| Applied Research | https://doi.org/10.21041/ra.v10i1.417 |
Fire resistance of ceramic-masonry sealing blocks using intumescent paint protection
Resistência ao fogo de blocos de alvenaria cerâmica de vedação utilizando proteção de tinta intumescente
Resistencia al fuego de bloques de albañilería cerámica de sellado utilizando protección de tinta intumescente
C. A. S.
Sales1
,
C. F. G.
Nascimento1
,
T. M.
Silva2
,
L. M.
Barreto2
,
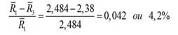
P. C.
Lordsleem2
,
W. A.
Soares2
,
P.
Castro-Borges3
,
E. C. B.
Monteiro1
2
*
1 Departamento de Engenharia Civil, Universidade Católica de Pernambuco, Recife-PE, Brasil.
2 Departamento de Engenharia Civil, Universidade de Pernambuco, Recife-PE, Brasil.
3 Centro de Investigación y de Estudios Avanzados (CINVESTAV) Unidad Mérida, México.
* Contact author: eliana@poli.br
Reception:
July
01,
2019.
Acceptance:
November
27,
2019.
Published: 30 December 2019.
| Cite as: Sales, C. A. S., Nascimento, C. F. G., Silva, T. M., Barreto, L. M., Lordsleem Jr., A. C., Soares, W. A. Castro-Borges, P., Monteiro, E. C. B. (2020), “Fire resistance of ceramic-masonry sealing blocks using intumescent paint protection”, Revista ALCONPAT, 10 (1), pp. 53 - 68, DOI: http://dx.doi.org/10.21041/ra.v10i1.417 |
ABSTRACT
The efficiency of surface protection of sealing masonry structures with intumescent ink was evaluated in relation to mechanical resistance and thermal insulation. Sixty ceramic sealing masonry blocks were used. The temperature of the face directly exposed to the flame was on average 25% lower for the block with passive protection. The compressive strength of the blocks with passive protection was about 70% higher than the unprotected blocks, after 60 minutes of direct exposure to the flame. More than 70% of the blocks without passive protection and that were exposed to flame had compressive resistance of 1.35 MPa, while 100% of the blocks with protection had values 2.38 MPa, even after 60 minutes of exposure.
Keywords:
masonry,
fire,
passive protection,
intumescent paints,
resistance.
RESUMO
Avaliou-se a eficiência da proteção superficial de estruturas de alvenaria de vedação com tinta intumescente em relação à resistência mecânica e ao isolamento térmico. Foram utilizados 60 blocos cerâmicos de alvenaria de vedação. A temperatura da face diretamente exposta à chama foi em média 25% inferior para o bloco com a proteção passiva. A resistência à compressão dos blocos com proteção passiva foi cerca de 70% superior aos blocos sem proteção, após 60 minutos de exposição direta a chama. Mais de 70% dos blocos sem proteção passiva e que foram expostos a chama tiveram resistência a compressão de 1,35 MPa, enquanto 100% dos blocos com proteção tiveram valores de 2,38 MPa, mesmo após 60 minutos de exposição.
Palavras-chave:
alvenaria,
incêndio,
proteção passiva,
tintas intumescentes,
resistência.
RESUMEN
Se evaluó la eficiencia de la protección superficial de las estructuras de mampostería de sellado con tinta intumescente en relación con la resistencia mecánica y el aislamiento térmico. Se utilizaron sesenta bloques de mampostería de sellado cerámico. La temperatura de la cara directamente expuesta a la llama fue en promedio un 25% menor para el bloque con protección pasiva. La fuerza de compresión de los bloques con protección pasiva fue aproximadamente 70% mayor que la de los bloques sin protección, después de 60 minutos de exposición directa a la llama. Más del 70% de los bloques sin protección pasiva y expuestos a llamas tenían una resistencia a la compresión de 1,35 MPa, mientras que el 100% de los bloques con protección tenían valores de 2,38 MPa, incluso después de 60 minutos de exposición.
Palabras clave:
albañilería,
incendio,
protección pasiva,
pinturas intumescentes,
resistencia.
1. Introduction
The fires are present in the history of several cities in the world. In some of them, they have come to carry out significant changes in the urban design and the constructive characteristics of its buildings in urban scale, that is, reaching hundreds or thousands of structures, putting at risk the life of thousands of people (FREITAS, 2014).
