
| Pesquisa Aplicada | https://doi.org/10.21041/ra.v10i1.426 |
Concreto reforçado com fibras poliméricas exposto ao fogo
Polymeric fiber reinforced concrete exposed to fire
Hormigón reforzado con fibras poliméricas expuesto al fuego
D. M.
Dias1
*
,
J. L.
Calmon1
, G. L. Vieira1
1 Universidade Federal do Espírito Santo, Vitória-ES, Brasil.
*Autor de Contato: btutikian@terra.com.br
Recepção: 01 de julho de 2019.
Aceitação: 27 de novembro de 2019.
Publicação: 30 de dezembro de 2019
| Citar como: Dias, D. M., Calmon, J. L. Vieira, G. L. (2020), ”Concreto reforçado com fibras poliméricas exposto ao fogo”, Revista ALCONPAT, 10 (1), pp. 36 – 52, DOI: https://doi.org/10.21041/ra.v10i1.426 |
RESUMO
O objetivo desse trabalho foi investigar a influência da adição de fibras poliméricas de polipropileno, poliéster, poliamida, aramida e polpa de aramida no comportamento de concretos submetidos a temperaturas elevadas. Para tanto, corpos de prova com adições de fibras a uma taxa de 2kg/m3 foram produzidos e submetidos a mufla, bem como a altas temperaturas através de teste de fogo direto em grelha. Protótipos também foram construídos e submetidos a simulador de incêndio real pertencente ao Corpo de Bombeiros do Espírito Santo - Brasil. Propriedades microestruturais e mecânicas foram analisadas. Observou-se que as fibras podem influenciar as propriedades do concreto e que os ensaios de teste de fogo com carga de incêndio padrão podem ser uma alternativa ou complementar análise de concreto submetido a temperaturas elevadas.
Palavras-chave:
Concreto reforçado,
fibras poliméricas,
altas temperaturas,
incêndio,
propriedades mecânicas
ABSTRACT
The aim of this work was to investigate the influence of the addition of polypropylene, polyester, polyamide, aramid and aramid pulp fibers on the behavior of concretes subjected to high temperatures. For that, test specimens with fiber additions were made at a rate of 2 kg/m3 and submitted to temperatures in furnace, as well as to high temperatures through direct fire test. Columns were also built and subjected to a live fire simulator belonging to the Espírito Santo Fire Department - Brazil. Microstructural and mechanical properties were analyzed. It has been observed that the fibers may influence the properties of the concrete and that fire tests with standard fire load may be an alternative or complementary analysis of concrete subjected to elevated temperatures.
Keywords:
Reinforced concrete,
polymeric fibers,
high temperatures,
fire,
mechanical properties
RESUMEN
El objetivo de este trabajo fue investigar la influencia de la adición de fibras poliméricas de polipropileno, poliéster, poliamida, aramida y pulpa de aramida en el comportamiento de hormigones sometidos a temperaturas elevadas. Las probetas con adiciones de fibras a una tasa de 2 kg/m3 fueron producidas y sometidas a altas temperaturas a través de pruebas en horno y de fuego directo. También se construyeron columnas y se sometieron a un simulador de incendios en vivo perteneciente al Departamento de Bomberos de Espírito Santo - Brasil. Se analizaron las propiedades microestructurales y mecánicas. Se observó que las fibras pueden influir en las propiedades del concreto y que los ensayos de fuego con carga de incendio estándar pueden ser una alternativa o complemento para el análisis de hormigón sometido a temperaturas elevadas.
Palabras clave:
hormigón reforzado,
fibras poliméricas,
altas temperaturas,
fuego,
propiedades mecánicas
1. IntroduÇÃo
Grandes incêndios já comprometeram severamente várias estruturas ao longo da história (Metha e Monteiro, 2008). A segurança estrutural contra incêndio é uma das considerações mais importantes que devem ser aplicadas nas construções (Khalaf e Huang, 2016). O comportamento do concreto sob a ação de agentes agressivos tem sido objeto de estudos nas áreas de tecnologia e durabilidade de concretos (Petrucci, 1981).
Ma et al. (2015), Haddad et al. (2008), Cree et al. (2013) e Park e Yim (2016) mostraram que a alta temperatura danifica seriamente a micro e a mesoestrutura do concreto, o que causa decaimento das propriedades mecânicas e até efeitos nocivos no nível estrutural devido à fissuração do concreto e a exposição do aço às chamas em caso de incêndio.
O comportamento de um incêndio real é muito diferente da maioria dos ensaios em mufla. Em uma abordagem baseada em desempenho, pode-se usar uma representação mais realista do fogo, que compreende a uma fase de aquecimento seguida de uma fase de resfriamento até que volte à temperatura ambiente (Gernay e Franssen, 2015). Ensaios com chama real são importantes para entender o verdadeiro comportamento do concreto em incêndios, já que ensaios laboratoriais convencionais nem sempre refletem o comportamento dessa situação patológica. Assim como a resistência ao fogo de estruturas construídas é maior que a prevista em ensaios de elementos individuais (Lennon et al., 2007), observa-se que os métodos tradicionais de ensaios em materiais são mais conservativos do que os testes de fogo.
A utilização de fibras no concreto vem se tornando popular, principalmente pela resistência à fissuração, retração plástica e aumento da tenacidade e, mais especificamente, as fibras poliméricas conferem ao concreto melhor comportamento pós-fissuração, previnem e controlam a formação e propagação de fissuras e também evitam o fenômeno de lascamento explosivo (spalling) (Alhozaimy et al., 1996; Kurtz e Balaguru, 2000; Ezziane et al., 2015; Poon et al., 2004). Corroborando a idéia, Pai e Chandra (2013) lembraram que uma melhor compreensão dos conceitos por trás do reforço de fibras, novos métodos de fabricação e novos tipos de fibras orgânicas levaram os pesquisadores a concluir que fibras sintéticas e naturais podem, de fato, reforçar o concreto.
Em um incêndio, as fibras derretem a uma certa temperatura, o que auxilia na liberação de vapor de água através dos poros (Pliya et al., 2011). A porosidade adicional e os pequenos canais criados pelo derretimento das fibras de polipropileno podem diminuir a pressão interna de vapor no concreto e reduzir a probabilidade de spalling (Noumowe, 2005), especialmente em concreto de alta resistência.
