
| Pesquisa Documental | https://doi.org/10.21041/ra.v11i3.531 |
Documentação das manifestações patológicas do Pórtico do Batismo Cultural de Goiânia - monumento histórico Art Déco
Documentation of the pathological manifestations of the Portico of the Cultural Baptism of Goiânia - Art Déco historical monument
Documentación de las manifestaciones patológicas del Pórtico del Bautismo Cultural de Goiânia - monumento histórico Art Déco
T. L.
Pio Santos1
*
, P. F.
Silva1
1 Instituto Federal de Goiá, R. São Bartolomeu, s/n - Vila Esperança, Luziânia - GO, 72811-580, Brasil.
*Contact author: taislara.19@gmail.com
Recepção: 19 de fevereiro de 2021.
Aceitação: 03 de agosto de 2021.
Publicação: 01 de setembro de 2021.
| Citar como: Pio Santos, T. L., Silva Júnior, P. F. (2021), "Documentação das manifestações patológicas do Pórtico do Batismo Cultural de Goiânia - monumento histórico Art Déco", Revista ALCONPAT, 11 (3), pp. 108 – 122, DOI: https://doi.org/10.21041/ra.v11i3.531 |
Resumo
Este artigo tem o objetivo de apresentar a metodologia para a inspeção e o mapeamento das manifestações patológicas no monumento Pórtico do Batismo Cultural de Goiânia. É um monumento do início dos anos 40 do século XX, representante do estilo arquitetônico art déco. No ano de 2003 esse monumento foi tombado pelo Instituto do Patrimônio Histórico e Artístico Nacional, porém apesar do seu inestimável valor histórico, a estrutura apresenta diversas manifestações patológicas. Para alcançar esse objetivo foram realizados os seguintes procedimentos: (1) inspeção visual; (2) registro fotográfico; (3) anamnese e (4) ensaios. Os ensaios realizados foram esclerometria, pacometria e medição de deformações. As principais manifestações patológicas identificadas foram fissuração, destacamento de argamassa, corrosão de armaduras e deformação.
Palavras-chave:
manifestações patológicas,
diagnóstico,
monumento histórico,
art déco.
Abstract
This article aims to present the methodology for the inspection and mapping of pathological manifestations of the Portico of Cultural Baptism of Goiânia. It is a monument from the beginning of the 1940s, representative of the Art Deco architectural style. In 2003 this monument was listed by the National Historical and Artistic Heritage Institute, but despite its invaluable historical importance, the structure has several pathological manifestations. To achieve this objective, the following procedures were performed: (1) visual inspection; (2) photographic record; (3) anamnesis and (4) trials. The tests performed were sclerometer, cover meter, and strain measurement. The main pathological manifestations identified were cracking, mortar detachment, reinforcement corrosion and excessive deformation.
Keywords:
pathological manifestations,
diagnosis,
historical monument,
art déco.
Resumen
Este artículo tiene como objetivo presentar la metodología para la inspección y el mapeo de las manifestaciones patológicas en el monumento del Pórtico del Bautismo Cultural de Goiânia. Es un monumento de principios de los años 40 del siglo XX, representativo del estilo arquitectónico art decó. En 2003 este monumento fue catalogado por el Instituto Nacional del Patrimonio Histórico y Artístico, pero a pesar de su invaluable valor histórico, la estructura tiene varias manifestaciones patológicas. Para lograr este objetivo, se realizaron los siguientes procedimientos: (1) inspección visual; (2) registro fotográfico; (3) anamnesis y (4) ensayos. Las pruebas realizadas fueron esclerometría, pacometría y medición de deformación. Las principales manifestaciones patológicas identificadas fueron agrietamiento, desprendimiento de mortero, corrosión de refuerzos y deformación excesiva.
Palabras clave:
manifestaciones patológicas,
diagnóstico,
monumento histórico,
art déco.
1. IntroduÇÃo
O patrimônio arquitetônico é uma das provas da presença da história nas cidades e da sua importância na sociedade. É um capital social e cultural. Visto isso, é necessário que os patrimônios sejam preservados, restaurados e que sejam previstas rotinas de manutenção e intervenção quando for pertinente.