In Brazil, knowledge about fire safety in buildings became a matter of importance only after two major national tragedies: the fires in the Andraus and Joelma buildings both in the city of São Paulo: the first in 1972 with sixteen deaths and the second in 1974 with one hundred and eighty-nine people dead.
National fire safety regulations and standards state that walls and sealing elements must have a certain fire resistance time, which varies with the type of building and the total height. The material performance suggestions offered by most of these codes are usually based on empirical knowledge; however, such materials indicate a much higher fire resistance when tested in the laboratory. As the ceramic blocks have good fire performance, it is expected that a wall constructed with such blocks also has good fire resistance.
According to NBR 14432 (2000), fire resistance can be defined as the property of a building element to resist the action of fire for a certain period of time, maintaining its structural safety, water tightness, and thermal insulation.
The fire resistance of the walls is very important for fire safety, since high-rise buildings fires were found to be initiated by smoke, heat, and flames, which made it difficult to abandon the building and allowed the fire to spread rapidly (ONO, 2007).
Andreini and Sassu (2011) argue that a masonry wall does not produce smoke or toxic gases, but using ceramic blocks becomes a good alternative to minimize the fire propagation, providing both thermal insulation and stability to the building. However, few studies have been found on the fire resistance of masonry walls with ceramic blocks, which involved only 14 cm thick walls (THOMAZ and HELENE, 2000).
Nguyen and Meftah (2012) reinforce that the studies to determine the mechanical characteristics of these materials are carried out in laboratories, with empirical results resulting in more expensive structures (NADJAI et al., 2006).
The passive protection against fire is constituted by means of protection incorporated in the building and that does not require any type of activation for its operation in a fire. Some examples of passive protection are the control of finishing and coating materials, protection of leakage routes, compartmentalization and risk isolation (SEITO et al., 2008).
Thus, measures must be implemented in the fire protection and some of them are the intumescent paints that were developed long ago - the first patent is from 1938 and the principles that govern its action are already very well known. Intumescent coatings are widely used in the protection of steel structures for periods of thirty and sixty minutes, and their use for ninety minutes has increased in some countries.
Due to the lack of technical information offered by most manufacturers of intumescent paints, in relation to the compressive strength of ceramic blocks after exposure to fire, in accordance with regulation or often generalized information and also because of few scientific researches found in the literature, the purpose of this paper was to study fire resistance, with the application of passive protection of intumescent paint, in the sealing ceramic masonry blocks, after direct exposure to flame. In this way, the efficiency of the passive protection with respect to the mechanical resistance and the thermal insulation can be verified.
1.1 Factors influencing fire performance of masonry walls
The fire performance of a masonry wall depends on several factors. Firstly, factors related to the type of block used in the masonry are highlighted, including the characteristics of the material used and the geometry of the blocks (THOMAZ; HELENE, 2000).
In addition to the block, the constructive characteristics such as the type of laying joints, coatings, and filling of the castings also influence fire resistance (THOMAZ; HELENE, 2000); (MEYER, 2006). Finally, Meyer (2006) presents some factors related to the structural stability of the wall, such as the slenderness index, the applied load, and the presence of eccentricities.
1.2 Passive protection
Obtaining the fire safety conditions requires adequate means of combat, aiming at not allowing the structural collapse of the building, facilitating the escape of the users and ensuring the approach and entry into the building for combat actions (COELHO, 2010).
Passive protection is the set of protection measures against fire situations incorporated in the building construction. It should, therefore, be foreseen by the architect. Building fire performance is independent of any external action (SEITO, et al., 2008). The main means of passive protection are: emergency exits (location, quantity, and design), reaction to fire of finishing and coating materials, fire resistance of the building elements, smoke control, and separation of buildings.
1.3 Intumescent paints
Intumescent paints have long been developed - the first patent is from 1938 - and the principles governing their performance are already well known. Since its inception, and in particular over the last twenty years, its use has grown. The term intumescent derives from the Latin "tumescere", which means to initiate, to expand.
Intumescence occurs by the reaction of active components under the influence of heat, producing a significant expansion. These active or intumescent components often expand their initial thickness applied (typically 60x greater) when heated, producing a carbonaceous mass which protects any substrate on which the coating has been applied.