Lee et al. (2012) lembram que desde os primeiros artigos que discutiram a resistência ao fogo do concreto, como o relatório da ACI em 1919 (ACI, 2019), a adição de fibras ao concreto tem sido sugerida por vários pesquisadores. No entanto, a discussão da influência positiva das fibras poliméricas nas propriedades mecânicas do concreto ainda não está finalizada, porque embora alguns estudos indiquem que as fibras não influenciam significativamente ou pioram as propriedades de um concreto de referência, outros estudos mostraram o contrário, antes e depois de serem submetidos a altas temperaturas, as fibras podem melhorar as propriedades mecânicas do concreto, como mostra Shihada (2011) e Drzymala et al. (2017).
Estudos demonstraram que as fibras de polipropileno são eficazes na mitigação do desplacamento de concretos expostos a altas temperaturas (Ezziane et al., 2015; Xiao e Falkner, 2006; Behnood e Ghandehari, 2009; Bangi e Horiguchi, 2012; Akca e Zihnioǧlu, 2013) e que a adição de fibras de polipropileno é o método mais utilizado na prevenção do spalling em concreto de alta resistência. Song et al. (2005) avaliaram os efeitos da adição de fibras de nylon e polipropileno e mostraram que a resistência à compressão dos concretos aumentou, respectivamente, 12,4% e 5,8% quando comparados ao concreto sem fibras. Em relação às fibras de poliéster, dependendo da porcentagem utilizada, a adição de fibras pode contribuir para o aumento da resistência à compressão do concreto, como Suresh et al. (2014) concluíram. Em uma dosagem ideal, as fibras de poliéster melhoraram a resistência à compressão e a tração à flexão do concreto exposto a altas temperaturas na faixa de 150-250°C durante intervalos de 1,2 ou 3 horas (Sekhar e Raju, 2017). A adição de fibras de poliéster no concreto pode contribuir para um atraso na falha do concreto normal quando submetido a uma sustentada faixa de temperatura de 25 a 400°C (Suresh et al., 2014). A fibra de aramida ainda é incomum para a indústria da construção (Çavdar, 2013), mostrando que pode ser melhor estudada.
Portanto, devido às lacunas existentes e à importância do tema, o objetivo deste trabalho foi investigar a influência da adição de fibras de polipropileno, poliéster, poliamida, aramida e polpa de aramida no comportamento de concretos submetidos a temperaturas elevadas usando diferentes testes. Para tanto, foram confeccionadas amostras com adição de fibra a uma taxa de 2 kg/m3. As amostras foram submetidas a temperaturas de 300°C, 500°C e 700°C no forno, bem como a altas temperaturas através de teste de fogo direto em grelha. Protótipos também foram construídos e submetidos a simulador de incêndio real pertencente ao Corpo de Bombeiros do Espírito Santo - Brasil. Testes de resistência à compressão, resistência à tração na flexão, resistência à tração por compressão diametral, perda de massa e velocidade de pulso ultrassônico foram realizados posteriormente.
2. Programa experimental
2.1 Materiais e proporções de mistura
Para a preparação do concreto, foi utilizado o cimento Portland CP III 40 RS, conforme classificação em norma (ABNT, 2018). Areia natural de módulo de finura de 1,92 e dimensão máxima de 2,4 mm foi utilizada como agregado miúdo. Dois tipos de agregado granítico foram utilizados no concreto como agregado graúdo, um de dimensão máxima característica de 19 mm e outro de 9 mm. Um superplastificante foi utilizado na preparação dos concretos. As fibras foram utilizadas na dosagem de 2kg/m3. Essa dosagem teve como objetivo principal reduzir a possibilidade de spalliing e seguiu uma tendência extraída do estudo do estado da arte do melhor consumo de fibra (Poon et al., 2004; Behnood e Ghandehari, 2009; Kim et al. ., 2013; Lourenço et al., 2011; Bei e Zhixiang, 2016), onde os melhores resultados foram obtidos com taxa igual ou muito próxima a ela. As propriedades típicas das fibras são mostradas na Tabela 1.
| Tabela 1. Propriedades das fibras | ||||||||||
| Fibra | Diâmetro (μm) | Comp. (mm) | Mód. De elasticidade (GPa) | Resist. tração (GPa) | Densidade (g/cm3) | Ponto de fusão (°C) | ||||
|---|---|---|---|---|---|---|---|---|---|---|
| Polipropileno | 12 | 12 | 9.0 | 0.5 | 0.91 | 160 | ||||
| Poliéster | 20-25 | 15 | 8.2 | 0.3 – 0.5 | 1.34 | 235 | ||||
| Poliamida (Nylon 6.6) |
30 | 12 | 5.0 | 0.9 | 1.14 | 260 | ||||
| Aramida (Kevlar 29/49) |
14 | 12 | 65/125 | 2.8 | 1.44 | 427-482 | ||||
| Polpa de aramida Kevlar | 2-13 | 0.5-1.0 | 65/125 | 2.8 | 1.45 | 423 | ||||
2.2 Preparação dos corpos de prova
A proporção dos materiais utilizados para a confecção dos concretos está na Tabela 2. Foram produzidos seis traços, a referência sem fibras (NF), concreto reforçado com fibras de polipropileno (PP), concreto reforçado com fibras de poliéster (POL), concreto reforçado com fibras de poliamida (NY), concreto reforçado com fibras de aramida (AR) e concreto reforçado com fibras de polpa de aramida (AP).