Tendo em vista que cidades novas se definem pela sua rápida transformação, garantir que valores históricos e/ou artístico sejam preservados é inquestionável. A memória e a identidade cultural de um povo somente se constituem por intermédio desses valores, logo o Patrimônio Cultural exprime o testemunho da constituição de um povo, ou seja, os produtos e as marcas das diferentes culturas, por fim proporciona ainda a transmissão de identidade e significados as gerações futuras (Barbosa et al., 2011; Tavares, 2011).
O conceito de desempenho se faz importante nessa questão, uma vez que o mesmo diz respeito à capacidade da edificação de permanecer em plenas condições de utilização durante sua vida útil, sendo possível estabelecer uma íntima ligação entre o desempenho e medidas preventivas. Com o tempo a estrutura perde sua capacidade inicial, assim a não realização de manutenções periódicas acarreta na diminuição da vida útil de serviço (Medeiros et. al.,2011).
Nas edificações históricas a realização de um diagnóstico correto de suas manifestações patológicas é um desafio devido à falta de manutenção, medidas preventivas, ou por terem tido restaurações ineficientes ao longo dos anos. Desse modo, essas edificações históricas estão passíveis a diversos problemas distintos. O estudo dos danos, com a realização de ensaios de campo ou em laboratórios torna-se então imprescindível (Tavares, 2011).
O monumento histórico do presente estudo trata-se de um Pórtico construído para o Batismo Cultural da cidade de Goiânia. De acordo com Galli (2007), o Batismo Cultural ocorreu no dia 5 de julho de 1942 e correspondeu a uma programação de eventos com o propósito de realizar a inauguração da nova capital do estado de Goiás.
O Pórtico foi construído com o conceito de arquitetura art déco. Esse estilo de caráter decorativo surgiu na França e se difundiu no Brasil no período das décadas de 1930 e 1940 (Correia, 2008). Devido a sua importância histórica e arquitetônica, o monumento foi tombado pelo Instituto do Patrimônio Histórico e Artístico Nacional (IPHAN) por meio da Portaria nº 507, de 18 de novembro de 2003.
O Pórtico tornou-se uma obra representativa e simbólica do estilo art decó, isto se demonstra pela sua presença em: imãs de geladeiras, no Guia Turístico do Art Déco em Goiânia e em folder de divulgação de eventos sobre art déco, como é ilustrado nas Figuras 1, 2 e 3.
![]() |
||||
| Figura 1. Pórtico ilustrado em um imã de geladeira | ||||
![]() |
||||
| Figura 2. Pórtico em destaque no guia turístico art déco Goiânia | ||||
![]() |
||||
| Figura 3. Pórtico no folder de divulgação de evento sobre art déco Goiânia. | ||||
No caso da estrutura abordada duas questões importantes conduzem o estudo, a importância de levantar e diagnosticar as manifestações patológicas existentes para a sua segurança e a reabilitação da sua visibilidade arquitetônica, restituindo a importância estética do bem.
2. Procedimento
O método proposto para a inspeção do objeto de estudo apoiou-se na metodologia de Lichtenstein (1986) iniciando-se com o levantamento de subsídios para posterior construção do diagnóstico. Foram realizadas: inspeção visual, anamnese e ensaios. A escolha pelo método se deu considerando que o mesmo é disponível e difundido no país, possibilitando segmentação da análise.
2.1 Objeto de estudo
O objeto de estudo é o Pórtico alusivo ao Batismo Cultural de Goiânia localizado no Câmpus Goiânia do Instituto Federal de Goiás (IFG).
O Pórtico é uma estrutura em concreto armado revestida com argamassa. A estrutura é composta por dois pilares de aproximadamente 12 m de altura e uma laje esbelta de formato elipsoidal com espessura em torno de 8 cm. Os pilares são semelhantes, cada pilar dispõe em seu topo e sua base, respectivamente, de três e sete frisos equidistantes entre si como se pode observar na Figura 4.
![]() |
||||
| Figura 4. Vista do Pórtico do Batismo Cultural de Goiânia em 1942, à esquerda (Galli, 2007) e em 2002 (Acervo do IFG) | ||||
Uma característica típica do estilo art déco observada na arquitetura do Pórtico é o uso da aerodinâmica e da sinuosidade. Nos pilares do Pórtico observam-se semelhanças com a geometria das chaminés dos transatlânticos do século XX, característica típica da vertente streamlined do estilo art déco. Outra característica observada é o uso do concreto armado como objeto de destaque, trazendo volume à estrutura, transmitindo a sensação de grandiosidade e modernidade.