Intumescent coatings have the following ingredients: a catalyst which decomposes under the effect of heat, producing a mineral acid (such as phosphoric acid; ammonium polyphosphate is the catalyst commonly used); a carbonizing agent, such as starch, which combines with the mineral acid to form a carbonaceous mass; a binder, or resin, which softens at a predetermined temperature; a foam agent that decomposes together with the binder melt, releasing large volumes of nonflammable gases. These gases include carbon dioxide, ammonia, and water vapor.
The production of these gases promotes the swelling of the carbonaceous mass, generating carbonaceous foam, which expands about 60x (or more) the original volume of the paint, promoting the thermal protection. The use of these products corresponds, in certain countries, to more than 40% of the market for thermal protection in multi-storey buildings.
1.4 Structural performance in fire situation
In a fire situation, there is a need to minimize the risk of building structural collapse. The materials used in the structure and subdivisions must be in accordance with the TRRF - Required Time of Fire Resistance, according to NBR 14432 (2000). Specific standards should also be met for the type of structure in question. For other types of structure, NBR 15575 (2013) establishes that the corresponding Eurocode must be met in its last edition.
2. Materials and method
2.1 Materials and equipment
The materials used were: sixty (60) sealing masonry blocks with 8 horizontal holes and dimensions (9 cm x 19 cm x 19 cm), purchased in the Recife trade, state of Pernambuco; Butane Gas Torch (Flame Temperature 1200 °C); BENETECH Infrared Thermometer Model GM300 (Temperature: -50 °C to 380 °C); Salvterm 1200 K digital thermometer (Temperature: -50 ºC to 1350 ºC) with surface sensor (6.5 mm diameter stem by 260 mm in length); CKC-333® Intumescent paint; Foam roller for intumescent paint application; Personal Protective Equipment: mask, protective glove, and goggles; Laboratory Protection: Portable Dry Chemical Powder Fire Extinguisher (4 kg).
2.2 Characterization of test specimens
The 60 specimens were distributed in 4 groups (types) of 15 blocks, the first two groups being used as reference base for the analysis of compressive strength (saturated and unsaturated condition). Figure 1 presents the organization chart with the summary of the assays, as well as the detail of the experimental execution by type.

Figure 1. Experimental planning.
It is important to note that the experiment is a simulation for comparison and analysis of the behavior of sealing blocks with and without passive protection paint, that despite of having the NBR 10636/89 as a parameter, the methodology applied in the experiment conducted in this research is not associated with the standard cited and with the ISO 834, so in this way, it is not possible to attest the time of resistance to fire (TRF) of samples in accordance with the standards.
It is also interesting to note that the time of exposure to fire defined for groups 3 and 4 was 60 minutes due to the limitations of fuel cost. That was the time indicated by the manufacturer as a protection time for 2 coats of paint. It is also twice the minimum time required for structural walls up to five pavements, according to the performance standard.
It is important to mention that there are significant differences between assays for the sealing system, prisms, and individual blocks, as well as that the coatings also influence the tests.
The analysis will be performed on the sealing ceramic block, without any type of coating other than the intumescent paint protection (Type 3). In addition to simulating conditions in many low-income housing units, it also simulates the most extreme condition of the material in the event of a fire.
The application of the flame as well as the temperature measurements were carried out in the geometric center of all the faces, in order to find the highest values to which they were exposed, with the fuel can at a distance of 20 centimeters from the exposed blocks. The average room temperature during the tests was 33°C.
2.2.1 Type 1 Block (reference block - unsaturated) and Type 2 (reference block - saturated)
The 15 blocks characterized as Type 1 are those used as reference for the compressive strength effect. For these blocks, no passive protections or exposure to any type of flame were applied, being kept at room temperature.
The 15 blocks characterized as Type 2, unlike the previous model, were tested after a 24h water immersion. Reception, preparation, conditioning of the specimens, and procedures are in accordance with ABNT NBR 15270-1, ABNT NBR 15270-2, and ABNT NBR 15270-3 standards showed in Figure 2.