| Tabela 2. Proporção da concretagem | ||||||||||
| Material | NF | PP | POL | NY | AR | AP | ||||
|---|---|---|---|---|---|---|---|---|---|---|
| Cimento (kg/m3) | 340 | 340 | 340 | 340 | 340 | 340 | ||||
| Agregado miúdo (kg/m3) | 770 | 770 | 770 | 770 | 770 | 770 | ||||
| Agregado graúdo 9 mm (kg/m3) | 300 | 300 | 300 | 300 | 300 | 300 | ||||
| Agregado graúdo 19 mm (kg/m3) | 842 | 842 | 842 | 842 | 842 | 842 | ||||
| Água (l/ m3) | 170 | 170 | 170 | 170 | 170 | 170 | ||||
| Superplastificante (l/ m3) | 2,85 | 2,85 | 2,85 | 2,85 | 2,85 | 2,85 | ||||
| a/c | 0,5 | 0,5 | 0,5 | 0,5 | 0,5 | 0,5 | ||||
| Fibra (kg/m3) | 0 | 2 | 2 | 2 | 2 | 2 | ||||
| Abatimento (mm) | 190 | 30 | 50 | 70 | 60 | 20 | ||||
| Densidad (kg/m3) | 2471 | 2439 | 2455 | 2457 | 2460 | 2452 | ||||
Foram moldados corpos de prova cilíndricos e prismáticos de acordo com a NBR 5738 (ABNT, 2015a). As misturas de concreto fresco foram testadas quanto à trabalhabilidade pelo ensaio de tronco de cone de acordo com a NBR NM 67 (ABNT, 1998). Protótipos de concreto armado com seção transversal de 20x20cm e altura de 1,35m foram moldados logo depois.
Os corpos de prova permaneceram em cura úmida por 28 dias. Após esse período, os espécimes foram mantidos em ambiente controlado (câmara climatizadora) por mais 7 dias, com temperatura constante de 23°C e umidade relativa de 77%, próximo à realidade encontrada no estado do Espírito Santo - Brasil. Como os ensaios de altas temperaturas são influenciados pela umidade e, considerando que o objetivo era testar o concreto o mais próximo possível da realidade, foi realizado o controle de temperatura e umidade. Condicionar as amostras com o objetivo de fornecer a condição de umidade interna similar aos edifícios construídos é indicado pela ASTM E119 (ASTM, 2018).
2.3 Métodos de ensaios em altas temperaturas
Antes dos ensaios mecânicos, as amostras foram submetidas a ensaios de altas temperaturas em mufla e chama direto. Na mufla, as temperaturas máximas atingidas para análise foram 300, 500 e 700°C. Essas faixas de temperatura analisadas (intervalos em que importantes transformações ocorrem no concreto) seguem uma tendência encontrada no estado da arte, como, por exemplo, em Xiao e Falkner (2006), Shihada (2011), Suresh et al. . (2014) e Yermak et al. (2017). Em um estudo anterior, Dias et al. (2017) observaram que a temperaturas mais altas os concretos perdiam sua capacidade estrutural.
Em relação ao spalling, um fenômeno que ocorre com o concreto sujeito a altas temperaturas, fatores como tipo agregado, tamanho das amostras, presença de aditivos, resistência do concreto e, principalmente, taxa de aquecimento, influenciam o aparecimento ou não do desplacamento. Na maioria dos casos, é necessária uma temperatura superior a 700°C para o spalling. No entanto, temperaturas acima de 500°C, adicionadas a outras características, já são suficientes. Por exemplo, Akca e Zihnioglu (2013) disseram que desplacamentos explosivos foram observados em seu trabalho, especialmente em amostras não fibrosas e que começaram após 500°C.
Como os incêndios reais em compartimentos apresentam um ponto ápice e logo depois o decaimento (Hartin, 2018), nos testes realizados, após atingir a temperatura máxima estipulada, o forno foi desligado. A taxa de aquecimento utilizada foi de 10°C min e o resfriamento foi à temperatura ambiente por 24 horas. Os testes em mufla seguiram metodologias comumente encontradas no estado da arte para esse tipo de ensaio laboratorial (Ezziane et al., 2015; Poon et al., 2004; Pliya et al., 2011; Shihada, 2011; Pai e Chandra, 2013; Xiao e Falkner, 2006; Behnood e Ghandehari, 2009; Akca e Zihnioǧlu, 2013; Suresh et al., 2014; Sekhar e Raju, 2017; Bei e Zhixiang, 2016; Choumanidis et al., 2019; Srikar et al., 2016; Yermak et al., 2017).
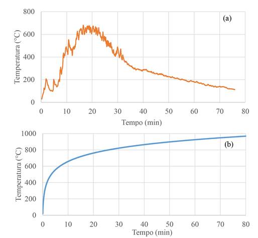
Para obter resultados que pudessem ser comparados com o aquecimento em mulfa, também foram realizados testes de chama direta de acordo com a ISO 834-R (ISO, 2015). Para realizar o teste, as amostras foram colocadas verticalmente em uma grelha de aço com dimensões de (500x500) mm, a uma altura de 100mm do material combustível, deixando espaço entre elas para ter contato direto com o fogo. Nos ensaios com fogo real, como encontrado em (Shihada, 2011), o material combustível utilizado foi a madeira. A quantidade de madeira utilizada em cada teste foi calculada com base em uma carga de incêndio padrão de risco baixo de 300 MJ/m2 comumente encontrada em apartamentos no Brasil (Espírito Santo, 2009; São Paulo, 2011; ABNT, 2000), sendo considerando o potencial calórico de 19 MJ/kg de madeira em cada queimadura. Para iniciar a queima foi utilizado álcool. Dois sensores termopar do tipo K foram inseridos no dispositivo para aferir a evolução da temperatura. O Corpo de Bombeiros do Espírito Santo - Brasil (CBMES) apoiou com conhecimento e equipamentos de proteção a realização do teste de chama real. Esse teste durou 80 minutos, o que praticamente coincidiu com o final do material combustível, e o resfriamento foi ambiente. O teste em mufla e o teste de fogo podem ser vistos na Fig. 1
Um termógrafo de sensor infravermelho foi utilizado antes, durante e após os testes de alta temperatura. Testes mecânicos de resistência à compressão, resistência à tração à flexão e resistência à tração por compressão diametral foram realizados após os testes de alta temperatura. Aferições de velocidade de pulso ultrassônico e perda de massa foram realizadas antes e após a submissão a alta temperatura.
