
| Pesquisa Básica | https://doi.org/10.21041/ra.v11i3.548 |
Comportamento teórico-experimental de fibras de aço em substituição parcial à armadura de cisalhamento em vigas de concreto armado
Theoretical-experimental behavior of steel fibers as a partial replacement for shear reinforcement in reinforced concrete beams
Comportamiento teórico-experimental de fibras de acero como reemplazo parcial del refuerzo a cortante en vigas de concreto reforzado
C. A.
Juárez-Alvarado1
, J. M. Mendoza-Rangel1
*
, B. T. Terán-Torres1
, P. L. Valdez-Tamez1
, G. Castruita-Velázquez1
1 Universidad Autónoma de Nuevo León, Facultad de Ingeniería Civil, Av. Universidad S/N, Cd. Universitaria, San Nicolás de los Garza, Nuevo León, México.
*Contact author: jose.mendozarn@uanl.edu.mx
Recepção: 16 de julho de 2021.
Aceitação: 13 de agosto de 2021.
Publicação: 01 de setembro de 2021.
| Citar como: Juárez-Alvarado, C. A., Mendoza-Rangel, J. M., Terán-Torres, B. T., Valdez-Tamez, P. L., Castruita-Velázquez, G. (2021), "Comportamento teórico-experimental de fibras de aço em substituição parcial à armadura de cisalhamento em vigas de concreto armado", Revista ALCONPAT, 11 (3), pp. 31 – 49, DOI: https://doi.org/10.21041/ra.v11i3.548 |
Resumo
Propõe-se a substituição parcial dos estribos por fibras de aço para melhorar a resistência ao cisalhamento das vigas. Como variáveis: relação (a/c) = 0,55 e 0,35 com (Vf) = 0, 0,3, 0,5, 0,7% e 0, 0,2, 0,4, 0,6% respectivamente e espaçamento de estribo. Os resultados mostraram que a resistência ao cisalhamento com reforço de estribos e fibras foi maior que a das vigas controle com estribos separados (d/2). A comparação entre os dados experimentais e os modelos de predição de resistência mostrou que o efeito da relação (a/c), (Vf), a contribuição do aço longitudinal e a presença de estribos está adequadamente previsto. Os modelos estudados previram, na maioria dos casos, valores conservadores para a resistência última ao cisalhamento experimental.
Palavras-chave:
concreto reforçado com fibras,
vigas,
tensão de cisalhamento,
modelo analítico,
estribos,
fibras de aço.
Abstract
It is proposed to partially replace the stirrups with steel fibers and thus improve the shear strength of concrete beams. The variables studied were: water/cement ratios (w/c) = 0.55 and 0.35, and fiber volume (Vf) = 0, 0.3, 0.5, 0.7% and 0, 0.2, 0.4, 0.6% respectively, along with the separation of the stirrups. The results showed that the shear strength of the reinforced fiber and stirrups was greater than the strength of the beams reinforced only with stirrups. Experimental data and the strength prediction models comparison showed that the analytical models adequately predict the effect of the w/c ratio, the Vf, and the contribution of longitudinal and transverse steel. Also, the studied models predicted mainly conservative values with respect to the ultimate shear strength.
Keywords:
Fiber-reinforced concrete,
beams,
shear strength,
analytical model,
stirrups,
steel fibers.
Resumen
Se propone sustituir parcialmente estribos por fibras de acero para mejorar la resistencia a cortante de vigas. Las variables estudiadas fueron: la relación agua/cemento (a/c) = 0.55 y 0.35, y el volumen de fibra (Vf) = 0, 0.3, 0.5, 0.7% y 0, 0.2, 0.4, 0.6% respectivamente, y la separación de estribos. Los resultados mostraron que la resistencia a cortante con estribos y fibras, fue mayor que la resistencia de las vigas reforzadas con solo estribos. La comparativa entre los datos experimentales y modelos analíticos de predicción de resistencia, mostró que se predice adecuadamente el efecto de la relación (a/c), el Vf, y la aportación del acero longitudinal y transversal. Además, los modelos estudiados predijeron mayormente valores conservadores para la resistencia ultima experimental a cortante.
Palabras clave:
concreto fibroreforzado,
vigas,
esfuerzo a cortante,
modelo analítico,
estribos,
fibras de acero.
1. IntroduÇÃo
Na maioria das estruturas de concreto armado, geralmente são utilizados vergalhões nervurados que são instalados nas áreas sujeitas à tração dos elementos estruturais para resistir às tensões normais causadas pela força cortante e pelo momento fletor (V, M). No entanto, quando as forças excedem as tensões permitidas, as fissuras de tensão diagonais aparecem com uma orientação inclinada devido ao efeito de cisalhamento. Caso o concreto não seja capaz de resistir a essas ações, é projetada armadura transversal para reduzir a fissuração advindo dos esforços de cisalhamento (Khuntia et al, 2001).
As falhas apresentadas nos elementos estruturais são de grande interesse pelo perigo que representam para os usuários finais, sendo que uma das falhas que requer maior atenção é a provocada pelo cisalhamento de tensão diagonal, por se apresentar de forma frágil, ou seja, não há aviso prévio do colapso. Essas falhas podem ser causadas por eventos externos à estrutura, como terremotos e impactos devido a cargas acidentais.