![]() |
||||
| Figure 2. Receipt, preparation and packaging of blocks. | ||||
2.2.2 Type 3 Block (with intumescent paint application and direct flame exposure) and Type 4 Block (without intumescent paint application and direct exposure to flame)
In the 15 blocks called Type 3, the initial characterization and preparation (capping) procedures, identical to those already described for Type 1 (Figure 3), were performed; however, in this type of block, 2 (two) coats of intumescent paint were applied (Figure 4), as described below, in addition to directly exposing each block to the flame for 60 minutes showed in Figure 5.
![]() |
||||
| Figure 3. Capping of ceramic blocks. | ||||
![]() |
||||
| Figure 4. Application of intumescent paint. | ||||
![]() |
||||
| Figure 5. Direct exposure to type 3 block flame (with intumescent paint). | ||||
Then, the temperature of the face directly affected by the flame (1), the temperature of the face immediately opposite (2), through the first septum of the block, and the temperature of the face of the block without application of intumescent paint (3) were measured.
In addition to the temperature survey to verify the thermal insulation efficiency, after the exposure to the flame, the blocks were taken to the hydraulic press for the purpose of checking the compressive strength and the maximum load supported.
The paint chosen for the test was the CKC-333 intumescent paint, which was selected on the basis of the range of international certifications. Also, it was the only brand, among those available in the national market, willing to support this research, forwarding sample to test.
The intumescent paint CKC-333 is an acrylic, non-toxic, odorless, anti-mold and anti-fungal water-based coating. At approximately 200 °C, it initiates a volumetric expansion process, preventing the temperature rise in concrete, masonry, and drywall elements.
On the other hand, for the 15 (fifteen) blocks characterized as Type 4, initial characterization and preparation (capping) procedures like those already described for Type 1 were performed; however, no passive protection was applied by intumescent paint, with 60 minutes of direct exposure to the flame.
The temperatures were then measured at the same locations as the Type 3 blocks. After temperature rise, the blocks were brought to a hydraulic press for the purpose of checking the compressive strength and maximum supported load.
Type 3 and Type 4 blocks were subjected to one hour of direct flame incidence and, before being brought to the hydraulic press, to verify the compressive strength and maximum load supported (Figure 6), the temperatures were calibrated on the faces directly affected by the flame; on the face immediately opposite, through the first septum; and the farthest face from the flame application.
The experimental procedure for Type 4 blocks was identical to that performed with Type 3 blocks; however, these specimens did not receive passive protection by intumescent paint showed in Figure 7.
![]() |
||||
| Figure 6. Compressive strength | ||||
![]() |
||||
| Figure 7. Blocks without passive protection. | ||||
3. Results and discussion
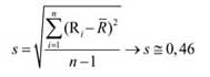
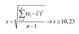
To determine the resistance and the standard deviation of Type 1 blocks, Equations 1 and 2 were used, respectively.
![]() | (1) |
![]() | (2) |
To determine the maximum and minimum resistances considering the previously calculated values for the mean and standard deviation, Equation 3 was used.
For k = 3
| (3) |
Where k is the time coefficient of variation in seconds.
To determine the standard deviation and the maximum supported load of Type 1 blocks, Equations 3 and 4 were used, respectively.
![]() | (4) |
For k = 3
| (5) |
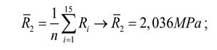
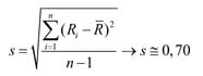
To determine the strength and standard deviation of Type 2 blocks, Equation 1 and 2 respectively were used.
![]() |
![]() |
Considering the previously calculated values for mean and standard deviation, according to Equation 3:
To determine the maximum load average, the standard deviation, and the maximum and minimum loads supported by Type 2 blocks, Equations 6, 7, and 8 were used, respectively.
![]() | (6) |
![]() | (7) |
| (8) |
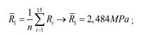
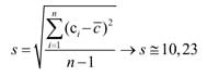
Taking into consideration the three standard deviations, it is observed that all values for the compressive strength and supported maximum load of Type 1 and 2 blocks are to be considered as representative, calculated according to Equations 9 and 10, respectively. Comparing the average values of the compressive strengths and the maximum supported loads of types 1 and 2:
![]() | (9) |
![]() | (10) |
The analysis of variance (ANOVA) was performed for a single factor, which for Types 1 and 2 are distinguished by the saturated condition or not, through analysis of MS Excel 2016 software. The data of compressive strength resulted in Table 1.
| Table 1. ANOVA (Compressive strength - Types 1 and 2). | ||||||||||
| Variation Source | SQ | gl | MQ | F | P-value | F critical | ||||
|---|---|---|---|---|---|---|---|---|---|---|
| Among groups | 1.506 | 1 | 1.50662 | 4.3395 | 0.046486 | 4.19597 | ||||
| Within the groups | 9.721 | 28 | 0.34719 | |||||||
It can be verified that since the P-value found (0.046) is lower than the stipulated significance level of 5% (0.05) or, in a different analysis, the value of F (4.33) was found to be greater than the Fcritical (4.19), the null hypothesis (H0) was rejected, in which the means would be equal.