![]() |
||||
| Fig. 1. Aumento da temperatura através da mufla (a) e chama direta em grelha (b) | ||||
Com o objetivo de complementar a análise, especialmente sobre spalling, foram realizados testes com fogo real nos protótipos, através de um dos simuladores de incêndio do CBMES. O módulo escolhido fornece um comportamento extremo de incêndio nos primeiros minutos de incêndio. A ventilação era controlada pelas portas frontais. A carga de incêndio estipulada também apresentava risco baixo usando madeira compensada e paletes. A disposição da carga de incêndio e dos pilares no simulador podem ser vistos na Fig. 2. A montagem seguiu padrões de queima dos corpos de bombeiros e teve como objetivo fornecer realidade na evolução do fogo e uniformidade de queima. Os sensores termopar tipo k foram inseridos a 0,8m e 1,6m de altura no container para medir a temperatura interna e um sensor estava monitorando a temperatura externa. Um bombeiro com todo o equipamento de proteção individual necessário iniciou esta simulação. Veja na Fig. 3 uma sequência de fotos da execução do ensaio.
![]() |
||||
| Fig. 2. Simulador escolhido (a), dispositivo montado (b) e disposição dos sensores (c) | ||||
![]() |
||||
| Fig. 3. Simulação de incêndio real nos protótipos | ||||
2.4 Procedimentos dos ensaios
Os testes de resistência à compressão axial, resistência à tração na flexão, resistência à tração por compressão diametral, perda de massa e velocidade de pulso ultrassônico (UPV) foram realizados posteriormente. Análises em macro e microescala também foram realizados nos corpos de prova.
A verificação do concreto submetido a temperaturas elevadas começou pela análise visual, observando desplacamento, fissuras e mudanças de cor. Foram geradas imagens de fragmentos de corpos de prova a uma profundidade de 1cm através de um microscópio eletrônico de varredura (MEV), visando verificar a zona de transição entre o agregado e a matriz cimentícia e, principalmente, a interação das fibras no concreto e a permanência ou não delas perante às altas temperaturas.
Os corpos de prova de concreto foram submetidos ao ensaio de resistência à compressão axial, seguindo o procedimento da NBR 5739 (ABNT, 2007), após serem submetidos a temperaturas elevadas. O ensaio de resistência à tração na flexão foi realizado de acordo com os padrões encontrados na NBR 12142 (ABNT, 2010), empregando o princípio da viga simplesmente apoiada com duas forças concentradas nos terços do vão. Para complementar a análise dos ensaios mecânicos destrutivos, também foi realizado o ensaio de resistência à tração por compressão diametral. O ensaio seguiu as normativas da NBR 7222 (ABNT, 2011).
A perda de massa foi obtida através da razão entre a diferença da massa do corpo de prova antes e depois de ser submetido a temperatura elevada e a massa antes da queima, sendo o resultado apresentado em porcentagem. Os ensaios não destrutivos para determinar a velocidade de propagação de ondas longitudinais, obtidas por pulsos ultrassônicos, através dos corpos de prova de concreto, foram realizados com base na NBR 8802 (ABNT, 2013), onde foi empregada a transmissão direta entre os transdutores.
3. Resultados
Para os concretos submetidos às diferentes temperaturas na mufla foi realizada análise estatística dos resultados obtidos nos ensaios, a fim de verificar se realmente existe uma diferença estatística em um intervalo de confiança de 95%, que reflete um nível de significância de 0,05. Foi utilizada a análise de variância (ANOVA), seguido do teste de comparações múltiplas de Tukey. Em um primeiro momento foram analisados os resultados de altas temperaturas em mufla separadamente, e no segundo momento foi realizada a comparação com o teste de fogo do ensaio de chama direta.
Não houve spalling em nenhum corpo de prova ensaiado. Como a temperatura e a umidade foram controladas na cura, verificou-se que em condições climáticas normais encontradas no Espírito Santo - Brasil, o desplacamento foi mitigado, mesmo se tratando de concretos com resistência superior a 50 MPa - concreto de classe II (ABNT, 2015b).
A partir de uma análise geral, que será mostrada nos tópicos a seguir, maiores perdas percentuais foram observadas após a faixa de 500°C. Isso é explicado pelo fato do calor passar por condução ao interior do corpo de prova e pelas transformações da microestrutura do concreto que ocorrem durante o aquecimento e são mais prejudiciais após essa faixa (Ma et al., 2015; Castellote et al., 2004 ; EN Eurocode, 2004; Khoury, 1992).
3.1 Microestrutura do concreto
Pelas imagens geradas, a interação das fibras foi considerada satisfatória. Nos ensaios em mufla na faixa de 700°C, não foi observada a presença de fibras em nenhum traço, o que era esperado, uma vez que o ponto de fusão de todas as fibras não excedeu 500°C, como mostra a Tabela 1.
A Fig. 4 mostra as imagens do MEV dos concretos após serem submetidos a uma temperatura de 500°C na mufla.
![]() |
||||
| Fig. 4. MEV dos concretos após serem submetidos a 500°C | ||||
Observa-se que PP e POL não continham mais fibras após 500°C, que AR e AP não perderam as fibras em sua totalidade e em NY houve fusão parcial das fibras. A temperatura aplicada foi de 500°C, mas vale lembrar que o calor do concreto passa por condução e é por isso que algumas fibras da parte interna da NY permaneceram e outras não, ou seja, no ponto analisado a temperatura interna do concreto foi próxima de 260 ° C. As setas na Fig. 4 mostram isso. As setas indicam a presença ou vazio das fibras em cada tipo de concreto submetido a altas temperaturas.
Adiante será visto que NF e AP foram os concretos que apresentaram spalling no ensaio do simulador. Correlacionando com o ensaio do MEV verifica-se que a falta de porosidade para liberar vapor de água influenciou o desplacamento do NF. Já no AP, a alta fibrilação da polpa de aramida, a concentração superficial e o fato dela não fundir foram fatores determinantes para não aumentar a porosidade do concreto. Mais explicações serão fornecidas no tópico Teste em simulador de incêndio real.
3.2 Teste de fogo em grelha
Os sensores termopar tipo K mediram o comportamento da evolução real da temperatura ao longo do tempo nos ensaios de fogo direto em grelha e no ensaio do simulador de incêndio. Observa-se que o comportamento é bastante diferente da curva padrão ISO 834 de um forno elétrico. Essa diferença pode ser vista na Fig. 5.