Para neutralizar esse tipo de falha, as estruturas são reforçadas com barras transversais (estribos) que, dependendo das cargas a que a estrutura será submetida, podem aglomerar-se em uma área, impedindo a passagem livre do concreto entre o aço, causando segregação e fragilidade nessa área da estrutura. Uma alternativa para resolver este problema é a utilização de fibras de aço que proporcionam superior resistência à flexão, resistência ao impacto, resistência à fissuração e baixa permeabilidade (Shin et al, 1994). O uso de fibras de aço vem da ideia básica de fortalecer a matriz do concreto contra essas tensões de tração. A distribuição das fibras em conjunto com o concreto leva a um melhor desempenho, pois a fragilidade do elemento é reduzida. Como consequência do uso da fibra de aço, o composto tem maior tenacidade, uma vez que estas podem absorver energia antes de atingir o colapso do elemento. A adição de fibras de aço ao concreto ajuda a tornar dúctil sua característica frágil. Isso ocorre desde que as fibras sejam uniformemente distribuídas e orientadas aleatoriamente em todas as direções na massa de concreto (Ashour et al, 1992).
Em geral, os elementos de concreto armado são projetados para resistir a cargas externas que produzem tensões e deformações de diferentes tipos, esses projetos são geralmente baseados em normas técnicas e literatura técnica que apresentam procedimentos de dimensionamento e reforço bem definidos para os elementos estruturais. A experiência tem mostrado que esses procedimentos têm sido adequados para a maioria das estruturas. Porém, quando a armadura de concreto é diferente da armadura de aço convencional, esses procedimentos e teorias devem considerar a contribuição dessa armadura adicional. A maior parte da literatura técnica raramente apresenta procedimentos de projeto para estruturas de concreto armadas com fibras de aço, e deveriam considerar que há pesquisas suficientes que permitem entender que as fibras de aço proporcionam ductilidade e aumentam a resistência mecânica à tração do concreto (Juárez, et. al., 2007). Portanto, considerando a principal contribuição que as fibras de aço têm, é conveniente orientar os estudos para o comportamento sob tensão de cisalhamento em vigas de concreto reforçado com fibras; essa tensão também é conhecida como esforço de tensão diagonal na área dos apoios. (Park, et al., 1990).
A tensão de cisalhamento pode acarretar uma ruptura repentina se a armadura transversal no concreto (estribos) não for suficiente, e geralmente se apresenta com uma carga menor que a carga de ruptura por flexão. Portanto, no caso de utilizar fibras de aço como alternativa à armadura de cisalhamento que evita a ruptura por fragilidade e aumenta sua resistência última, será pertinente apresentar procedimentos teóricos para prever esta resistência e ao fazer uma comparação com dados experimentais permitirá saber a contribuição de fibras e uma possível assistência de projeto confiável. Existem vários estudos que levam em consideração essa contribuição das fibras de aço. Jun et al. (2018) constataram que a fibra e o estribo aumentam a rigidez, ao reduzirem a deflexão antes da carga final, porém, o efeito da fibra diminui com o aumento da quantidade do estribo. Além disso, descobriu-se que a fibra reduzia a deformação do estribo e as rachaduras diagonais, devido à formação de pontes entre rachaduras. Por outro lado, um dos estudos mais recentes de modelagem de cisalhamento foi realizado por (Mari Bernat et. Al. 2020) que propõe um modelo de multi ações que se baseia no estabelecimento de equações de equilíbrio que incorporam os mecanismos de resistência ao cisalhamento proporcionados pelas fibras em vigas de concreto sem estribos.
Levando em consideração o exposto, nesta pesquisa propõe-se fornecer uma solução viável e prática para este problema, com um reforço da matriz, com adição de fibra de aço na massa de concreto, e assim ser capaz de aumentar a separação de estribos e conseguir um melhor arranjo do concreto. Neste trabalho de pesquisa propõe-se substituir parcialmente os estribos por fibras de aço e assim melhorar ou manter a resistência mecânica ao cisalhamento por tensão diagonal das estruturas de concreto.
Os resultados obtidos experimentalmente mostraram que a resistência ao cisalhamento diagonal das vigas reforçadas com fibras, com estribos, é consideravelmente superior à força teórica estimada pelo código ACI-318. Adicionalmente, procedimentos teóricos de previsão da resistência ao cisalhamento foram avaliados em vigas de concreto reforçado com fibras, comparando dois modelos matemáticos obtidos na literatura (Swamy, et al., 1993 e Narayanan, et al., 1987) e os dados experimentais das 20 vigas testado para cisalhamento de tensão diagonal. Verificou-se que os dois modelos predizem adequadamente o efeito da relação a/c, o volume da fibra (Vf), a contribuição do aço longitudinal e a presença de estribos na resistência última ao cisalhamento. Os modelos de Swamy e Narayanan previram valores conservadores em relação à resistência última ao cisalhamento, aproximando-se do valor obtido pela resistência ao cisalhamento experimental.
2. Metodologia experimental
2.1 Materiais
Foi usado cimento Portland Tipo CPC 30R que está em conformidade com a norma NMX-C-414-ONNCCE-2017, agregado graúdo com um tamanho máximo de 12,7 mm e 4,75 mm para o agregado miúdo, que está em conformidade com a especificação ASTM C33-18, os agregados são calcários típicos da região de Monterrey com uma densidade relativa de 2,59 e 2,71 e uma porcentagem de absorção de 0,72 e 1,82 para agregados graúdos e miúdos, respectivamente. O aditivo utilizado foi o redutor de agua fluidificante à base de policarboxilato, com teor de líquido de 56%, massa de 44% e densidade de 1,11 g/cm3. A armadura longitudinal foi de quatro barras Nº 5 (16 mm) fy = 420 MPa e fio-máquina Nº 2 (6,4 mm) foi usado para os estribos, fy = 280 MPa (ASTM A615-20). Foram utilizadas fibras de aço de 50 mm de comprimento e 1 mm de espessura em média, relação de aspecto de 50, fy = 1.152 MPa, do tipo “Deformed Slit Sheet” de acordo com ASTM A820-16.