In this way, it can be affirmed that the saturated and unsaturated conditions influence the results obtained for the compressive strength. By performing the same representativity check of the collected data for the type 3 and type 4 blocks, it was verified that, for three standard deviations, all the data are significant, as shown in Tables 2 and 3.
| Table 2. Mean values and standard deviations for Type 3 blocks. | ||||||||||
| Data | TYPE 3 (With Flame Exposure and With Protection) | |||||||||
|---|---|---|---|---|---|---|---|---|---|---|
| Temperature (60' exposure) | Cmax(KN) | R(MPa) | ||||||||
| Td(°C) | Ti1(°C) | Ti2(°C) | ΔT1(°C) | ΔT2(°C) | ||||||
| Mean (X) | 938.067 | 187.000 | 40.920 | 751.067 | 897.147 | 37.993 | 2.380 | |||
| Standard Deviation (s) | 54.61 | 10.62 | 2.00 | 57.89 | 54.21 | 7.19 | 0.42 | |||
| X+3s | 1101.89 | 218.85 | 46.91 | 924.75 | 1059.79 | 59.55 | 3.64 | |||
| X-3s | 774.25 | 155.15 | 34.93 | 577.39 | 734.50 | 16.44 | 1.12 | |||
| Table 3. Mean values and standard deviations for Type 4 blocks. | ||||||||||
| Data | TYPE 4 (With Flame Exposure and Without Protection) | |||||||||
|---|---|---|---|---|---|---|---|---|---|---|
| Temperature (60' exposure) | Cmax(KN) | R(MPa) | ||||||||
| Td(°C) | Ti1(°C) | Ti2(°C) | ΔT1(°C) | ΔT2(°C) | ||||||
| Mean (X) | 1166.33 | 509.73 | 92.82 | 656.60 | 1073.51 | 21.86 | 1.34 | |||
| Standard Deviation (s) | 34.16 | 30.46 | 5.39 | 44.78 | 35.09 | 5.81 | 0.35 | |||
| X+3s | 1268.81 | 601.12 | 108.98 | 790.95 | 1178.78 | 39.28 | 2.40 | |||
| X-3s | 1063.86 | 418.35 | 76.66 | 522.25 | 968.24 | 4.45 | 0.29 | |||
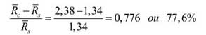
By initially evaluating the temperature of the face directly affected by flame, it can be seen that temperatures vary approximately 25% in average terms, according to Equation 11.
![]() | (11) |
When analyzing the faces immediately opposite to the flame application, the temperature variation between the protected and unprotected blocks has average values 172% higher when the blocks do not have passive protection, as shown in Equation 12.
![]() | (12) |
Figures 8 and 9 show the results for the behavior of the faces of the blocks when exposed and not exposed to the flame and how the protective paint influences this process.
![]() |
||||
| Figure 8. Comparison of the temperatures of the immediately opposing faces for the blocks with and without passive protection, types 3 and 4 respectively. | ||||
![]() |
||||
| Figure 9. Comparison of the temperatures in the opposite faces for the blocks with and without passive protection, types 3 and 4 respectively. | ||||
This minor difference between the temperature variations on the farthest opposite face must occur due to the natural thermal insulation that the air between the septa provides to the block. It is verified that none of the blocks with passive protection reached temperatures higher than 46 ºC. Equation 13 was then used to determine the percentage of this variation.
![]() | (13) |
By performing analysis of variance for the temperature factor of types 3 and 4, considering the temperatures of each measured face and for all groups, the P value is lower than the stipulated significance level of 5% (0.05), as well as the value of F is less than Fcritical.
