 | |||||||||
| Mvb-N-9,0.0 | - | - | Mvb-N-19,0.6 | 60.4 | 64.6 | |||||||||
| Mvb-N-10,0.0 | - | - | Mvb-N-20,0.6 | 60.4 | 64.6 | |||||||||
5.2 Efecto del reforzamiento con fibras en vigas de concreto reforzado con respecto a los modelos teóricos.
En la tabla 8 se presentan los resultados de la resistencia experimental a cortante de las vigas de concreto fibroreforzado con y sin estribos, se obtienen los promedios para cada par de vigas ensayadas en el laboratorio.
| Tabla 8. Resistencia experimental a cortante en vigas de concreto fibroreforzado, para las dos relaciones a/c | ||||||||||||||
| Designación | Vuexp kN | Promedio kN | Designación | Vuexp kN | Promedio kN | |||||||||
|---|---|---|---|---|---|---|---|---|---|---|---|---|---|---|
| Mva-N-1,0.0 | 68.9 | 67.3 | Mvb-N-11,0.2 | 74.5 | 74.7 | |||||||||
| Mva-N-2,0.0 | 65.6 | Mvb-N-12,0.2 | 74.9 | |||||||||||
| Mva-N-3,0.3 | 75.9 | 76.1 | Mvb-N-13,0.4 | 80.6 | 80.9 | |||||||||
| Mva-N-4,0.3 | 76.2 | Mvb-N-14,0.4 | 81.2 | |||||||||||
| Mva-N-5,0.5 | 83.0 | 84.4 | Mvb-N-15,0.6 | 87.2 | 83.2 | |||||||||
| Mva-N-6,0.5 | 85.7 | Mvb-N-16,0.6 | 79.1 | |||||||||||
| Mva-N-7,0.7 | 83.6 | 86.7 | Mva-N-17,0.7 | 52.8 | 56.9 | |||||||||
| Mva-N-8,0.7 | 89.7 | Mva-N-18,0.7 | 60.9 | |||||||||||
| Mvb-N-9,0.0 | 68.6 | 69.1 | Mvb-N-19,0.6 | 53.4 | 51.5 | |||||||||
| Mvb-N-10,0.0 | 69.6 | Mvb-N-20,0.6 | 49.6 | |||||||||||
El efecto en la resistencia última a cortante proporcionado por el reforzamiento con las fibras de acero es evidente al comparar las tablas 5, 7 y 8, sin embargo, resulta conveniente hacer una relación directa entre la resistencia obtenida experimentalmente y la resistencia analítica. En la figura 2a se presentan de manera gráfica estos valores, que se obtuvieron al dividir la columna 3 de la tabla 8 entre la resistencia nominal a cortante (ecuación 1) para la relación a/c = 0.55 y la figura 2b muestra los valores que se obtuvieron al dividir la columna 6 de la tabla 8 entre la resistencia nominal a cortante (ecuación 1) para la relación a/c = 0.35.
Para las vigas de relación a/c=0.55, la fibra incrementa hasta un 33% de la resistencia a cortante en comparación con la resistencia nominal para Vf = 0.7%. En el caso de las vigas de relación a/c=0.35 la aportación de las fibras es menos significativa solo un 19% para Vf=0.6%. Este comportamiento presentado en ambos tipos de vigas, puede ser debido a que las fibras permitieron reducir el ancho de las grietas por tensión diagonal, propiciando una redistribución de esfuerzos en los estribos haciéndolo más eficiente.
La efectividad del reforzamiento con fibras combinado con el uso de estribos ya fue reportada, encontrando una mejora en la resistencia última a cortante y en la ductilidad (Sarhat et al., 2006). El uso de Vf de 0.5 y 1.5% resultó más efectivo que incrementar la relación a/c. En la tabla 8 se observa inclusive que las vigas de relación a/c=0.55 para todos los volúmenes de fibra, alcanzan una resistencia experimental a cortante mayor a las vigas control de relación a/c=0.35, aun cuando estas últimas tienen una relación a/c mayor. Lo anterior permite suponer que para volúmenes altos de fibras (> 0.5%) la relación a/c no parece tener un efecto significativo.