São exemplos marcantes de edificação art decó os aeroportos Santos Dumont no Rio de Janeiro e o Aeroporto de Congonhas em São Paulo.
2.2 Levantamento de subsídios
O levantamento de subsídios teve como finalidade realizar a coleta de documentos referentes ao Pórtico, verificar as manifestações patológicas presentes, além da realização de ensaios na estrutura.
2.2.1 Inspeção Visual
Foi feita uma vistoria no local para uma análise visual; ocasião em que se fez um registro fotográfico do Pórtico, visando com isso fazer o levantamento de manifestações patológicas incidentes; além de efetuar a aferição das dimensões da estrutura.
Para a realização da inspeção nomeou-se o os pilares do Pórtico como Norte e Sul (baseando-se na orientação da rosa dos ventos) conforme mostrado na Figura 5. Cada pilar teve também suas faces identificadas como Norte, Sul, Leste e Oeste como é indicado pela Figura 6.
![]() |
||||
| Figura 5. Planta baixa Pórtico | ||||
![]() |
||||
| Figura 6. Vista das faces dos pilares | ||||
2.2.2 Anamnese
A etapa da anamnese teve como propósito colher o maior número possível de informações para compreender o histórico da estrutura e, com isto, obter um diagnóstico mais preciso das manifestações patológicas encontradas no Pórtico.
Foram solicitados ao IFG documentos técnicos como projetos, planos de manutenção e relatórios dos acompanhamentos das manutenções já realizados.
2.2.3 Ensaios complementares
Os ensaios foram executados para levantamento de dados e efetuação de uma análise mais aprofundada complementar a inspeção visual. Por se tratar de uma estrutura histórica e tombada, buscou-se proceder à análise através de ensaios não destrutivos para não causar dano a estrutura. Foram realizados os ensaios de esclerometria, pacometria e verificação da flecha.
O ensaio de esclerometria foi realizado na parte superior da laje, em circunstância da parte inferior se encontrar em difícil acesso, com a presença de escoras que inviabilizaram a operacionalidade do ensaio.
A execução do ensaio seguiu as diretrizes da norma NBR 7584 (ABNT, 2012).
O ensaio de esclerometria foi executado em quatro regiões da laje. Buscaram-se locais em que não havia segregação do concreto e apresentassem superfícies homogêneas e regulares. Na Figura 7 é mostrada a execução do ensaio e na Figura 8 tem-se a ilustração da localização das áreas ensaiadas juntamente com suas dimensões.
![]() |
||||
| Figura 7. Execução do ensaio de esclerometria | ||||
![]() |
||||
| Figura 8. Localização das áreas ensaiadas para o ensaio de esclerometria | ||||
Também foi realizado o ensaio de pacometria que teve como intuito obter informações acerca da localização da armadura da laje, assim como verificar o cobrimento do concreto armado. As áreas escolhidas para a realização do ensaio foram aquelas que apresentavam melhores condições para a leitura do aparelho, ou seja, áreas que estavam livres de bolor e sujidades.
Na Figura 9 é mostrado o ensaio sendo efetuado.
![]() |
||||
| Figura 9. Execução do ensaio de pacometria | ||||
Por fim, realizou a verificação das flechas presentes na laje. Foram coletadas medidas a partir de um nível referencial e com auxílio de uma mangueira de nível e uma trena, foram coletados pontos na parte em balanço e entre os pilares.
3. Resultados e discussões
3.1 Análise da inspeção visual
A partir da inspeção visual, foi possível perceber que a laje em sua parte inferior apresenta em alguns locais destacamentos do concreto (Figura 10) que ocorreu em consequência da corrosão das armaduras.
![]() |
||||
| Figura 10. Destacamento do concreto na parte inferior da laje | ||||
Como é mostrado na Figura 11 observou-se na laje grande presença de mofo e sujidade. O mofo se prolifera em ambientes úmidos, quentes e com pouca luminosidade, esse ambiente pode ter sido construído devido à presença de árvores próximas a estrutura. Também foi observada a presença de sujidade ou crosta negra, que foram ocasionadas pelo acúmulo de poeira, fuligens e partículas poluentes, oriundas da queima de combustível fósseis dos motores à combustão dos veículos, trazidas pela água das chuvas ou pela ação do vento.