![]() |
||||
| Fig. 5. Temperatura x tempo no teste de fogo em grelha (a) e na curva ISO 834 (b) | ||||
Conforme observado no gráfico, no teste de fogo em grelha houve as fases da queima em compartimento, ou seja, os ensaios apresentaram o ponto de ignição, fase de crescimento, com ou sem queima generalizada, ponto ápice e decaimento em virtude da falta de material combustível. Comportamento diferente do encontrado em ensaios de mufla. Outro ponto divergente é o padrão de aquecimento do corpo de prova. O calor é passado por condução ao espécime. Em um incêndio, a frente de fogo, na maioria das vezes, possui um padrão. Na queima em mufla todos os lados transferem energia de maneira igual ao corpo de prova. Na Fig. 6 observa-se em imagens de termógrafo como o calor é passado nos dois tipos de ensaios realizados.
![]() |
||||
| Fig. 6. Corpo de prova em fase de resfriamento logo após passar por queima em grelha (a) e logo após ser submetido a 500°C em mufla (b) | ||||
A Fig. 6 (a) mostra um gradiente de temperatura bem definido, evidenciando pontos quentes na parte inferior da amostra, onde a carga de incêndio foi concentrada. A Fig. 6 (b) mostra que o aquecimento do corpo de prova é quase uniforme, o que era esperado, uma vez que a mufla aquece por todos os lados. A maioria dos incêndios reais tem uma frente de incêndio estabelecida, ou seja, o teste de incêndio em grelha foi mais eficaz nesse aspecto.
Outra informação importante é que embora a grelha atinja temperaturas mais altas que a mufla a 500°C, por exemplo, a temperatura da face do corpo de prova na mufla foi maior que o corpo de prova na grelha, mostrando que a energia térmica irradiada da mufla é maior.
Ensaios de concretos submetidos a temperaturas elevadas através de muflas podem ser reproduzíveis, mas não representam a realidade de um incêndio em compartimento e são muito mais severos do que os testes de fogo com material de carga finita.
3.3 Resistência à compressão axial
Os dados de resistência à compressão axial dos concretos ensaiados em mufla foram submetidos a ANOVA. Observou-se que o efeito isolado do tipo de concreto (NF, PP, POL, NY, AR e AP) e da variação de temperatura (23, 300, 500 e 700°C) foram significativos, bem como a interação entre as duas variáveis. Fig. 7 apresenta a resistência à compressão axial em função da temperatura dos concretos analisados.
![]() |
||||
| Fig. 7. Resistência à compressão axial (a) e à tração por compressão diametral (b) em função da temperatura em mufla e na grelha. | ||||
Analisando o ensaio na mufla, observa-se que de 23°C a 500°C quase não há alteração na resistência à compressão. A 700°C ocorre uma queda média de aproximadamente 50,2% dessa propriedade mecânica quando comparada à temperatura ambiente. Esse comportamento pode ser explicado pela faixa de temperatura em que as transformações importantes ocorrem no concreto, como mostra Castellote et al. (2004).
Após a ANOVA, conclui-se que há uma diferença entre os grupos de concretos submetidos a diferentes temperaturas, no entanto, somente com esta análise não é possível apontar se a diferença ocorre dentro do grupo ou entre os grupos. Um teste de comparação múltipla pode ser usado quando existe diferença, pois completa a análise, comparando e mostrando o resultado de todos os pares média. Para isso, foi utilizado o teste de comparações múltiplas de Tukey.
Após o teste de comparações múltiplas de Tukey, concluiu-se que:
Analisando o teste de fogo em grelha, os resultados mostram que o efeito da alta temperatura através de mufla é mais severo ao concreto. Apesar da temperatura final do teste de fogo chegar a quase 700°C, os valores obtidos de resistência à compressão axial em mufla a 700°C são em média 55% dos resultados em grelha.
3.4 Resistência à tração na flexão
Ao realizar a ANOVA, observou-se que as fibras e a temperatura influenciam independentemente o comportamento da resistência à tração à flexão no concreto. A temperatura foi a variável de maior impacto seguida pelo tipo de concreto (adição de fibras), mas a interação entre essas duas fontes de variação, tipo de concreto e temperatura, não foi significativa, pois o valor de P foi superior a 0,05.
3.5 Resistência à tração por compressão diametral
Observou-se que não houve alteração no resultado até a faixa de 300°C quando comparado à temperatura ambiente, e o valor médio da resistência diminui 12,9% na faixa de 500°C e 65,2% a 700°C.
Apresentou significância quando analisados as fontes de variação tipo de concreto e temperatura independentemente, bem como a interação entre as variáveis foi significativa com um intervalo de confiança de 95%. Fig. 7b apresenta o gráfico da resistência à tração por compressão diametral em função da temperatura.
Observou-se que NY, AR e AP apresentaram médias maiores que NF, PP e POL. Embora seja um ensaio que possa apresentar maiores variações de resultados do que os outros dois ensaios apresentados anteriormente (resistência à compressão axial e resistência à tração na flexão), vale ressaltar que as características das fibras podem ter influenciado os resultados. Verifica-se que mais uma vez a temperatura foi a variável de maior impacto. Após o teste de comparações múltiplas, verifica-se que a 700°C não há diferença entre os concretos analisados. Sugere-se que a orientação das fibras possa ter interferido nos resultados, pois nesse teste o POL obteve o menor resultado médio enquanto o AR obteve o maior. No teste de resistência à compressão, essa lógica foi invertida, ou seja, o POL obteve o maior resultado médio e o AR, o pior. Como essas amostras cilíndricas foram moldadas nas mesmas condições, é hipotetizado que a orientação das fibras possa ter influenciado o resultado. Verifica-se que os resultados obtidos no teste de fogo em grelha são próximos aos obtidos na mufla a 500°C.
3.6 Perda de massa
Os resultados da perda de massa foram significativos para um intervalo de confiança de 95%.
A partir dos 300°C a temperatura já influencia na perda de massa dos concretos ensaiados. Tanto nessa faixa de temperatura, onde a grande parte de perda de massa corresponde a água livre do compósito, quanto em 700°C, onde toda água livre já foi liberada, muitas transformações químicas já aconteceram, fissuras consideráveis já apareceram e o concreto já perdeu grande parte de sua característica estrutural (Ma et al, 2015).