Se puede observar en la tabla 9 los resultados experimentales de la resistencia última a cortante comparada con resultados teóricos obtenidos de los tres modelos analíticos estudiados. El efecto de la relación a/c de las vigas se puede observar tanto para los resultados experimentales como para los teóricos, ya que se incrementa la resistencia a cortante a menor relación a/c. El mejor comportamiento producido por la combinación de estribos y fibras de acero en comparación con las vigas fibroreforzadas sin estribos, también es evidenciado por los modelos analíticos.
En la tabla 9 se presenta una relación entre el valor experimental y el valor teórico para identificar qué tanto se sobreestima la resistencia última a cortante. Los modelos analíticos de Swamy y Narayanan predicen valores en su mayoría mayores a la unidad, es decir, subestiman a los valores experimentales siendo esto conservador. Los tres modelos muestran valores similares a los experimentales para ambas relaciones a/c y para vigas fibroreforzadas con estribos, sin embargo, para las vigas sin estribos (17,18,19 y 20) se sobreestima la resistencia a cortante sobre todos para la relación a/c = 0.35. De igual manera, el efecto del volumen de la fibra también se modela adecuadamente ya que registra el incremento en la resistencia última experimental a cortante conforme se incrementa el Vf de fibra.
Los criterios conceptuales con los que se establecieron los tres modelos explican la diferencia en su predicción de los valores experimentales, mientras el modelo del ACI trata de considerar las aportaciones a la resistencia última a cortante tanto del concreto, de las fibras y de los estribos en caso de haberlos, e inclusive el efecto de la fuerza de dovela. El modelo de Swamy considerablemente más simple proporciona valores más conservadores a los experimentales, y sólo el modelo de Narayanan considera la resistencia a tensión del concreto. Los dos últimos modelos consideran el efecto de la relación de aspecto de la fibra y la variación del Vf. Cabe mencionar, que los modelos analíticos estudiados no proporcionan datos sobre la ductilidad y patrones de agrietamiento de las vigas de concreto fibroreforzado.
| Tabla 9. Relación de la resistencia a cortante experimental entre la resistencia a cortante analítica obtenida de cada modelo | ||||||||||||||
![]() |
||||||||||||||
De igual manera en la tabla 9 se puede observar que, analizando los resultados para las vigas sin estribos, el modelo de Narayanan sobreestima los valores y el modelo Swamy de lo hace igualmente, pero se acerca más a la unidad.
El comportamiento gráfico de lo discutido anteriormente se presenta en la figura 3 donde se puede observar una relación entre los resultados de la resistencia experimental última a cortante y los resultados de los modelos analíticos. Se observa que la predicción de los valores obtenidos de los modelos que se aproximan a la diagonal es igual a la experimental, en caso contrario, todos los valores por debajo de esta diagonal son poco conservadores. Tal es el caso de algunos puntos del modelo de Narayanan que presentan un grado menor de aproximación con respecto a los otros modelos analíticos propuestos por Swamy y ACI. La mayoría de los puntos graficados de los tres modelos muestran similitud en sus resultados y se consideran conservadores ya que se encuentran sobre la diagonal.
5.3 Efecto de la acción combinada del reforzamiento con fibras de acero y estribos.
En la figura 5 se presentan los resultados de la resistencia experimental a cortante de las vigas de concreto fibroreforzado sin estribos, pero con el mayor contenido de fibra y se comparan con las vigas control y los valores límites de los tres modelos estudiados.
![]() |
||||
| Figura 5. Comportamiento de vigas fibroreforzadas sin estribos comparadas con las vigas control. (a) Relación a/c=0.55. (b) Relación a/c=0.35. | ||||
En la figura 5 se puede observar que para ambas relaciones a/c la aportación del máximo contenido de fibra a la resistencia experimental a cortante de las vigas sin estribos (17,18,19 y20), no fue suficiente para al menos igualar la resistencia experimental de las vigas control (1,2,9 y 10) que no tienen fibra, pero que tienen la mayor cantidad de estribos. Inclusive solamente las vigas para la relación a/c = 0.55 alcanzan la resistencia teórica predicha por los modelos, no siendo el caso para las vigas de relación a/c = 0.35, esto puede deberse a que tenían menos Vf y que el incremento de la resistencia del concreto no fue suficiente, sin embargo, se puede observar que el comportamiento post-agrietamiento en las vigas reforzadas únicamente con fibras tuvo menor reducción de resistencia a cortante que las vigas con solo estribos, esto se debe a la adherencia matriz-fibra que permite la trasferencia de los esfuerzos. Las vigas control presentan un comportamiento adecuado y alcanzan el valor predicho por el ACI.