![]() |
||||
| Figura 11. Presença de mofo e sujidade na laje | ||||
Parte da borda da laje estava destacada, isso decorreu do processo de carbonatação e corrosão das armaduras ocorrido na sua região armada. Conforme o processo de carbonatação evoluiu no decorrer do tempo, a fissuração da estrutura provocou a sua movimentação culminando no destacamento da argamassa nas suas extremidades (Figura 12).
![]() |
||||
| Figura 12. Destacamento da borda da laje | ||||
A pintura da laje se mostrou bastante danificada, exibindo regiões com destacamento provavelmente pela aplicação de pintura sobre uma camada já existente (foi observada outra camada de pintura de cor distinta da cor visível que foi aplicada anteriormente), prejudicando a aderência entre as películas de pintura. No processo de falta de aderência a incidência da chuva e umidade são agravantes (Figura 13).
![]() |
||||
| Figura 13. Destacamento da pintura da laje | ||||
Nos pilares foram verificadas manifestações patológicas referentes ao acabamento. Não foram detectadas manifestações de caráter estrutural, o que dispensou a realização de ensaios para aferição da resistência do concreto e localização de armaduras como esclerometria e pacometria. Além disso, os pilares não possuem concreto aparente e para a realização dos ensaios seria preciso remover as camadas de revestimento da superfície, causando a deterioração do monumento histórico, o que diverge do foco do trabalho.
Outra manifestação notada nos pilares foi a presença de sujidade, como é exibida na Figura 14. Este fator deve-se, principalmente à falta de impermeabilização e mecanismos de escoamento no topo do pilar, que acumulou fuligem e poeira trazida pelo vento. Conforme notado na laje, nos pilares também houve o destacamento da pintura, sendo que a cor visível se encontra também sobre outra demão de tinta anteriormente aplicada (de tonalidade verde), comprometendo a aderência.
![]() |
||||
| Figura 14. Sujidade e destacamento da pintura no topo do pilar | ||||
A descoloração da pintura foi verificada podendo ter sido causada principalmente pelo envelhecimento natural desta. Outros fatores como uso da tinta de coloração amarela, mais suscetível aos raios ultravioleta, uma vez que o pilar sofre alta incidência aos raios solares, também podem ter agravado o processo de descoloração. Foram percebidas fissuras na base dos pilares causadas possivelmente pela retração de materiais cimentícios ocasionada pela perda de água por evaporação em estado fresco ou endurecido e pela variação da temperatura devido à alta incidência da luz solar (Figura 15). Foram notadas bolhas na pintura dos pilares causadas pela presença de umidade (que podem terem sido absorvidas pelas fissuras no emboço, e da pressão hidrostática causada quando a sua evaporação pelos poros da argamassa, rompendo e “empurrando” a película de pintura), falta de aderência e possíveis falhas de aplicação como execução de camada espessa, sob condições extremas de calor em superfície suja e não preparada para aplicação.
![]() |
||||
| Figura 15. Incidência de fissuras e descoloração da pintura | ||||
3.2 Análise da anamnese
Foram fornecidos pela Diretoria de Projetos e Infraestrutura do IFG e pela Gerência de Administração e Manutenção do IFG Câmpus Goiânia: projeto de escoramento da laje datado de 2013; projeto de reforço datado de 2014; resultado do ensaio de esclerometria datado de 2013; e relatório técnico de avaliação da laje do Pórtico datado de 2019;
Em relação aos planos de manutenção e relatórios dos acompanhamentos das manutenções, foi relatado que estes não existiam, assim como o projeto original do Pórtico. Próximo ao Pórtico foi encontrado uma placa (Figura 16) indicando que este foi restaurado em seu 60º aniversário, no ano de 2002, porém não há registros que detalham como ocorreu essa intervenção.
![]() |
||||
| Figura 16. Placa de identificação do Pórtico | ||||
O projeto de escoramento foi efetuado na laje em decorrência das condições de deterioração nas quais esta se encontrava em 2013. Já o projeto de reforço feito em 2014 propõe intervenções na área de aço e reforço do concreto com grauteamento e aumento de espessura da laje. No entanto, o projeto nunca foi executado.