Na faixa de 500°C verifica-se que NF obteve a menor perda de massa do que os outros concretos. Essa faixa de temperatura é suficiente para fundir grande parte das fibras, proporcionando o esperado aumento de poros, mas ainda não é suficiente para realizar todas as transformações químicas do concreto. O gráfico de perda de massa em função da temperatura está na Fig. 8a.
![]() |
||||
| Fig. 8. Perda de massa (a) e UPV (b) em função da temperatura. | ||||
Apesar da temperatura final do teste de fogo real em grelha chegar a quase 700°C, o concreto apresenta menos perda que o concreto a 500°C em mufla, conforme pode ser visto nos resultados de perda de massa e UPV.
3.7 Velocidade de propagação de ondas ultrasônicas
A Fig. 8b evidencia o resultado esperado, ou seja, sugere-se a existência de fissuras e de até mesmo aumento dos poros com o acréscimo da temperatura.
Por análise gráfica, verificou-se que até 300°C não houve aumento de fissuras capazes de apresentar diferenças na análise ultrassonográfica. O método de teste não destrutivo para determinar a velocidade de propagação de ondas longitudinais, obtido por pulsos ultrassônicos através de um componente de concreto, tem como uma de suas principais aplicações a detecção de falhas internas de concretagem, profundidade de fissuras e outras imperfeições (ABNT, 2013). Devido à taxa de aquecimento, à temperatura máxima atingida e ao resfriamento utilizado, a 300°C a perda de umidade não foi detectada. A 500°C, o NF exibia velocidade superior à do concreto com fibras, e a temperatura de 700°C era suficiente para obter o mesmo resultado em todos os concretos analisados.
Esses números mostram que a temperatura não é a única variável que influencia significativamente os resultados do mesmo concreto após condições severas, pois o fluxo de calor, a frente de fogo e a carga de incêndio são essenciais para determinar o comportamento. Os ensaios em mufla, embora importantes para fins de comparação, não representam a realidade de um incêndio real e outros testes, como o teste de fogo real, podem complementar a análise.
3.8 Teste em simulador de incêndio real
Na Fig.9 são mostrados os índices de temperatura em função do tempo de cada um dos sensores que monitoraram o incêndio no simulador de incêndio.
![]() |
||||
| Fig. 9. Temperatura x tempo no simulador de incêndio para os três sensores. | ||||
A temperatura média no sensor externo ao container foi de 42°C. Observou-se que, de fato, o fogo teve um comportamento extremo no simulador, pois em apenas 6 minutos após o início do incêndio a temperatura no container atingiu sua faixa máxima de 786°C no sensor localizado a 1,60m.
Os primeiros 2 minutos foram de queima lenta apenas no centro da ignição do material e de muita liberação de fumaça branca (vapor de água da madeira). Com 4 minutos de simulação, já havia uma queima generalizada dos paletes centrais e chamas tocando o teto. Até 5 minutos, ficou claro que a fumaça branca começou a ficar cinza. A partir daí o comportamento começou a mudar. Em 6 minutos, a fumaça já estava cinza claro e já ocupava toda a porta. Nesse momento, começou a queimar a madeira do fundo. Aos 10 minutos ocorreu a queima geral na madeira do fundo e do teto. Aos 11 minutos, a fumaça gerada já estava turva, quase marrom-cáqui, uma característica de queima incompleta, o que significa que ainda havia muito material combustível sendo carregado na fumaça. Tanto que, no momento do ensaio até os 12 minutos, a fumaça foi queimada, com o aparecimento de chamas fora do container (esse momento é chamado de "flash"). É por isso que se pode ver quase um segundo pico de aumento de temperatura no sensor superior. Após uma queima generalizada, aos 13 minutos a fumaça estava cinza escura. Aos 23 minutos, queima lenta apenas no centro (o restante do material combustível). Depois disso, a curva de temperatura continua a diminuir. Este é um comportamento real de um incêndio.
Após o ensaio e o resfriamento total do local, a análise visual de cada protótipo foi realizada no dia seguinte. A Fig. 10 mostra os pilares lado a lado. As marcações feitas nas imagens dos pilares mostram os desplacamentos ocorridos em alguns dos concretos.
![]() |
||||
| Fig. 10. Pilares após serem submetidos ao fogo, destacando NF e AP pós fogo, mostrando o topo (a), centro (b) e base (c). | ||||
Observou-se que NF foi o que exibiu maior desplacamento, seguido pelo AP. AR também apresentou um pequeno desplacamento na base. Os pilares de PP e POL não apresentaram desplacamento, ou seja, os danos não foram observados na análise visual. Tais concretos só apresentaram marca de queima oriundas da madeira. Pelo menos uma face de cada pilar apresentou essa marca de fuligem, característica muito comum encontrada nos incêndios devido a queima incompleta dos materiais combustíveis.
Dessa análise conclui-se que as fibras poliméricas diminuem a incidência de spalling no concreto e que as fibras com menor temperatura de fusão são mais eficientes, pois elas derretem em temperaturas mais baixas e abrem poros, liberando assim o vapor d’água no interior do concreto.
Fibras poliméricas de alto desempenho, como foi o caso da aramida, não se mostraram eficientes no quesito desplacamento. A polpa de aramida, por ser menor e criar mais redes e entrelaçamentos de fibras, não derreteu antes da faixa de 500°C e não liberou poros, oferecendo resistência para o concreto. Tal fato foi essencial para o aparecimento do spalling.
A Fig. 10 também mostra os detalhes dos pilares mais afetados. Spalling de superfície e de aresta foram observados em NF e AP. Como principais influências, além da presença da fibra no caso do PA, podem-se citar a permeabilidade do concreto, expansão térmica do agregado, presença de armadura e taxa de aquecimento.
4. ConclusÃo
Com base nos resultados deste estudo experimental, originam-se as seguintes conclusões:
5. Agradecimentos
Os autores agradecem o apoio concedido pelo Corpo de Bombeiros Militar do Estado do Espírito Santo (CBMES), pelo Laboratório de Ensaios de Materiais de Construção (LEMAC) do Departamento de Engenharia Civil da Universidade Federal do Espírito Santo (UFES) e pela empresa Concrevit. Além disso, ressalta-se um agradecimento à Fundação de Amparo à Pesquisa e Inovação do Espírito Santo (FAPES) pelo suporte financeiro
ReferÊncias
ABNT Brazilian association of technical standards (1998). NBR NM 67: Concrete - Slump test for determination of the consistency. Rio de Janeiro.