En caso contrario, se puede observar en la figura 6 en donde las vigas fibroreforzadas con el máximo Vf y con la menor cantidad de estribos tuvieron una mayor resistencia a cortante que las vigas control, inclusive sobrepasan de manera significativa para ambas relaciones a/c los valores límites de los modelos. La aportación de las fibras en combinación con la mitad del área de acero trasversal que tienen las vigas control, incrementó la resistencia última a cortante con respecto a la resistencia nominal teórica y resultó ser considerablemente mayor en comparación con los resultados obtenidos para las vigas control con la mayor cantidad de estribos.
![]() |
||||
| Figura 6. Comportamiento de vigas fibroreforzadas con la cantidad mínima de estribos comparadas con las vigas control. (a) Relación a/c=0.55. (b) Relación a/c=0.35. | ||||
Desde el punto de vista del comportamiento estructural del concreto reforzado, la presencia de las fibras de acero como refuerzo adicional para las vigas con estribos, permite incrementar de manera significativa la resistencia última a cortante, por lo que resulta justificable utilizar modelos analíticos que permitan predecir con certidumbre una resistencia teórica a cortante apegada a la obtenida experimentalmente, y que sea una ayuda de diseño para este tipo de elementos estructurales.
La presente investigación pretendió mostrar que la resistencia última a cortante se incrementa sustancialmente cuando se utilizan fibras de acero y que, teniendo conocimiento de modelos analíticos de aplicación simple, pueden convertirse en una herramienta útil para el análisis y diseño de vigas de concreto fibroreforzadas con estribos y sin estribos. Bajo esta perspectiva se presentan a continuación las conclusiones que aplican de acuerdo a los resultados obtenidos.
6. Conclusiones
7. Agradecimientos
Se agradece al Consejo Nacional de Ciencia y Tecnología (CONACYT), por su apoyo financiero para la beca del estudiante de maestría en ciencias. También, se agradece a las autoridades del Instituto de Ingeniería Civil “Dr. Raymundo Rivera Villarreal” de la Facultad de Ingeniería Civil de la UANL, por su apoyo para el uso de la infraestructura necesaria para llevar a cabo las pruebas experimentales.
Referencias
ACI 318S-14, (2014), Requisitos de Reglamento para Concreto Estructural y Comentarios, Instituto Americano del Concreto, ACI.
Ashour, S. A., Hasanain, G. S., Wafa, F. F. (1992), Shear Behavior of High-Strength Fiber Reinforced Concrete Beams, ACI Structural Journal, Vol. 89, No. 2, March-April, pp. 176 - 184.
Aoude, H., Belghiti, M., Cook, W. D., Mitchell, D. (2012), Response of steel fiber-reinforced concrete beams with and without stirrups, ACI Structural Journal, Vol. 109, No. 3, pp. 359-367.
ASTM International. (2018). ASTM C33 / C33M-18, Standard Specification for Concrete Aggregates. Annual Book of ASTM Standards, American Society of Testing Materials. https://doi.org/10.1520/C0033_C0033M-18
ASTM International. (2020). ASTM A615 / A615M-20, Standard Specification for Deformed and Plain Carbon-Steel Bars for Concrete Reinforcement. West Conshohocken, PA. https://doi.org/10.1520/A0615_A0615M-20
ASTM International. (2016). ASTM A820 / A820M-16, Standard Specification for Steel Fibers for Fiber-Reinforced Concrete. West Conshohocken, PA. https://doi.org/10.1520/A0820_A0820M-16
ASTM International. (2020). ASTM C143 / C143M-20, Standard Test Method for Slump of Hydraulic-Cement Concrete. West Conshohocken, PA. https://doi.org/10.1520/C0143_C0143M-20
ASTM International. (2019). ASTM C192 / C192M-19, Standard Practice for Making and Curing Concrete Test Specimens in the Laboratory, Annual Book of ASTM Standards, American Society of Testing Materials. https://doi.org/10.1520/C0192_C0192M-19
ASTM International. (2021). ASTM C39 / C39M-21, Standard Test Method for Compressive Strength of Cylindrical Concrete Specimens. West Conshohocken, PA. https://doi.org/10.1520/C0039_C0039M-21
ASTM International. (2017). ASTM C496 / C496M-17, Standard Test Method for Splitting Tensile Strength of Cylindrical Concrete Specimens. West Conshohocken, PA. https://doi.org/10.1520/C0496_C0496M-17
ASTM International. (2017a). ASTM C231 / C231M-17a, Standard Test Method for Air Content of Freshly Mixed Concrete by the Pressure Method. West Conshohocken, PA. https://doi.org/10.1520/C0231_C0231M-17A
Dinh, H. H., Parra-Montesinos, G. J., Wight, J. K. (2010), Shear behavior of steel fiber-reinforced concrete beams without stirrup reinforcement, ACI Structural Journal, Vol. 107, No. 5, pp. 597-606.