2.2 Traços
As tabelas 1 e 2 mostram os diferentes traços de concreto estudados. Foram feitos oito traços, quatro para a relação a/c = 0,55 e outras quatro para a relação a/c = 0,35. Em ambos os casos, as variáveis foram: a porcentagem de fibras em volume por metro cúbico de concreto e a armadura de cisalhamento transversal com estribos fechados. As vigas foram fabricadas em duplicata para cada mistura e cada variável.
| Tabela 1. Traços para a resistência de f´c = 25 MPa, em kg / m3. | ||||||||||||||
| Materiais | % de fibra de aço | |||||||||||||
|---|---|---|---|---|---|---|---|---|---|---|---|---|---|---|
| 0,0 | 0,3 | 0,5 | 0,7 | |||||||||||
| a/c = 0,55 | ||||||||||||||
| Água total | 157 | 157 | 157 | 157 | ||||||||||
| Cimento | 280 | 280 | 280 | 280 | ||||||||||
| A, Graúdo | 792 | 782,6 | 766,9 | 770,1 | ||||||||||
| A, Miúdo | 1139 | 1124,8 | 1115,5 | 1106,1 | ||||||||||
| Fibra | 0 | 23,5 | 39,2 | 54,8 | ||||||||||
| Aditivo | 1,1 | 1,4 | 1,6 | 2,2 | ||||||||||
| Ar % | 2,5 | 2,5 | 2,5 | 2,5 | ||||||||||
| Tabela 2. Traços para a resistência de f´c = 35 MPa, em kg / m3. | ||||||||||||||
| Materiais | % de fibra de aço | |||||||||||||
|---|---|---|---|---|---|---|---|---|---|---|---|---|---|---|
| 0,0 | 0,2 | 0,4 | 0,6 | |||||||||||
| a/c = 0,35 | ||||||||||||||
| Água total | 136 | 136 | 136 | 136 | ||||||||||
| Cimento | 380 | 380 | 380 | 380 | ||||||||||
| A, Graúdo | 761 | 753,9 | 748,5 | 742,2 | ||||||||||
| A, Miúdo | 1139 | 1128,4 | 1120,2 | 1110,8 | ||||||||||
| Fibra | 0 | 17,7 | 31,3 | 47 | ||||||||||
| Aditivo | 1,9 | 2,3 | 2,7 | 3,4 | ||||||||||
| Ar % | 2,5 | 2,5 | 2,5 | 2,5 | ||||||||||
| Água total = água de reação + água de absorção + água do aditivo | ||||||||||||||
2.3 Mistura, moldagem e cura
Os traços foram misturados em betoneira de mistura forçada com capacidade de 90 L. Os agregados miúdos e graúdos foram homogeneizados por um minuto com um terço da água de reação + água de absorção, em seguida o cimento, o aditivo e o restante da água de reação foram misturados por três minutos, deixados em repouso por três minutos, e então novamente misturados por dois minutos. As fibras foram adicionadas aleatoriamente durante o segundo período de mistura. Após a mistura, a consistência foi medida através do ensaio de abatimento e o teor de ar de acordo com as normas ASTM C143-20 e ASTM C231-17a respectivamente, apenas para os traços sem fibra. A resistência à compressão foi realizada por meio de ensaios de seis corpos de prova cilíndrico de concreto reforçado com fibras de 100 mm de diâmetro por 200 mm de altura fabricados para cada porcentagem de fibra, curados de forma padronizada de acordo com a norma ASTM C192-19 e testados aos 28 dias de acordo com ao método de ensaio ASTM C39-21. Juntamente, foi obtida a resistência à tensão de compressão diametral, utilizando seis corpos de prova cilíndricos de concreto reforçado com fibras de 150 mm de diâmetro por 300 mm de altura, curado aos 28 dias de idade e ensaiado de acordo com o método de ensaio ASTM C496-17. Por outro lado, o concreto das vigas foi despejado em fôrmas metálicas, compactando-se com vibrador elétrico interno que permitiu homogeneizar as fibras dentro da trama do concreto, sem observar aglomeração delas. Todas as vigas foram curadas com lâmina de água em sua superfície até os sete dias de moldagem, posteriormente foram curadas com membrana aquosa, formulada à base de resinas acrílicas até o momento dos testes.
2.4 Fabricação e ensaio de vigas de concreto reforçado com fibra
Foram feitas 20 vigas de concreto armado de 2000x150x250 mm, das quais 10 vigas foram moldadas com misturas de concreto com relação água/cimento (a/c) = 0,55, para obter uma resistência à compressão especificada de f´c = 25 MPa e as 10 vigas restantes foram moldadas com traços de concreto com relação a/c = 0,35 para uma resistência à compressão especificada de f´c = 35 MPa. As vigas foram fabricadas em duplicidade, para cada relação a/c, oito pares de vigas possuem estribos e dois pares de vigas não possuem estribos (ver tabela 3). Para avaliar o efeito das fibras como armadura de cisalhamento na matriz do concreto, foram adicionadas fibras de aço com 50 mm de comprimento e 1 mm de espessura em média. As vigas foram confeccionadas em duplicata, armadas com estribos fechados e com as seguintes porcentagens de fibra em relação ao volume total da mistura: 0% (controle), 0,3%, 0,5%, 0,7% para a relação a/c = 0,55. Da mesma forma, 0% (controle), 0,2%, 0,4%, 0,6% para a proporção a/c = 0,35. Para que haja um espaçamento igual do estribo em ambas as relações a/c, como pode ser visto na tabela 3, os percentuais de fibras devem ser diferentes, sendo menores para concretos com maior resistência à compressão. Adicionalmente, foram fabricados 2 pares de vigas sem estribos com os maiores percentuais de fibras de 0,7% e 0,6% para as relações a/c = 0,55 e 0,35 respectivamente. A disposição das armaduras transversais da viga e os pontos de aplicação das cargas durante o ensaio podem ser vistos na figura 1. A localização das cargas para os ensaios foi determinada seguindo os critérios utilizados por Park, et al., 1990 para definir a região de cisalhamento, que permitiu a produção de altas forças de cisalhamento de tração diagonal nas extremidades das vigas. Todas as vigas foram testadas quando tinham 28 dias de idade.