O resultado do ensaio de esclerometria, realizado em 2013 pelo Laboratório Carlos Campos Consultoria e Construções Ltda, em apenas uma região obteve como resultado índice esclerométrico médio igual a 29, indicando 22 MPa como resistência à compressão do concreto.
Cascudo (2019), para a produção do relatório técnico, realizou duas inspeções na laje do Pórtico intituladas de preliminar e detalhada. Enquanto a preliminar designou a análise visual, a detalhada correspondeu a realização dos ensaios de esclerometria, ultrassom, resistividade elétrica, potencial de corrosão e da carbonatação do concreto.
Assim como foi observado na inspeção visual, Cascudo (2019) também constatou a corrosão das armaduras em alguns trechos da laje, presença de mofo, sujidade e degradação do sistema de pintura. O autor ainda identificou deformações visíveis na laje e atribuiu estas à corrosão de parte das armaduras de flexão, que se procedeu devido à esbeltez da laje e à baixa inércia que, associadas com a corrosão das armaduras, proporcionam fortes e imediatos impactos na laje.
No ensaio de esclerometria, Cascudo (2019) avaliou 10 regiões da laje, denominadas de E1 a E10 e obteve valores de IE entre 21 e 30 e valores para resistência do concreto entre 14 MPa e 24 MPa. Em relação ao ensaio de ultrassom, Cascudo (2019) realizou oito medidas de velocidade ultrassônica sendo que quatro alcançaram valores inferiores a 2500 m/s. Tais valores classificam, de acordo com a norma britânica BS 1881 (BSI, 2001), o concreto como ruim. Uma dessas medidas obteve valor inferior a 2000 m/s que segundo a BS 1881 (BSI,2001) configura um concreto péssimo. Por fim, foi concluído que esses valores baixos correlacionam com um alto índice de vazios, que é compatível para um concreto de resistência estimada de 14 MPa a 24 MPa. A baixa velocidade ultrassônica ainda é justificada pela presença de fissuras, uma vez que estas provocam aumento no tempo de propagação das ondas. Observa-se que os valores estimados são baixos em relação aos valores exigidos pelas normas vigentes atualmente, porém para a época da construção da estrutura se enquadra em valores aceitáveis. Cascudo (2019) ainda afirma que provavelmente existem microfissuras na estrutura interna da laje.
No ensaio de carbonatação do concreto realizado por Cascudo (2019) em dois corpos de prova, ambos extraídos da região central da laje, foi possível observar visualmente os efeitos de uma carbonatação que foi constatada em grau avançado.
3.3 Análise do ensaio de esclerometria
Por meio do ensaio de esclerometria se obteve índices a partir dos dois equipamentos utilizados que variaram de 23,7 a 28,7, gerando uma variação de resistência em MPa de 17,0 a 23,4.
Na Figura 17 tem-se o gráfico com os valores de resistência à compressão, obtidos do ensaio de esclerometria realizados na estrutura durante o processo de anamnese e os efetuados nesta pesquisa. Os valores apresentados são uma média das resistências à compressão de áreas ensaiadas por evento de ensaio. Pode-se observar pelo gráfico que os resultados encontrados convergem para um valor médio de resistência estimada de 20 MPa, apesar dos ensaios terem sido realizados em datas distintas e por diferentes operadores.
Acerca dos padrões normativos para a resistência mínima de estruturas de concreto, uma vez que não há informações sobre o projeto estrutural do pórtico, sabendo que a norma NB-1 - Cálculo e Execução de Concreto Armado (ABNT, 1940), vigente na época em que a estrutura foi construída, preconiza uma resistência mínima para estruturas de concreto de 125 kgf/cm², ou seja, de 12,5 MPa. Já a norma vigente atualmente NBR 6118 - Projeto de estruturas de concreto - Procedimento (ABNT, 2014) prevê resistência mínima para estruturas de concreto de 20 MPa. Desse modo, apresenta-se também no gráfico da Figura 17 uma comparação entre os resultados estimados de resistência à compressão do concreto, obtidos em diferentes ensaios de esclerometria, com os valores mínimos de resistência característica do concreto à compressão (fck) recomendados pela norma de estrutura de concreto vigente na época da construção do Pórtico e atualmente.