ABNT Brazilian association of technical standards (2000). NBR 14432: Fire-resistance requirements for building construction elements - Procedure. Rio de Janeiro.
ABNT Brazilian association of technical standards (2007). NBR 5739: Concrete - Compression test of cylindric specimens - method of test. Rio de Janeiro.
ABNT Brazilian association of technical standards (2010). NBR 12142: Concrete - Determination of tension strength in flexure of prismatic specimens. Rio de Janeiro.
ABNT Brazilian association of technical standards (2011). NBR 7222: Concrete and mortar - Determination of the tension strength by diametrical compression of cylindrical test specimens. Rio de Janeiro.
ABNT Brazilian association of technical standards (2013). NBR 8802: Hardened concrete - Determination of ultrasonic wave transmission velocity. Rio de Janeiro.
ABNT Brazilian association of technical standards (2015a). NBR 5738: Procedure for molding and curing concrete test specimens. Rio de Janeiro.
ABNT Brazilian association of technical standards (2015b). NBR 8953: Concrete for structural use - Density, strength and consistence classification. Rio de Janeiro.
ABNT Brazilian association of technical standards (2018). NBR 16697: Portland cement - Requirements. Rio de Janeiro.
ACI Committee on Fireproofing (1919). Fireproofing. Journal Proceedings. 15 (6), 314-316.
Akca, A. H.; Zihnioǧlu, N. Ö. (2013). High performance concrete under elevated temperatures. Construction and Building Materials, 44, 317-328. https://doi.org/10.1016/j.conbuildmat.2013.03.005
Alhozaimy, A. M., Soroushian, P., Mirza, F. (1996). Mechanical properties of polypropylene fiber reinforced concrete and the effects of pozzolanic materials. Cement and Concrete Composites. 18 (2), 85-92. https://doi.org/10.1016/0958-9465(95)00003-8
ASTM International. (2018). ASTM E119-18a: Standard Test Methods for Fire Tests of Building Construction and Materials. USA. https://doi.org/10.1520/E0119-18A
Bangi, M. R., Horiguchi, T. (2012). Effect of fibre type and geometry on maximum pore pressures in fibre-reinforced high strength concrete at elevated temperatures. Cement and Concrete Research. 42 (2), 459-466. https://doi.org/10.1016/j.cemconres.2011.11.014
Behnood, A., Ghandehari, M. (2009). Comparison of compressive and splitting tensile strength of high-strength concrete with and without polypropylene fibers heated to high temperatures. Fire Safety Journal. 44(8),1015-1022. https://doi.org/10.1016/j.firesaf.2009.07.001
Bei, S., Zhixiang, L. (2016). Investigation on spalling resistance of ultra-high-strength concrete under rapid heating and rapid cooling. Case Studies in Construction Materials. 4. 146-153. https://doi.org/10.1016/j.cscm.2016.04.001
Castellote, M., Alonso, C., Andrade, C., Turrillas, X., Campo, J. (2004). Composition and microstructural changes of cement pastes upon heating, as studied by neutron diffraction. Cement and Concrete Research. 34 (9), 1633-1644. https://doi.org/10.1016/S0008-8846(03)00229-1
Choumanidis, D., Badogiannis, E., Nomikos, P., Sofianos, A. (2016). The effect of different fibres on the flexural behaviour of concrete exposed to normal and elevated temperatures. Construction and Building Materials. 129, 266-277. https://doi.org/10.1016/j.conbuildmat.2016.10.089
Cree, D., Green, M., Noumowé, A. (2013). Residual strength of concrete containing recycled materials after exposure to fire: A review, Construction and Building Materials. 45, 208-223. https://doi.org/10.1016/j.conbuildmat.2013.04.005
Çavdar, A. (2013). The effects of high temperature on mechanical properties of cementitious composites reinforced with polymeric fibers, Composites Part B: Engineering. 45 (1), 78-88. https://doi.org/10.1016/j.compositesb.2012.09.033
Corpo de Bombeiros Militar do Estado do Espírito Santo (CBMES). (2009). NT 04/2009 - Carga de incêndio nas edificações e áreas de risco. p.12, Vitória, Brazil.
Dias, D., Calmon, J., Degen, M. (2017). Concreto reforçado com fibras poliméricas submetido a temperaturas elevadas. In: Anais do 59º Congresso Brasileiro do Concreto - CBC2017 - IBRACON, At Bento Gonçalves, Rio Grande do Sul, Brazil, October 31 to November 3, 2017. ISSN: 2175-8182
Drzymała, T., Jackiewicz-rek, W., Tomaszewski, M., Kuś, A., Gałaja, J., Šukysc, R. (2017). Effects of High Temperature on the Properties of High Performance Concrete (HPC), Procedia Engineering. 172, 256-263.https://doi.org/10.1016/j.proeng.2017.02.108
European Committee for Standardization (CEN). (2004). EN 1992-1-2, Eurocode 2 - Design of Concrete Structures. Part 1.2: General Rules - Structural Fire Design, p. 97. Brussels.
Ezziane, M., Kadri, T., Molez, L., Jauberthie, R., Belhacen, A. (2015). High temperature behaviour of polypropylene fibres reinforced mortars. Fire Safety Journal. 71: 324-331. https://doi.org/10.1016/j.firesaf.2014.11.022
Gernay, T., Franssen, J.M. (2015). A performance indicator for structures under natural fire. Engineering Structures. 100, 94-103. https://doi.org/10.1016/j.engstruct.2015.06.005
Haddad, R. H., Al-Saleh, R. J., Al-Akhras, N. M. (2008). Effect of elevated temperature on bond between steel reinforcement and fiber reinforced concrete. Fire Safety Journal. 43 (5), 334-343. https://doi.org/10.1016/j.firesaf.2007.11.002
Hartin, E. (2008). Extreme Fire Behavior: Understanding the Hazards. 2008. Access in: <http://cfbt-us.com/pdfs/ExtremeFireBehavior.pdf>. Acess 17 fev. 2018.
International Organization for Standardization (ISO) (2015). ISO 834-1: 1999(R2015) - Fire-Resistance Tests - Elements of Building Construction - Part 1: General Requirements. Switzerland.