Dupont, D., Vandewalle, L. (2003), Shear Capacity of Concrete Beams Containing Longitudinal Reinforcement and Steel Fibers, ACI Structural Journal, Vol. 216, pp. 79 - 94.
Haisam, E. Y. (2011), Shear Stress Prediction: Steel Fiber - Reinforced Concrete Beams without Stirrups, ACI Structural Journal, Vol. 108, No. 3, May-June, pp. 304 - 314.
Juarez, C., Valdez, P., Durán, A., Sobolev, K. (2007), The diagonal tension behavior of fiber reinforced concrete beams, Cement & Concrete Composites, 29(5):402-408. https://doi.org/10.1016/j.cemconcomp.2006.12.009
Jun Z., Jingchao L., Liusheng C. and Fuqiang S. (2018), Experimental Study on Shear Behavior of Steel Fiber Reinforced Concrete Beams with High-Strength Reinforcement. Materials, 11 (9), 1682, pp. 1-19. https://doi.org/10.3390/ma11091682
Khuntia, M., Stojadinovic, B. (2001), Shear Strength of Reinforced Concrete Beams without Transverse Reinforcement, ACI Structural Journal, Vol. 98, No. 5, September-October, pp. 648 - 656.
Marì Bernat, A., Spinella, N., Recupero, A. (2020), Mechanical model for the shear strength of steel fiber reinforced concrete (SFRC) beams without stirrups. Materials and Structures. 53(28). https://doi.org/10.1617/s11527-020-01461-4
Narayanan, R., Darwish, I. Y. S. (1987), Use of Steel Fibers as Shear Reinforcement, ACI Structural Journal, 84 (3), May - June, pp. 216 - 226.
Organismo Nacional de Normalización y Certificación de la construcción y Edificación, S.C. (ONNCCE) (2017). NMX-C-414-ONNCCE: Industria de la Construcción - Cementos Hidráulicos - Especificaciones y Métodos de Prueba. Norma Mexicana.
Park, P., Paulay, T. (1990), “Estructuras de Concreto Reforzado”, Editoriales Limusa y Noriega, Nueva Edición, pp. 288 - 294. https://www.u-cursos.cl/usuario/7ed3df485e955c4de1ffa12120d4bb52/mi_blog/r/estructuras_de_concreto_reforzado_-_r._park___t._paulay.pdf
Sarhat, S. R., Abdul-Ahad, R. B. (2006), The Combined Use of Steel Fibers and Stirrups as Shear Reinforcement in Reinforced Concrete Beams, SP, American Concrete Institute, vol. 235, pp. 269 - 282.
Shin, S. W., Oh, J. G., Ghosh, S. K. (1994), Shear Behavior of Laboratory-Sized High Strength Concrete Beams Reinforced with Bars and Steel Fibers, American Concrete Institute, Volume 142. pp. 181-200.
Swamy, R. N., Bahía, H. M. (1985), The Effectiveness of Steel Fibers as Shear Reinforcement, Concrete International, Design and Construction, Vol. 7, No. 3, March, pp. 35 - 40.
Swamy, R. N., Mangat, P. S., Rao, C. V. S. K. (1974), The Mechanics of Fiber Reinforcement of Cement Matrices, Symposium Paper, American Concrete Institute, 44, pp. 1 - 28.
Swamy, R. N., Narayan, J., Roy Chiam, T. P. (1993), Influence of Steel Fibers on the Shear Resistance of Lightweight Concrete I - Beams, ACI Structural Journal, Vol.90, No. 1, January - February, pp. 103 - 114. https://doi.org/10.14359/4201