![]() |
||||
| Figura 17. Gráfico comparativo de resistências obtidas com a exigências normativas | ||||
A partir do ensaio de pacometria foi possível mapear e identificar locais onde há armadura e em quais profundidades que estas se encontram. A partir desses valores se identificou que a maioria das armaduras possuía uma ineficiência no cobrimento da laje em relação a exigência da norma NBR 6118 (ABNT, 2014). De acordo com a classe de agressividade ambiental na qual a estrutura se encaixa o cobrimento deveria ser de no mínimo 2,5 cm, o que não ocorre em algumas regiões da laje que chegaram a ter 1,1 cm.
A norma vigente na época da construção do pórtico NB-1 (ABNT,1940) prevê que lajes expostas ao ar livre devem ter no mínimo 1,5 cm de cobrimento, o que demonstra também que para algumas regiões da laje o cobrimento é insuficiente.
Foi observado em alguns locais o valor de “0”, de acordo com o equipamento significa ausência de profundidade, ou seja, indicaria que a armadura está superficial e sem cobrimento, no entanto o mesmo não foi observado visualmente.
3.4 Análise da verificação da flecha
A verificação da flecha foi executada colhendo-se as cotas a partir de um nível referencial de 2,0 metros nos pontos presentes na Tabela 1.
| Tabela 1. Valores referentes as cotas encontradas nos pontos | ||||||||||||||
| PONTO | COTA (cm) | |||||||||||||
|---|---|---|---|---|---|---|---|---|---|---|---|---|---|---|
| A | 193,7 | |||||||||||||
| B | 200,7 | |||||||||||||
| C | 198,8 | |||||||||||||
| D | 196,1 | |||||||||||||
| E | 199,0 | |||||||||||||
| F | 199,2 | |||||||||||||
| G | 193,8 | |||||||||||||
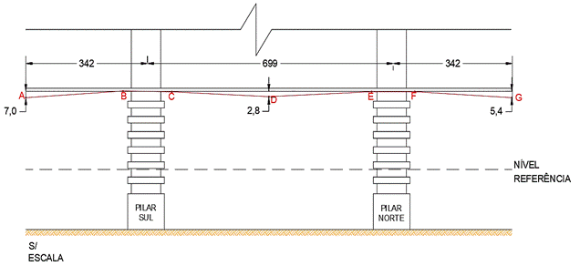
As flechas verificadas na laje foram obtidas por meio da diferença de cotas sendo no balanço do lado esquerdo, a diferença entre as cotas A e B, na região central, a média aritmética entre a diferença dos pontos C e D e a diferença dos pontos D e E, enquanto que no balanço do lado direito se dá pela diferença entre os pontos F e G. Encontra-se na Tabela 2 os valores obtidos e a sua representação (exagerada) na Figura 18.
| Tabela 2. Valores de flechas obtidos | ||||||||||||||
| LOCAL | VALOR (cm) | |||||||||||||
|---|---|---|---|---|---|---|---|---|---|---|---|---|---|---|
| Flecha do balanço do lado esquerdo | 7,0 | |||||||||||||
| Flecha da região central | 2,8 | |||||||||||||
| Flecha do balanço do lado direito | 5,4 | |||||||||||||
A verificação da flecha limite permitidas foi realizada levando-se em consideração o vão livre, conforme preconiza a NBR 6118 (ABNT, 2014) para aceitabilidade sensorial e limitação visual. A equação (1) designa a equação fornecida pela norma.
![]() |
(1) |
Sendo l o vão e D o deslocamento limite. No caso de lajes em balanço, o vão equivalente a ser considerado deve ser o dobro do comprimento do balanço (distância entre o apoio e a extremidade da laje), obtendo a equação (2).
![]() |
(2) |
Por meio das Equações (1) e (2) obtêm para região em balanço o deslocamento limite de 2,74 cm e para a região do vão central o deslocamento limite de 2,80 cm.
Observa-se então que ambas as regiões em balanço cujas flechas máximas são de 7,0 cm no ponto “A” e 5,4 cm no ponto “B” estão muito acima do permitido pela norma NBR 6118 (ABNT, 2014).
Tem-se para a região central a flecha encontrada no ponto “D” valor de 2,80 cm, que equivale ao permitido pela exigência normativa.