| Tabela 3. Detalhe do reforço dos estribos e fibras das vigas. | ||||||||||||||
| a/c = 0.55 | Espaçamento de estribos, mm | 150 | 250 | 300 | 350 | S/E | ||||||||
| Porcentagem de fibra, % | 0.0 | 0.3 | 0.5 | 0.7 | 0.7 | |||||||||
| No. de vigas | 2 | 2 | 2 | 2 | 2 | |||||||||
| a/c= 0.35 | Espaçamento de estribos, mm | 150 | 250 | 300 | 350 | S/E | ||||||||
| Porcentagem de fibra, % | 0.0 | 0.2 | 0.4 | 0.6 | 0.6 | |||||||||
| No. de vigas | 2 | 2 | 2 | 2 | 2 | |||||||||
| * Nomenclatura: S/E = Sem estribos | ||||||||||||||
![]() |
||||
| Figura 1. Disposição geral do ensaio das vigas | ||||
A Tabela 4 estabelece a denominação utilizada para as 20 vigas fabricadas, bem como a quantidade e distribuição da armadura longitudinal e transversal para cisalhamento (estribos) e a porcentagem de fibras utilizadas.
| Tabela 4. Identificação de vigas de concreto reforçado com fibra | ||||||||||||||
| Designação | Resistência do concreto f´c, MPa | Relação a/c | Armadura longitudinal Ф 16 mm | Armadura transversal Ф 6.4 mm | fibra de aço, % | |||||||||
|---|---|---|---|---|---|---|---|---|---|---|---|---|---|---|
| Mva-N-1,0.0 | 25 | 0,55 | 4 Barras | 12 estribos @ 150 mm | 0,0 | |||||||||
| Mva-N-2,0.0 | ||||||||||||||
| Mva-N-3,0.3 | 8 estribos @ 250 mm | 0,3 | ||||||||||||
| Mva-N-4,0.3 | ||||||||||||||
| Mva-N-5,0.5 | 8 estribos @ 300 mm | 0,5 | ||||||||||||
| Mva-N-6,0.5 | ||||||||||||||
| Mva-N-7,0.7 | 6 estribos @ 350 mm | 0,7 | ||||||||||||
| Mva-N-8,0.7 | ||||||||||||||
| Mvb-N-9,0.0 | 35 | 0,35 | 12 estribos @ 150 mm | 0,0 | ||||||||||
| Mvb-N-10,0.0 | ||||||||||||||
| Mvb-N-11,0.2 | 8 estribos @ 250 mm | 0,2 | ||||||||||||
| Mvb-N-12,0.2 | ||||||||||||||
| Mvb-N-13,0.4 | 8 estribos @ 300 mm | 0,4 | ||||||||||||
| Mvb-N-14,0.4 | ||||||||||||||
| Mvb-N-15,0.6 | 6 estribos @ 350 mm | 0,6 | ||||||||||||
| Mvb-N-16,0.6 | ||||||||||||||
| Mva-N-17,0.7 | 25 | 0,55 | Sem estribos | 0,7 | ||||||||||
| Mva-N-18,0.7 | ||||||||||||||
| Mvb-N-19,0.6 | 35 | 0,35 | Sem estribos | 0,6 | ||||||||||
| Mvb-N-20,0.6 | ||||||||||||||
| Nomenclatura: Mva: Viga com f´c = 25 MPa Mvb: Viga com f´c = 35 MPa N-1, 2...20: Numeração das vigas 0,0, 0,2, ... 0,7:% de fibra em relação ao volume de concreto | ||||||||||||||
3. MÉtodo analÍtico para concreto sem fibras
3.1 Modelo proposto pelo Comitê 318 do Instituto Americano do Concreto (ACI 318-14)
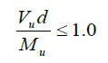
A resistência nominal ao cisalhamento para qualquer seção de uma viga de concreto armado é obtida de acordo com a seguinte equação:
![]() |
(1) |
Para vigas submetidas apenas a cisalhamento de tração diagonal, a resistência ao cisalhamento fornecida pelo concreto é a seguinte:
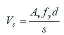
Além disso, a resistência ao cisalhamento fornecida pelos estribos é obtida da seguinte forma:
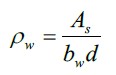
Nomenclatura:
bw = Largura da alma(mm).
d = Alcance efetivo da viga (mm).
f´c = Tensão de projeto na compressão especificada em 28 dias. (MPa).
fy = Tensão de escoamento do estribo (MPa).
s = Espaçamento entre estribos (mm).
As = Área de aço longitudinal (mm2).
Av = Área dos estribos (mm2).
Mu = Momento (kN.mm).
Vc = Resistência ao cisalhamento fornecida pelo concreto (kN).
Vn = Resistência ao cisalhamento teórica nominal (kN).
Vs = Resistência ao cisalhamento fornecida pelos estribos (kN).
Vu = Força de cisalhamento (kN).
ρw = Taxa de armadura longitudinal na alma.
λ = Fator de densidade do concreto = 1,0 para concreto de peso normal.
4. MÉtodos analíticos clÁssicos para concreto reforÇado com fibras
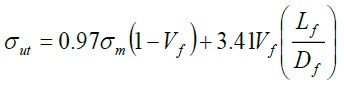
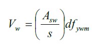
4.1 Modelo de Swamy (Swamy et al., 1974)
Este modelo caracteriza-se por ser um método simples e considera que em uma viga de concreto reforçado com fibras sem estribos. A determinação do cisalhamento último teórico pode ser realizada da seguinte forma:
A abordagem do modelo Swamy foi desenvolvida para determinar a tensão última de tração do concreto reforçado com fibras na flexão, com a intenção de não ter que fazer tantos ensaios em laboratório para determinar o resultado, portanto o modelo se propõe a ser obtido com a seguinte equação:
No caso da existência de estribos na viga, a contribuição para a resistência última ao cisalhamento obtida a partir da equação (13) é calculada com a seguinte equação:
Nomenclatura:
b = Largura da viga (mm).
d = Linha neutra efetiva da viga (mm).
fcm = Resistência a compressão do concreto reforçado com fibras (MPa).
fywm = Tensão nos estribos (MPa).
s = Espaçamento entre estribos (mm).
Asw = Área dos estribos (mm2).
Df = Diâmetro da fibra (mm).
Lf = Comprimento da fibra (mm).
Vf = Fração de volume de fibra.
Vw = Resistência ao cisalhamento fornecida pelos estribos (kN).
Vu = Resistência última ao cisalhamento teórico (kN).
σm = Resistência à tração do concreto reforçado com fibra (MPa).
σut = Tensão última de tração do concreto reforçado com fibra sujeito a flexão (MPa).
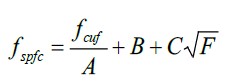
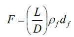
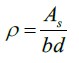
4.2 Modelo de Narayanan (Narayanan et al., 1987)
Este modelo considera três termos para o cálculo da resistência última ao cisalhamento teórico, o primeiro termo leva em consideração a contribuição da fibra de reforço ao concreto, o segundo termo considerará a ação do “segmento” que fornece a armadura longitudinal e, finalmente, o último termo propõe a contribuição da resistência à extração das fibras na fissuração diagonal. Desta forma, o modelo proposto é o seguinte:
Os fatores identificados que influenciam a resistência do concreto reforçado com fibras são a fração volumétrica da fibra, a relação de aspecto e a interface que existe entre a fibra e a matriz. A seguinte equação considera esses três fatores:
Nomenclatura:
a = Região de cisalhamento (mm).
b = Largura da viga (mm).
d = Linha neutra da viga (mm).
df = Fator de aderência de acordo com o tipo de fibra = 0,5 circular; 0,75 ondulado; 1 serrilhado.
e = Fator adimensional que leva em consideração a ação do efeito de arco.
fcuf = Resistência à compressão de concreto reforçado com fibra (MPa).
fspfc = Resistência à tração diametral de concreto reforçado com fibra (MPa).
A = Constante adimensional.
A´ = Constante adimensional = 0.24
As = Área de armadura longitudinal (mm2).
B = Constante = 0.7 MPa
B´ = Constante = 80 MPa
C = Constante = 1 MPa
F = Fator de fibra.
Vb = Força de arrancamento da fibra na rachadura (kN).
Vu = Resistência última ao cisalhamento teórico (kN).
ρf = Fração de volume de fibra.
ρ = Relação de armadura longitudinal.
τ = Força última de adesão = 4.15 MPa
5. Resultados e discussões
5.1 Estimativa de resistência última usando modelos analíticos
A Tabela 5 mostra os resultados da resistência nominal ao cisalhamento (Vn) obtida pelo modelo ACI 318-14 com as equações (1), (2) e (6). A resistência Vn é utilizada no dimensionamento ao cisalhamento de vigas de concreto armado e inclui a resistência proporcionada pelo concreto, pela armadura longitudinal e pelos estribos. Este modelo não considera a contribuição das fibras como reforço no concreto.
Existem estudos anteriores que propõem modelos analíticos baseados em resultados experimentais (Dinh et al., 2010, Aoude et al., 2012), e outros que analisam dados experimentais de várias fontes e utilizam um número significativo de modelos analíticos para fazer comparações, (Haisam, 2011). O objetivo deste estudo foi produzir uma experimentação científica própria que valide os modelos analíticos selecionados que são considerados clássicos na literatura, pois têm sido a base de tantos outros e que o mérito destes últimos reside apenas na personalização de alguma variável, sem ser uma modificação substancial do modelo original.
A Tabela 6 mostra os resultados experimentais das resistências à compressão e à tração de corpos de prova reforçados com fibras, que foram usados pelos modelos analíticos para a previsão da resistência última ao cisalhamento teórico. A resistência à compressão foi considerada como fcuf para o modelo de Narayanan. Da mesma forma, a resistência à tração foi considerada como fspfc para o modelo de Narayanan. Esses valores foram obtidos de forma padronizada conforme indicado anteriormente, portanto, alcançá-los não representa uma dificuldade significativa para a aplicação dos modelos estudados.
A Tabela 7 mostra os resultados obtidos a partir dos modelos analíticos selecionados para determinar a resistência última ao cisalhamento teórico.
5.2 Efeito do reforço de fibra em vigas de concreto armado em relação aos modelos teóricos.
A Tabela 8 mostra os resultados da resistência experimental ao cisalhamento das vigas de concreto reforçado com fibras com e sem estribos, as médias são obtidas para cada par de vigas ensaiadas em laboratório.
O efeito sobre a resistência última ao cisalhamento proporcionada pelo reforço com as fibras de aço fica evidente ao se comparar as tabelas 5, 7 e 8, porém, é conveniente fazer uma relação direta entre a resistência obtida experimentalmente e a resistência analítica. Na figura 2a esses valores são apresentados graficamente, os quais foram obtidos dividindo-se a coluna 3 da tabela 8 pela resistência nominal ao cisalhamento (equação 1) para a relação a/c = 0,55 e a figura 2b mostra os valores que foram obtidos por dividindo a coluna 6 da tabela 8 pela resistência nominal ao cisalhamento (equação 1) para a relação a/c = 0,35.
Para vigas com relação a/c = 0,55, a fibra aumenta em até 33% da resistência ao cisalhamento em comparação com a resistência nominal para Vf = 0,7%. No caso das vigas com relação a/c = 0,35, a contribuição das fibras é apenas 19% menos significativa para Vf = 0,6%. Este comportamento apresentado nos dois tipos de vigas pode ser devido ao fato de as fibras permitirem reduzir a largura das fissuras devido à tensão diagonal, promovendo uma redistribuição das tensões nos pilares, tornando-os mais eficientes.
A eficácia do reforço de fibra combinada com o uso de estribos já foi relatada, encontrando uma melhora na resistência última ao cisalhamento e na ductilidade (Sarhat et al., 2006). O uso de Vf de 0,5 e 1,5% foi mais eficaz do que aumentar a relação a/c. A Tabela 8 mostra ainda que as vigas com relação a/c = 0,55 para todos os volumes de fibra atingem uma resistência ao cisalhamento experimental maior do que as vigas de controle com a/c = 0,35, mesmo quando estas últimas têm a/c maior. Isso nos permite supor que para grandes volumes de fibra (> 0,5%), a relação a/c não parece ter um efeito significativo.
A Tabela 9 mostra os resultados experimentais da resistência última ao cisalhamento em comparação com os resultados teóricos obtidos a partir dos três modelos analíticos estudados. O efeito da relação a/c das vigas pode ser observado tanto para os resultados experimentais quanto teóricos, uma vez que a resistência ao cisalhamento aumenta em uma relação a/c menor. O melhor comportamento produzido pela combinação de estribos e fibras de aço em relação às vigas reforçadas com fibras sem estribos também é evidenciado por modelos analíticos.