Khalaf, J., Huang, Z. (2016). Analysis of the bond behaviour between prestressed strands and concrete in fire. Construction and Building Materials. 128, 12-23. https://doi.org/10.1016/j.conbuildmat.2016.10.016
Khoury, G. A. (1992). Compressive strength of concrete at high tem- peratures: a reassessment. Magazine of Concrete Research 44 (161), 291-309. https://doi.org/10.1680/macr.1992.44.161.291
Kim, Y., Lee, T., Kim, G. (2013). An experimental study on the residual mechanical properties of fiber reinforced concrete with high temperature and load. Materials and Structures. 46, 607-620. https://doi.org/10.1617/s11527-012-9918-y
Kurtz, S., Balaguru, P. (2000). Postcrack creep of polymeric fiber-reinforced concrete in flexure. Cement and Concrete Research. 30 (2), 183-190. https://doi.org/10.1016/S0008-8846(99)00228-8
Lee, G., Han, D., Han, M.C., Han, C. G., Son, H. J. (2012). Combining polypropylene and nylon fibers to optimize fiber addition for spalling protection of high-strength concrete. Construction and Building Materials. 34, 313-320. https://doi.org/10.1016/j.conbuildmat.2012.02.015
Lennon, T., Rupasinghe, R., Canisius, G., Waleed, N., Matthews, S. (2007). Concrete structures in fire - Performance, design and analysis. IHS BRE Press; 1 edition, 1-81. ISBN-13: 978-1860819131, ISBN-10: 1860819133
Lourenço, L. A. P., Barros, J. A. O., Alves, J. G. A. (2011). Fiber reinforced concrete of enhanced fire resistance for tunnel segments. ACI Symposium Publication 276, p. 1-34. ISBN: 9781618392046, ISSN: 0193-2527.
Ma, Q., Guo, R., Zhao, Z., Lin, Z., He, K. (2015). Mechanical properties of concrete at high temperature-A review. Construction and Building Materials. 93, 371-383. https://doi.org/10.1016/j.conbuildmat.2015.05.131
Mehta, P. K., Monteiro, P. J. M. (2008). Concrete: Microstructure, Properties, and Materials (3er. ed.) McGraw-Hill Education (India) LTD. 659 pp. New York. ISBN: 0070636060 / 9780070636064
Noumowe, A. (2005). Mechanical properties and microstructure of high strength concrete containing polypropylene fibres exposed to temperatures up to 200 °c. Cement and Concrete Research. 35 (11), 2192-2198. https://doi.org/10.1016/j.cemconres.2005.03.007
Pai, S., Chandra, K. L. (2013). Analysis of polyester fibre reinforced concrete subjected to elevated temperatures. International Journal of Civil, Structural, Environmental and Infrastructure Engineering Research and Development (IJCSEIERD) 3 (1) 1-10. ISSN(Print): 2249-6866, ISSN(Online): 2249-7978.
Park, S., Yim, H. J. (2016). Evaluation of residual mechanical properties of concrete after exposure to high temperatures using impact resonance method. Construction and Building Materials. 129, 89-97. https://doi.org/10.1016/j.conbuildmat.2016.10.116
Petrucci, E. G. R. (1981). Concreto de cimento Portland. (8va. ed.). Globo. 307 pp. Rio de Janeiro.
Pliya, P., Beaucour, A. L., Noumowé, A. (2011). Contribution of cocktail of polypropylene and steel fibres in improving the behaviour of high strength concrete subjected to high temperature. Construction and Building Materials. 25 (4), 1926-1934. https://doi.org/10.1016/j.conbuildmat.2010.11.064
Poon, C. S., Shui, Z. H., Lam, L. (2004). Compressive behavior of fiber reinforced high-performance concrete subjected to elevated temperatures. Cement and Concrete Research. 34 (12), 2215-2222. https://doi.org/10.1016/j.cemconres.2004.02.011
Polícia militar do estado de São Paulo (2011). Instrução Técnica 14 - Carga de incêndio nas edificações e áreas de risco. Corpo de Bombeiros de São Paulo.
Sekhar, M. P., Raju, K. (2017). A Study on Effect of Mechanical Properties of Recron 3S Fibre Concrete on Different Grades Exposed to Elevated Temperatures. International Journal for Innovative Research in Science & Technology 4 (1), 41-46. ISSN(Online): 2349-6010
Shihada, S. (2011). Effect of polypropylene fibers on concrete fire resistance. Journal of Civil Engineering and Management, 17(2), 259-264. ISSN(Print): 1392-3730 / ISSN(Online): 1822-3605. https://doi.org/10.3846/13923730.2011.574454
Song, P. S., Hwang, S., Sheu, B. C. (2005). Strength properties of nylon- and polypropylene-fiber-reinforced concretes. Cement and Concrete Research. 35 (8), 1546-1550. https://doi.org/10.1016/j.cemconres.2004.06.033
Srikar, G., Anand, G., Suriya Prakash, S. (2016). A Study on Residual Compression Behavior of Structural Fiber Reinforced Concrete Exposed to Moderate Temperature Using Digital Image Correlation. International Journal of Concrete Structures and Materials. 10 (1), 75-85. ISSN(Print): 1976-0485 / ISSN(Online): 2234-1315. https://doi.org/10.1007/s40069-016-0127-x
Suresh, N., Bindiganavile, V., Prabhu, M. (2014). Compressive Behaviour of Polyester Fiber Reinforced Concrete Subjected To Sustained Elevated Temperature. International Journal of Emerging Technology and Advanced Engineering, 4 (8), 220-224. ISSN: 2250-2459
Xiao, J., Falkner, H. (2006). On residual strength of high-performance concrete with and without polypropylene fibres at elevated temperatures. Fire Safety Journal . 41 (2), 115-122. https://doi.org/10.1016/j.firesaf.2005.11.004
Yermak, N., Pliya, P., Beaucour, A. L., Simon, A., Noumowé, A. (2017). Influence of steel and/or polypropylene fibres on the behaviour of concrete at high temperature: Spalling, transfer and mechanical properties. Construction and Building Materials. 132, 240-250. https://doi.org/10.1016/j.conbuildmat.2016.11.120