Thus, the null hypothesis (H0), in which the means would be equal, is rejected. Therefore, it can be stated that the values are different and the conditions with and without passive protection make the samples different.
Equations 14 and 15 were used in the comparison of the compressive strength and the maximum load capacity between the blocks with and without passive protection.
![]() | (14) |
![]() | (15) |
After the exposure to fire, during the 60-minute period, compressive strength in unprotected blocks decreased on average 70. Their maximum load capacity, when compared to blocks with passive protection, decreased 67%.
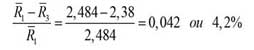
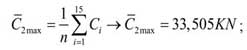
It is also possible to compare the values of compressive strength and load capacity between the protected blocks and the Type 1 blocks, which were those that had higher values of strength and load capacity; they were chosen as reference as shown in Equations 16 and 17.
![]() | (16) |
![]() | (17) |
Comparing the average values of the compressive strength, a small variation of 5% is observed. However, the null value of variation for the average maximum load capacity does not bring the same individual analysis regarding the resistance defined by the standard, since there is a great variation in the values seen in Figures 10 and 11.
It is verified that for the significance level determined at 5%, as well as the Fcritical, the resistance values are relevant because of the application or not of passive protection, making the sample data different.
![]() |
||||
| Figure 10. Compressive Strength: comparison between blocks with and without passive protection (types 3 and 4). | ||||
![]() |
||||
| Figure 11. Compressive Strength: comparison between Reference Blocks and Blocks with Passive Protection. | ||||
It is verified that the P-value is lower than the stipulated significance level of 5% (0,05), as well as the value of F is lower than Fcritical. It can be affirmed that the values are different and the conditions with and without passive protection make the samples different showed in Table 4.
| Table 4. Data Summary (compressive strength - types 3 and 4) | ||||||||||
| Variation Source | SQ | gl | MQ | F | P-value | F critical | ||||
|---|---|---|---|---|---|---|---|---|---|---|
| Among groups | 8.03833 | 1 | 8.03833 | 53.794 | 5.50E-08 | 4.19597 | ||||
| Within the groups | 4.18399 | 28 | 0.14943 | |||||||
It was verified that, even after 60 minutes of direct flame incidence in the Type 3 blocks (passive protected by intumescent paint), the average values of compressive strength as well as maximum load capacity suffered small variation, below 5 %, when compared to the values obtained from the reference blocks showed in Table 5. Besides the excellent thermal insulation efficiency, the structural parameters of the blocks were maintained. Due to this small variation, the variance analysis test was performed again to verify if the means were different.
| Table 5. ANOVA (Compressive Strength - types 1 and 3) | ||||||||||
| Variation Source | SQ | gl | MQ | F | P-value | F critical | ||||
|---|---|---|---|---|---|---|---|---|---|---|
| Among groups | 0,081 | 1 | 0,08112 | 0,24575 | 0,62395 | 4,19597 | ||||
| Within the groups | 9,242 | 28 | 0,33009 | |||||||
Thus, as the P-value found (0.624) is well above the stipulated significance level of 5% (0.05) or, in a different analysis, the value of F (0.245) found is lower than the Fcritical (4.19), then the null hypothesis (H0), in which the means would be equal, was accepted. Therefore, the sets of reference blocks, which were not exposed, and the set of blocks protected by intumescent paints, after 60 minutes of exposure, are considered identical.
In addition, according to the NBR 15270 (2005) - Ceramic Components - Part 1 - Ceramic Blocks for Sealing Masonry - Terminology and requirements, regarding the minimum compressive strength for sealing blocks with horizontal holes, all blocks with passive protection (Type 3) have remained in compliance with the normative requirement, which requires at least 1,5 MPa. For the 15 blocks without passive protection (Type 4), 11 (eleven) blocks had lower resistance than required by the Brazilian standard and 2 (two) were very close to that value.
In terms of cost-effectiveness, it can be said that the retardant materials and passive protection were benefited by the greater employment and dissemination in Brazil. A consequence was the decrease in costs. Nowadays, it is possible to carry out the treatment of fabrics at BRL 7.00/m² and intumescent paintings at BRL 17.00/m². Varnished woods, being a more noble material, of high technology, and also produced in the United Kingdom, are priced at BRL 30-35/m². For the product used in this research, the cost was of approximately BRL 45/m².