A Tabela 9 mostra uma relação entre o valor experimental e o valor teórico para identificar o quanto a resistência última ao cisalhamento é superestimada. Os modelos analíticos de Swamy e Narayanan preveem valores em sua maioria maiores que a unidade, ou seja, subestimam os valores experimentais, sendo estes conservadores. Os três modelos apresentam valores semelhantes aos experimentais para ambas as relações a/c e para vigas reforçadas com fibras com estribos, porém, para as vigas sem estribos (17,18,19 e 20) a resistência ao cisalhamento é superestimada em todas para a relação a/c = 0,35. Da mesma forma, o efeito do volume da fibra também é modelado adequadamente, uma vez que registra o aumento na resistência última ao cisalhamento experimental à medida que aumenta o Vf fibra.
Os critérios conceituais com os quais os três modelos foram estabelecidos explicam a diferença em sua previsão dos valores experimentais, enquanto o modelo ACI tenta considerar as contribuições para a resistência última ao cisalhamento do concreto, das fibras e dos estribos caso os possuam, e até mesmo o efeito da força de arco. O modelo Swamy consideravelmente mais simples fornece valores mais conservadores do que os experimentais, e apenas o modelo de Narayanan considera a resistência à tração do concreto. Os dois últimos modelos consideram o efeito da relação de aspecto da fibra e a variação do Vf. Vale ressaltar que os modelos analíticos estudados não fornecem dados sobre os padrões de ductilidade e fissuração de vigas de concreto reforçado com fibras.
Da mesma forma, na tabela 9 pode-se observar que, analisando os resultados para as vigas sem estribos, o modelo de Narayanan superestima os valores e o modelo de Swamy faz o mesmo, mas está mais próximo da unidade.
O comportamento gráfico do anteriormente discutido é apresentado na figura 3, onde pode ser observada uma relação entre os resultados da resistência última ao cisalhamento experimental e os resultados dos modelos analíticos. Observa-se que a previsão dos valores obtidos nos modelos que se aproximam da diagonal é igual ao experimental, caso contrário, todos os valores abaixo desta diagonal são pouco conservadores. É o caso de alguns pontos do modelo de Narayanan que apresentam menor grau de aproximação em relação aos demais modelos analíticos propostos por Swamy e ACI. A maioria dos pontos plotados dos três modelos mostra similaridade em seus resultados e são considerados conservadores por estarem na diagonal.
5.3 Efeito da ação combinada de reforço com fibras de aço e estribos.
A Figura 5 mostra os resultados da resistência ao cisalhamento experimental das vigas de concreto reforçado com fibras sem estribos, mas com maior teor de fibra, e são comparados com as vigas de controle e os valores limites dos três modelos estudados.
Na figura 5 pode-se observar que para ambas as relações a/c a contribuição do teor máximo de fibra para a resistência ao cisalhamento experimental das vigas sem estribos (17, 18, 19 e 20) não foi suficiente para pelo menos igualar a resistência experimental das vigas de controle (1,2,9 e 10) que não possuem fibra, mas que possuem o maior número de estribos. Mesmo que apenas as vigas para a relação a/c = 0,55 atinjam a resistência teórica prevista pelos modelos, não sendo o caso das vigas com relação a/c = 0,35, isso pode ser devido ao fato de terem menos Vf e que o aumento da resistência do concreto não foi suficiente, porém, pode-se observar que o comportamento pós-fissuração nas vigas reforçadas apenas com fibras teve menor redução na resistência ao cisalhamento do que nas vigas apenas com estribos, isso se deve à adesão da fibra que permite a transferência de esforços. Os feixes de controle apresentam comportamento adequado e atingem o valor previsto pelo ACI.
Ao contrário, pode-se observar na figura 6 onde as vigas reforçadas com fibras com Vf máximo e com menor quantidade de estribos apresentaram maior resistência ao cisalhamento que as vigas de controle, mesmo ultrapassando significativamente os valores limites dos modelos. A contribuição das fibras em combinação com a metade da área da seção transversal de aço que as vigas de controle aumentaram a resistência última ao cisalhamento em relação à resistência nominal teórica e acabou sendo consideravelmente maior em comparação com os resultados obtidos para o controle vigas com maior número de estribos.
Do ponto de vista do comportamento estrutural do concreto armado, a presença de fibras de aço como reforço adicional para vigas com estribos, permite aumentar significativamente a resistência última ao cisalhamento, justificando-se a utilização de modelos analíticos que permitam predizer, com certeza, uma resistência teórica ao cisalhamento associada àquela obtida experimentalmente, e que é um auxílio de projeto para este tipo de elementos estruturais.
A presente pesquisa teve como objetivo mostrar que a resistência última ao cisalhamento aumenta substancialmente com o uso de fibras de aço e que, conhecendo modelos analíticos de simples aplicação, podem se tornar uma ferramenta útil para a análise e dimensionamento de vigas de concreto reforçado com fibras com estribos. e sem estribos. Nesta perspectiva, as conclusões que se aplicam de acordo com os resultados obtidos são apresentadas a seguir.
6. ConclusÕes
7. Agradecimentos