Devido à falta de manutenções preventivas e corretivas ao longo do tempo a estrutura sofreu deformações excessivas, de forma que os valores das flechas verificados nas regiões de balanço demonstram que a mesma se encontra fora de seus limites de serviço.
Vale ressaltar que por se tratar de uma estrutura antiga, com mais de 70 anos, a fluência do concreto pode ter sido um dos motivos que contribuiu para deformação total da laje, no entanto isso não foi considerado no presente estudo.
![]() |
||||
| Figura 18. Representação das maiores flechas verificadas | ||||
4. Conclusões
O monumento histórico apresenta-se bastante degradado e isto decorre, principalmente, por ausência de um plano de manutenção preventiva. Por meio da inspeção visual pode-se constatar do quão se encontra comprometida a representatividade arquitetônica do pórtico. A estrutura se encontra rodeada por árvores que impossibilitam sua visibilidade plena e por dispositivos de segurança (empregados devido ao nível avançado de deterioração) que prejudicam a estética como escoras e tapumes. Quanto às manifestações patológicas são fatores determinantes para o aparecimento destas:
A análise da anamnese permitiu constatar que são poucas as informações existentes sobre a estrutura e o que dificultou a análise precisa das causas e origens das manifestações patológicas.
Os ensaios de esclerometria apontaram para a baixa resistência do concreto, enquanto o ensaio de pacometria acusou problemas de cobrimento. Ambos os resultados reforçam os danos estruturais que acometem a estrutura já perceptíveis na inspeção visual.
Por fim, é imprescindível que o Pórtico alusivo ao Batismo Cultural de Goiânia mantenha suas funções, tanto como estrutura quanto monumento histórico e arquitetônico. Para isso, faz-se necessário a elaborações de planos de manutenções, para que assim seja possível garantir a vida útil da estrutura.
5. Agradecimentos
Os autores reconhecem e agradecem o apoio do Instituto Federal de Goiás (IFG).
REFERÊNCIAS
Associação Brasileira de Normas Técnicas (1940). ABNT NB-1: Cálculo e execução de obras de concreto armado - Procedimentos. Rio de Janeiro.
Associação Brasileira de Normas Técnicas (2014). ABNT NBR 6118: Projeto de estruturas de concreto - Procedimento. Rio de Janeiro.
Associação Brasileira de Normas Técnicas(2012) (7584). ABNT NBR 6118: Concreto endurecido - Avaliação da dureza superficial pelo esclerômetro de reflexão - Método de ensaio. Rio de Janeiro.
Barbosa, P. P. et al. (2011). Patrimônio Histórico em cidades novas: o caso de Maringá, PR . Maringá in: XIV Seminário de arquitetura latino-americana. Campinas, São Paulo (BR). pp. 16 - 31.
Brasil. Ministério do estado da cultura (2003). Portaria nº 507, de 18 de novembro de 2003. Diário Oficial da União: seção 1, Brasília, DF, ano 228, p.30, 18 nov.
Britsh Standars Institution (2001). BS 1881: Testing concrete. London.
Cascudo, O. (2019). Avaliação de laje em concreto armado constituinte do pórtico de entrada lateral do IFG - Câmpus Goiânia. Goiânia: UFG, 2019. 38 p.
Correia T. B, (2008), Art déco e indústria: Brasil décadas de 1930 e 1940. Na An. mus. paul.vol.16 no.2 São Paulo July/Dec. https://doi.org/10.1590/S0101-47142008000200003
Galli, U. (2007). A história do batismo cultural de Goiânia. Goiânia: Ed. UCG/ Contato Comunicações, p. 98.
Medeiros, M. H. F.; Andrade, J. J. O.; Helene P. (2011). Cápitulo 22: Durabilidade e Vida Útil das Estruturas de Concreto in: Geraldo Isaia (Org.). Concreto: Ciência e Tecnologia. 1 ed. São Paulo: IBRACON. p. 37.
Tavares, F. M. (2011). Metodologia de diagnóstico para restauração de edifícios dos séculos XVIII e XIX nas primeiras zonas de mineração em Minas Gerais. Faculdade de Engenharia, Universidade Federal de Juiz de Fora, Juiz de Fora, 98 p.