Considering that currently the coatings used in new or renovation projects cost up to BRL 350/m², the use of retardants and passive protection materials is justified. As a percentage, passive protection of a complete building, including its common areas, is no more than 0.3% of its total budget. If all internal coatings used by architects and decoration are included, it will not exceed on average 0.6% of the cost of the building.
4. Conclusions
From the results obtained and their respective analyses, it is concluded that the surface protection provided by intumescent paints showed a reduction in the thermal gradient of the wall in a fire situation and better mechanical efficiency after exposure to fire. The following highlights are presented from the analyses performed:
5. Acknowledgement
The present paper was carried out with the support of the Coordination for the Improvement of Higher Education Personnel - Brazil - (CAPES) - Financing Code 001.This research is of great relevance to the scientific/academic community and would not be possible without the collaboration of all participants.
References
Andreini, M.; Sassu, M. (2011), Mechanical behaviour of full unit masonry panels under fire action. Fire Safety Journal. 46 (7), p. 440- 450. https://doi.org/10.1016/j.firesaf.2011.07.004
Associação brasileira de normas técnicas (2000). NBR 14432: Exigências de resistência ao fogo de elementos construtivos de edificações - Procedimento. Rio de Janeiro.
Associação brasileira de normas técnicas (2005a). NBR 15270-1: Componentes cerâmicos Parte 1: Blocos cerâmicos para alvenaria de vedação - Terminologia e requisitos. Rio de Janeiro.
Associação brasileira de normas técnicas (2005b). NBR 15270-2: Componentes cerâmicos Parte 2: Blocos cerâmicos para alvenaria estrutural - Terminologia e requisitos. Rio de Janeiro.
Associação brasileira de normas técnicas (2005c). NBR 15270-2: Componentes cerâmicos Parte 3: Blocos cerâmicos para alvenaria estrutural e de vedação - Método de ensaio. Rio de Janeiro.
Associação brasileira de normas técnicas (2013a). NBR 15575: Edificações habitacionais - Desempenho Parte 4: Requisitos para os sistemas de vedações verticais internas e externas. Rio de Janeiro.
Associação brasileira de normas técnicas (2013b). NBR 14323: Projeto de estruturas de aço e de estruturas mistas de aço e concreto de edifícios em situação de incêndio. Rio de Janeiro.
Câmara Brasileira da Indústria da Construção (CBIC) (2013), Desempenho de edificações habitacionais: guia orientativo para atendimento à norma ABNT NBR 15575/2013. Gadioli Cipolla Comunicação. Fortaleza. p. 300.
Coelho, A. L. (2010). Incêndios em edifícios (1er. Ed.). Editora Orion. Alfragibe. ISBN: 9789728620165.
Meyer, U. (2006). Extended Application Rules for the fire performance of masonry walls. In: Proceedings Of The 7th International Masonry Conference. London: British Masonry Society.
Nadjai, A. et al. (2006), Compartment Masonry Walls in Fire Situations. Fire Technology, 42 (3): 211-231. https://doi.org/10.1007/s10694-006-7509-6
Nguyen, T. D.; Meftah, F. (2012), Behavior of Clay Hollow-Brick Masonry Walls During Fire: part 1: experimental analysis. Fire Safety Journal, 52: 55-64. https://doi.org/10.1016/j.firesaf.2012.06.001
Freitas, L. (2019). Segurança em boates aumenta após um ano da tragédia em Santa Maria. Disponível em: http://diariodonordeste.verdesmares.com.br/cadernos/cidade/seguranca-em-boates-aumenta-apos-um-anoda-tragedia-em-santa-maria-1.799643. Acesso em: 28 de abril de 2019.
Ono, R. (2007). Parâmetros para garantia da qualidade do projeto de segurança contra incêndio em edifícios altos. Ambiente Construído. Porto Alegre, v. 7, n. 1, p. 97-113.
Seito, A. I. et al. (2008). A Segurança contra Incêndios no Brasil. São Paulo: Projeto Editora. p 496,497.
Thomaz, E.; Helene, P. (2000), Qualidade no projeto e na execução de alvenaria estrutural e de alvenarias de vedação em edifícios. Boletim Técnico da Escola Politécnica da USP, BT/PCC/252. São Paulo: EPUSP, 31 p.