Agradecemos ao Consejo Nacional de Ciencia y Tecnología (CONACYT), pelo apoio financeiro para a bolsa para aluno de Mestrado. Além disso, agradecemos às autoridades do Instituto de Engenharia Civil “Dr. Raymundo Rivera Villarreal” da Faculdade de Engenharia Civil da UANL, pelo apoio na utilização das infraestruturas necessárias à realização dos ensaios experimentais.
REFERÊNCIAS
ACI 318S-14, (2014), Requisitos de Reglamento para Concreto Estructural y Comentarios, Instituto Americano del Concreto, ACI.
Ashour, S. A., Hasanain, G. S., Wafa, F. F. (1992), Shear Behavior of High-Strength Fiber Reinforced Concrete Beams, ACI Structural Journal, Vol. 89, No. 2, March-April, pp. 176 - 184.
Aoude, H., Belghiti, M., Cook, W. D., Mitchell, D. (2012), Response of steel fiber-reinforced concrete beams with and without stirrups, ACI Structural Journal, Vol. 109, No. 3, pp. 359-367.
ASTM International. (2018). ASTM C33 / C33M-18, Standard Specification for Concrete Aggregates. Annual Book of ASTM Standards, American Society of Testing Materials. https://doi.org/10.1520/C0033_C0033M-18
ASTM International. (2020). ASTM A615 / A615M-20, Standard Specification for Deformed and Plain Carbon-Steel Bars for Concrete Reinforcement. West Conshohocken, PA. https://doi.org/10.1520/A0615_A0615M-20
ASTM International. (2016). ASTM A820 / A820M-16, Standard Specification for Steel Fibers for Fiber-Reinforced Concrete. West Conshohocken, PA. https://doi.org/10.1520/A0820_A0820M-16
ASTM International. (2020). ASTM C143 / C143M-20, Standard Test Method for Slump of Hydraulic-Cement Concrete. West Conshohocken, PA. https://doi.org/10.1520/C0143_C0143M-20
ASTM International. (2019). ASTM C192 / C192M-19, Standard Practice for Making and Curing Concrete Test Specimens in the Laboratory, Annual Book of ASTM Standards, American Society of Testing Materials. https://doi.org/10.1520/C0192_C0192M-19
ASTM International. (2021). ASTM C39 / C39M-21, Standard Test Method for Compressive Strength of Cylindrical Concrete Specimens. West Conshohocken, PA. https://doi.org/10.1520/C0039_C0039M-21
ASTM International. (2017). ASTM C496 / C496M-17, Standard Test Method for Splitting Tensile Strength of Cylindrical Concrete Specimens. West Conshohocken, PA. https://doi.org/10.1520/C0496_C0496M-17
ASTM International. (2017a). ASTM C231 / C231M-17a, Standard Test Method for Air Content of Freshly Mixed Concrete by the Pressure Method. West Conshohocken, PA. https://doi.org/10.1520/C0231_C0231M-17A
Dinh, H. H., Parra-Montesinos, G. J., Wight, J. K. (2010), Shear behavior of steel fiber-reinforced concrete beams without stirrup reinforcement, ACI Structural Journal, Vol. 107, No. 5, pp. 597-606.
Dupont, D., Vandewalle, L. (2003), Shear Capacity of Concrete Beams Containing Longitudinal Reinforcement and Steel Fibers, ACI Structural Journal, Vol. 216, pp. 79 - 94.
Haisam, E. Y. (2011), Shear Stress Prediction: Steel Fiber - Reinforced Concrete Beams without Stirrups, ACI Structural Journal, Vol. 108, No. 3, May-June, pp. 304 - 314.
Juarez, C., Valdez, P., Durán, A., Sobolev, K. (2007), The diagonal tension behavior of fiber reinforced concrete beams, Cement & Concrete Composites, 29(5):402-408. https://doi.org/10.1016/j.cemconcomp.2006.12.009
Jun Z., Jingchao L., Liusheng C. and Fuqiang S. (2018), Experimental Study on Shear Behavior of Steel Fiber Reinforced Concrete Beams with High-Strength Reinforcement. Materials, 11 (9), 1682, pp. 1-19. https://doi.org/10.3390/ma11091682
Khuntia, M., Stojadinovic, B. (2001), Shear Strength of Reinforced Concrete Beams without Transverse Reinforcement, ACI Structural Journal, Vol. 98, No. 5, September-October, pp. 648 - 656.
Marì Bernat, A., Spinella, N., Recupero, A. (2020), Mechanical model for the shear strength of steel fiber reinforced concrete (SFRC) beams without stirrups. Materials and Structures. 53(28). https://doi.org/10.1617/s11527-020-01461-4
Narayanan, R., Darwish, I. Y. S. (1987), Use of Steel Fibers as Shear Reinforcement, ACI Structural Journal, 84 (3), May - June, pp. 216 - 226.
Organismo Nacional de Normalización y Certificación de la construcción y Edificación, S.C. (ONNCCE) (2017). NMX-C-414-ONNCCE: Industria de la Construcción - Cementos Hidráulicos - Especificaciones y Métodos de Prueba. Norma Mexicana.
Park, P., Paulay, T. (1990), “Estructuras de Concreto Reforzado”, Editoriales Limusa y Noriega, Nueva Edición, pp. 288 - 294. https://www.u-cursos.cl/usuario/7ed3df485e955c4de1ffa12120d4bb52/mi_blog/r/estructuras_de_concreto_reforzado_-_r._park___t._paulay.pdf
Sarhat, S. R., Abdul-Ahad, R. B. (2006), The Combined Use of Steel Fibers and Stirrups as Shear Reinforcement in Reinforced Concrete Beams, SP, American Concrete Institute, vol. 235, pp. 269 - 282.
Shin, S. W., Oh, J. G., Ghosh, S. K. (1994), Shear Behavior of Laboratory-Sized High Strength Concrete Beams Reinforced with Bars and Steel Fibers, American Concrete Institute, Volume 142. pp. 181-200.
Swamy, R. N., Bahía, H. M. (1985), The Effectiveness of Steel Fibers as Shear Reinforcement, Concrete International, Design and Construction, Vol. 7, No. 3, March, pp. 35 - 40.
Swamy, R. N., Mangat, P. S., Rao, C. V. S. K. (1974), The Mechanics of Fiber Reinforcement of Cement Matrices, Symposium Paper, American Concrete Institute, 44, pp. 1 - 28.
Swamy, R. N., Narayan, J., Roy Chiam, T. P. (1993), Influence of Steel Fibers on the Shear Resistance of Lightweight Concrete I - Beams, ACI Structural Journal, Vol.90, No. 1, January - February, pp. 103 - 114. https://doi.org/10.14359/4201

(2)

(3)

(4)

(5)

(6)

(7)

(8)

(9)

(10)

(11)

(12)

(13)

(14)

(15)

(16)

(17)

(18)
Tabela 5. Resistência nominal ao cisalhamento em vigas de concreto sem fibras com estribos equação (1) e sem estribos equação (2), para as duas relações a/c
Relação a/c
f´c MPa
Vc (eq. 2) kN
fy MPa
Vs kN
Vn (eq.1) kN
0.55
25
39.5
280
25.8
65.3
0.35
35
44.2
280
25.8
70.0
Tabela 6. Resistência à compressão e à tração de diferentes corpos de prova de concreto reforçado com fibra aos 28 dias de idade
Designação
Resistência à compressão MPa
Resistência à tração MPa
Designação
Resistência à compressão MPa
Resistência à tração MPa
Mva-N-1,0.0
28.5
2.5
Mvb-N-9,0.0
44.9
3.4
Mva-N-2,0.0
31.2
2.7
Mvb-N-10,0.0
46.4
3.8
Mva-N-3,0.3
29.5
3.2
Mvb-N-11,0.2
50.1
3.8
Mva-N-4,0.3
29.6
2.5
Mvb-N-12,0.2
37.2
3.4
Mva-N-5,0.5
30.2
3.2
Mvb-N-13,0.4
45.8
3.5
Mva-N-6,0.5
31.9
3.4
Mvb-N-14,0.4
51.7
3.7
Mva-N-7,0.7
31.5
3.2
Mvb-N-15,0.6
48.2
4.2
Mva-N-8,0.7
32.7
3.6
Mvb-N-16,0.6
46.1
3.9
Tabela 7. Resistência última ao cisalhamento teórico de vigas reforçadas com fibra para ambas as relações a/c.
Designação
Modelo de Swamy kN
Modelo de Narayanan kN
Designação
Modelo de Swamy kN
Modelo de Narayanan kN
Mva-N-1,0.0
-
-
Mvb-N-11,0.2
75,0
76,5
Mva-N-2,0.0
-
-
Mvb-N-12,0.2
75,0
76,5
Mva-N-3,0.3
68,2
70,6
Mvb-N-13,0.4
72,9
75,5
Mva-N-4,0.3
68,2
70,6
Mvb-N-14,0.4
72,9
75,5
Mva-N-5,0.5
66,1
69,9
Mvb-N-15,0.6
71,4
76,6
Mva-N-6,0.5
66,1
69,9
Mvb-N-16,0.6
71,4
76,6
Mva-N-7,0.7
64,7
69,9
Mva-N-17,0.7
53,6
58,9
Mva-N-8,0.7
64,7
69,9
Mva-N-18,0.7
53,6
58,9
Mvb-N-9,0.0
-
-
Mvb-N-19,0.6
60,4
64,6
Mvb-N-10,0.0
-
-
Mvb-N-20,0.6
60,4
64,6
Tabela 8. Resistência experimental ao cisalhamento em vigas de concreto reforçado com fibras, para as duas relações a/c
Designação
Vuexp kN
Média kN
Designação
Vuexp kN
Média kN
Mva-N-1,0.0
68,9
67,3
Mvb-N-11,0.2
74,5
74,7
Mva-N-2,0.0
65,6
Mvb-N-12,0.2
74,9
Mva-N-3,0.3
75,9
76,1
Mvb-N-13,0.4
80,6
80,9
Mva-N-4,0.3
76,2
Mvb-N-14,0.4
81,2
Mva-N-5,0.5
83,0
84,4
Mvb-N-15,0.6
87,2
83,2
Mva-N-6,0.5
85,7
Mvb-N-16,0.6
79,1
Mva-N-7,0.7
83,6
86,7
Mva-N-17,0.7
52,8
56,9
Mva-N-8,0.7
89,7
Mva-N-18,0.7
60,9
Mvb-N-9,0.0
68,6
69,1
Mvb-N-19,0.6
53,4
51,5
Mvb-N-10,0.0
69,6
Mvb-N-20,0.6
49,6
Tabela 9. Relação da resistência ao cisalhamento experimental entre a resistência ao cisalhamento analítica obtida de cada modelo


Figura 5.
Comportamento de vigas reforçadas com fibra sem estribos em comparação com vigas de controle. (a) Relação a/c = 0,55. (b) Relação a/c = 0,35.

Figura 6.
Comportamento de vigas reforçadas com fibras com o mínimo de estribos em relação às vigas de controle. (a) Relação a/c = 0,55. (b) Relação a/c = 0,35.